Скачать Правила. Российский Речной РегистрДата актуализации: 01.01.2021
Правила. Российский Речной Регистр| Статус: | продлен срок действия | | Название рус.: | Правила. Российский Речной Регистр | | Дата добавления в базу: | 01.02.2017 | | Дата актуализации: | 01.01.2021 | | Дата введения: | 09.09.2015 | | Утверждён: | 09.09.2015 Российский Речной Регистр (35-п)
| | Издан: | Российский Речной Регистр (2016 г. )
| | Список изменений: | | | Нормативные ссылки: | |
Текстовое изменение № 1 от 09.09.2016
   
Текстовое изменение № 2 от 15.03.2017
           
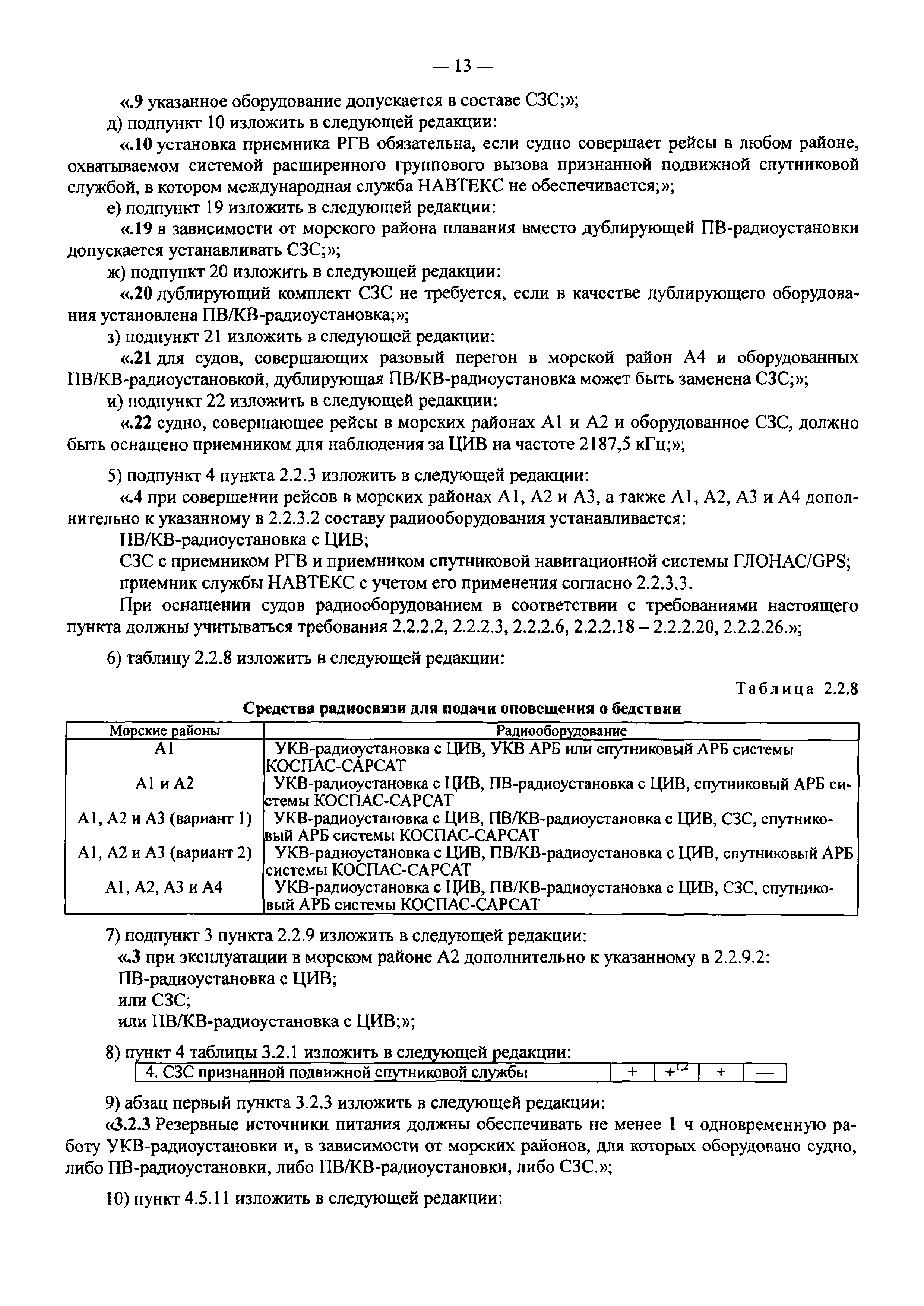
Текстовое изменение № 3 от 17.04.2017

Текстовое изменение № 4 от 20.08.2017
         
Текстовое изменение № 5 от 21.11.2017
     
Текстовое изменение № 6 от 21.04.2018
                                              
Текстовое изменение № 7 от 27.06.2018

Текстовое изменение № 8 от 30.03.2019
                                                                
Текстовое изменение 32-п от 20.07.2016
                 
Текстовое изменение 42-п от 09.08.2016

Текстовое изменение опечатки от 07.11.2017
      
Текстовое изменение № от 09.07.2020
                 
|