Скачать Административный регламент Федеральной службы государственной регистрации, кадастра и картографии по предоставлению государственной услуги по предоставлению сведений, содержащихся в Едином государственном реестре прав на недвижимое имущество и сделок с нимДата актуализации: 01.01.2021 |
| Статус: | утратил силу |
| Название рус.: | Административный регламент Федеральной службы государственной регистрации, кадастра и картографии по предоставлению государственной услуги по предоставлению сведений, содержащихся в Едином государственном реестре прав на недвижимое имущество и сделок с ним |
| Дата добавления в базу: | 01.02.2017 |
| Дата актуализации: | 01.01.2021 |
| Дата введения: | 12.09.2016 |
| Дата окончания срока действия: | 08.12.2019 |
| Область применения: | Административный регламент Федеральной службы государственной регистрации, кадастра и картографии по предоставлению государственной услуги по предоставлению сведений, содержащихся в Едином государственном реестре прав на недвижимое имущество и сделок с ним, определяет стандарт предоставления указанной государственной услуги и устанавливает сроки и последовательность административных процедур (действий) при предоставлении государственной услуги по предоставлению сведений, содержащихся в Едином государственном реестре прав на недвижимое имущество и сделок с ним |
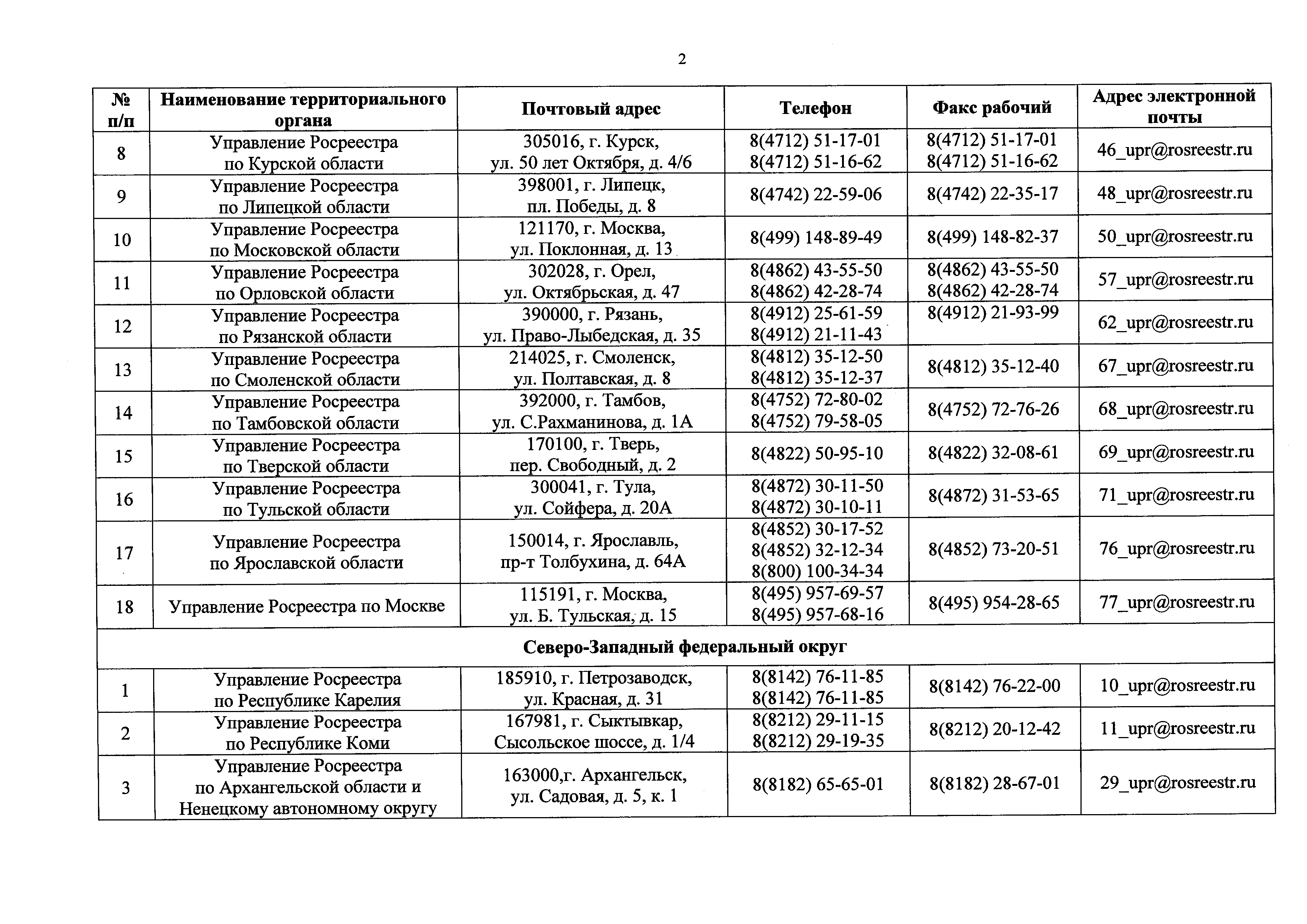
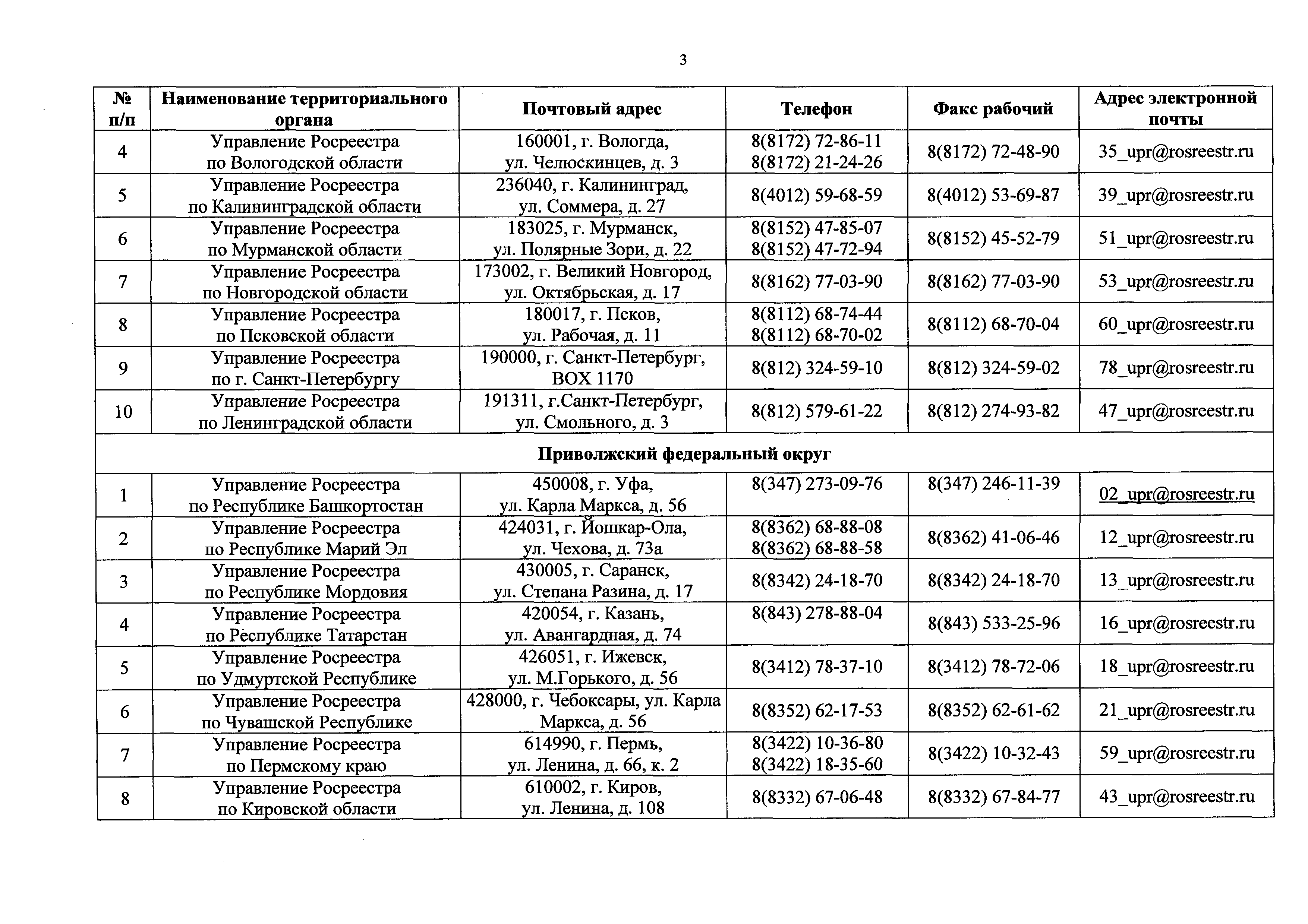
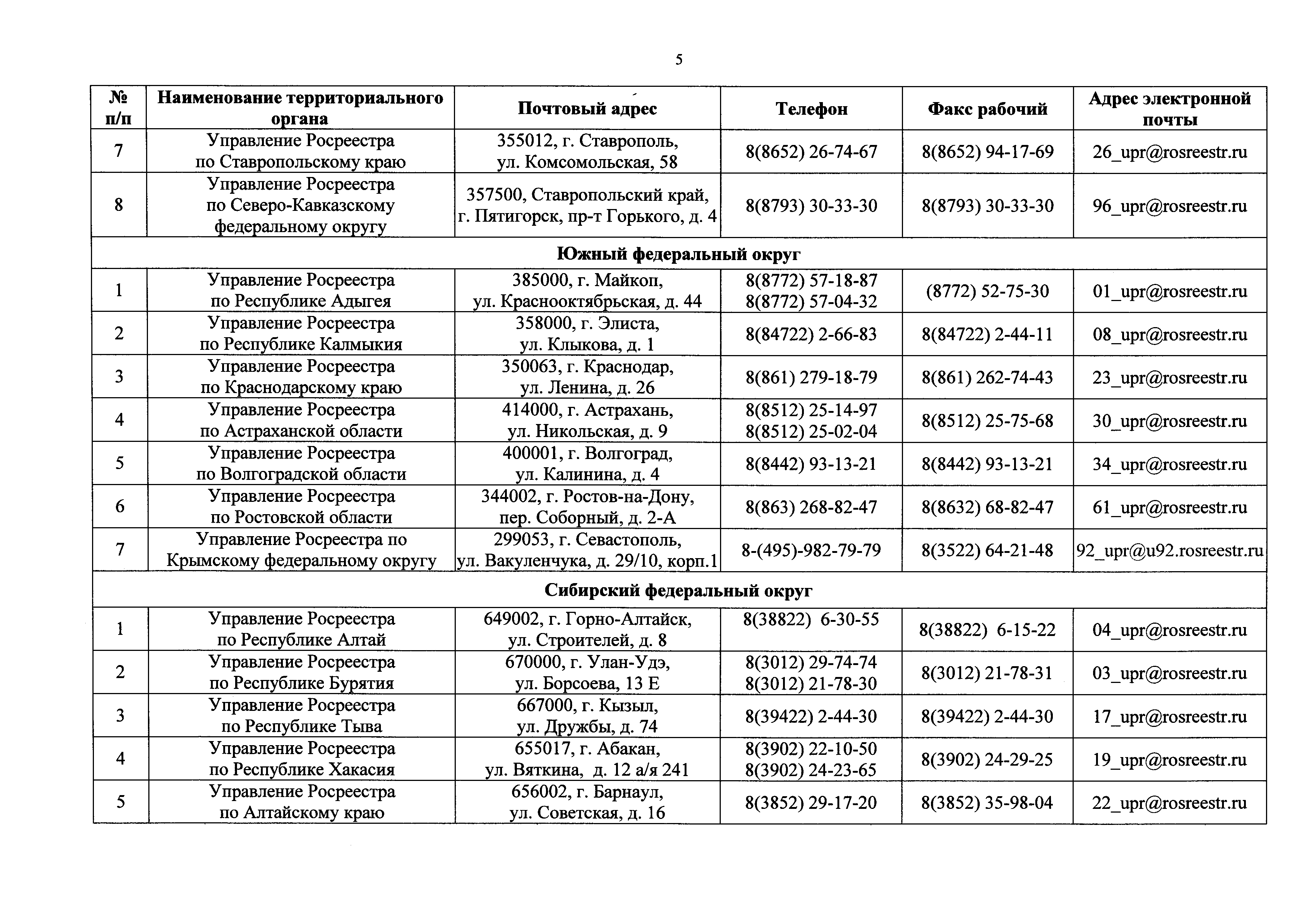
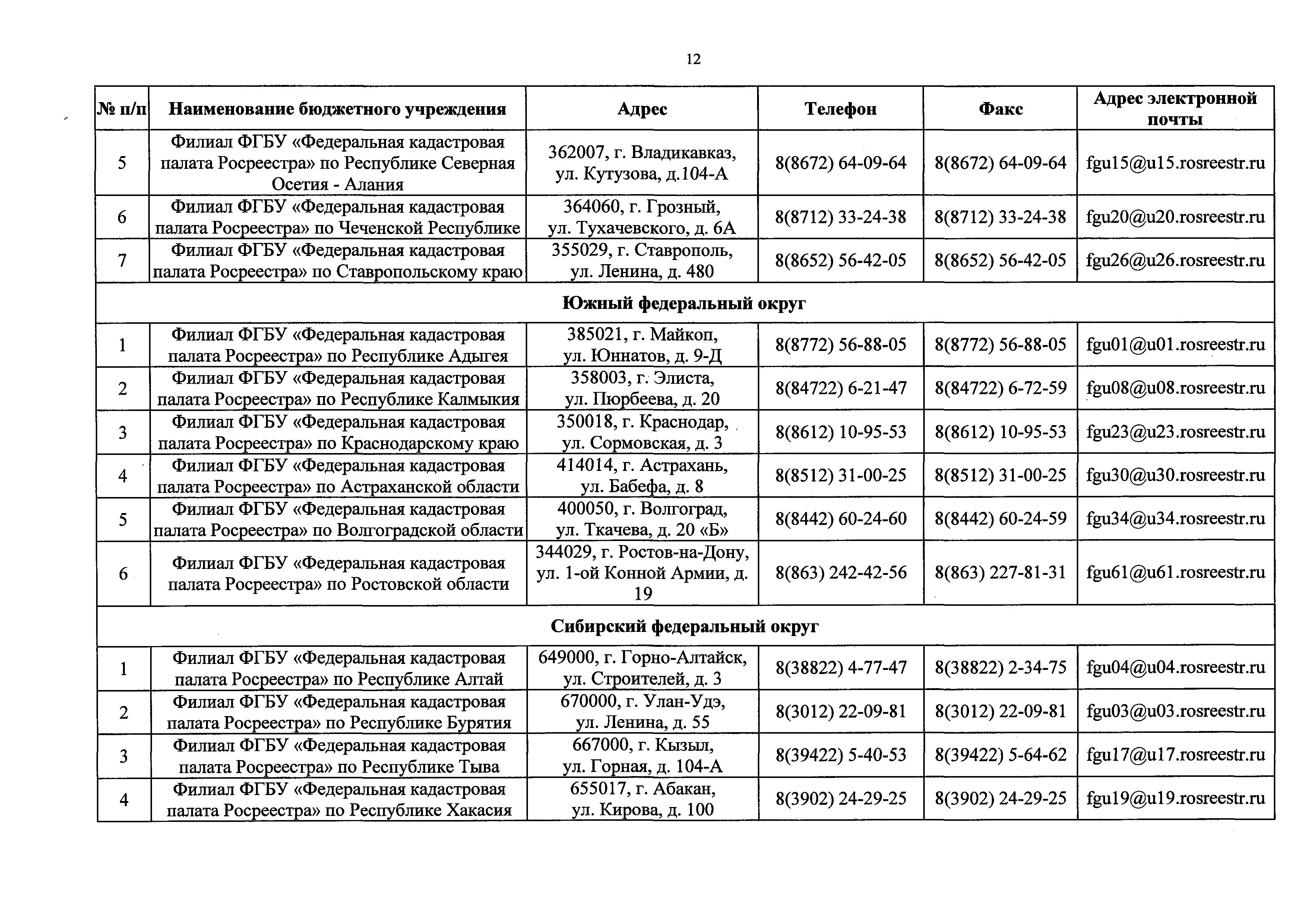
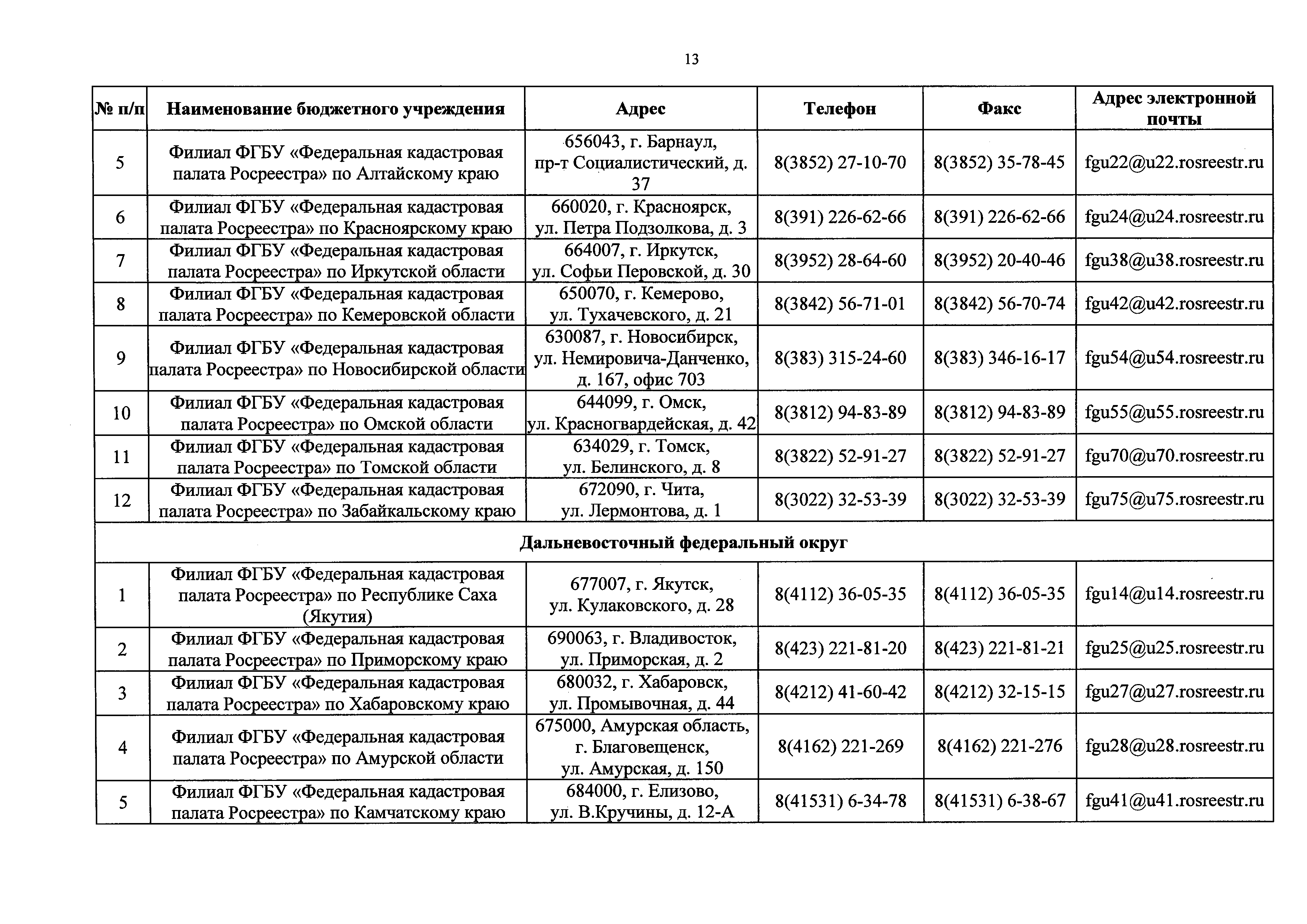
| Оглавление: | I. Общие положения II. Стандарт предоставления государственной услуги III. Состав, последовательность и сроки выполнения административных процедур по предоставлению государственной услуги, требования к порядку их выполнения, в том числе особенности выполнения административных процедур в электронной форме IV. Формы контроля за исполнением Административного регламента V. Досудебный (внесудебный) порядок обжалования действий (бездействия) и решений органа, предоставляющего государственную услугу, а также его должностных лиц Приложение № 1. Блок-схема предоставления сведений, содержащихся в Едином государственном реестре прав на недвижимое имущество и сделок с ним, при получении запроса при личном обращении заявителя Приложение № 2. Блок-схема предоставления сведений, содержащихся в Едином государственном реестре прав на недвижимое имущество и сделок с ним, при получении запроса почтовым отправлением Приложение № 3. Блок-схема предоставления сведений, содержащихся в Едином государственном реестре прав на недвижимое имущество и сделок с ним, при получении запроса в виде электронного документа Приложение № 4. Сведения о территориальных органах Федеральной службы государственной регистрации, кадастра и картографии и подведомственном Росреестру федеральном государственном бюджетном учреждении "Федеральная кадастровая палата Федеральной службы государственной регистрации, кадастра и картографии", его филиалах |
| Утверждён: | 06.06.2016 Министерство экономического развития РФ (357) |
| Издан: | Официальный интернет-портал правовой информации (www.pravo.gov.ru) (от 01.09.2016 г. Номер опубликования: 0001201609010026) |
| Нормативные ссылки: |
|
























































































