Скачать ГОСТ Р 57055-2016 Руководство по проведению общественного контроля соблюдения прав потребителей жилищных и коммунальных услугДата актуализации: 01.01.2021
|
| Обозначение: | ГОСТ Р 57055-2016 |
| Обозначение англ: | GOST R 57055-2016 |
| Статус: | введен впервые |
| Название рус.: | Руководство по проведению общественного контроля соблюдения прав потребителей жилищных и коммунальных услуг |
| Название англ.: | Guidelines for the public control of observance of the rights of consumers of housing and communal services |
| Дата добавления в базу: | 01.02.2017 |
| Дата актуализации: | 01.01.2021 |
| Дата введения: | 01.08.2017 |
| Область применения: | Стандарт определяет права потребителей жилищных и коммунальных услуг и основные признаки их нарушения, источники информации о нарушениях этих прав и методы ее сбора и анализа, терминологию, субъектов, объекты, функции и процедуры осуществления общественного контроля соблюдения прав потребителей жилищных и коммунальных услуг, порядок его организации и информационного обеспечения. Предлагаются образцы стандартных форм основных процессуальных документов общественного контроля. |
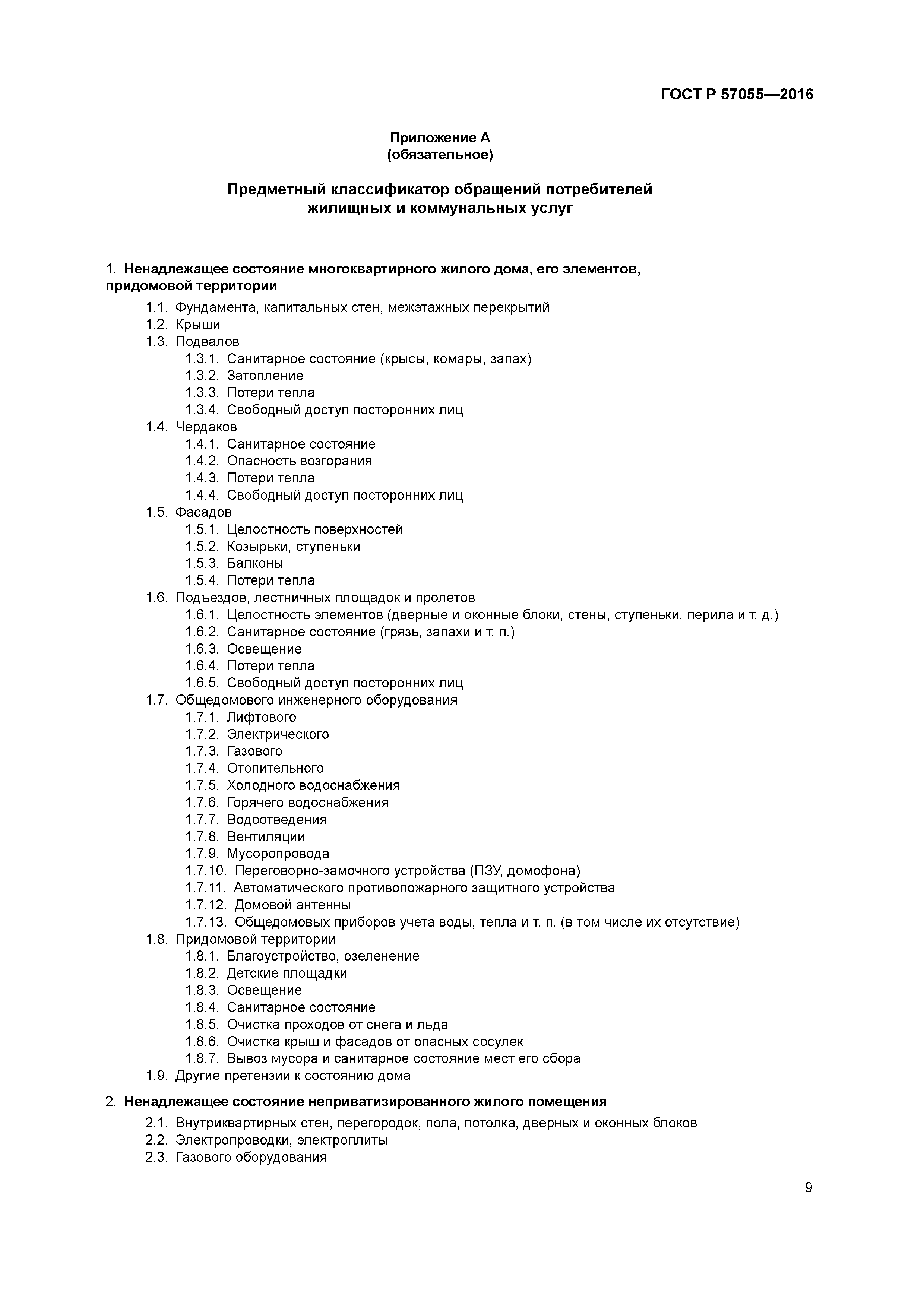
| Оглавление: | 1 Область применения 2 Термины и определения 3 Права потребителей жилищных и коммунальных услуг и признаки их нарушения 3.1 Право на безопасность услуг 3.2 Право на надлежащую информацию об услугах и их исполнителях 3.3 Право на надлежащее качество услуг 3.4 Право на возмещение причиненного вреда 3.5 Право на государственную и общественную защиту прав потребителей жилищных и коммунальных услуг 4 Информация о нарушениях прав потребителей жилищных и коммунальных услуг и ее источники 4.1 Основные источники информации 4.2 Сбор и учет (регистрация) информации 4.3 Анализ информации 5 Основные функции общественного контроля соблюдения прав потребителей жилищных и коммунальных услуг 5.1 Диагностика нарушений прав потребителей 5.2 Содействие восстановлению нарушенных прав потребителей 5.3 Анализ и обобщение предложений потребителей 5.4 Публичная оценка соблюдения прав потребителей исполнителями услуг 6 Порядок организации общественного контроля соблюдения прав потребителей жилищных и коммунальных услуг общественными объединениями потребителей Приложение А (обязательное) Предметный классификатор обращений потребителей жилищных и коммунальных услуг Приложение Б (обязательное) Стандартные формы обращений потребителей жилищных и коммунальных услуг в общественные объединения Приложение В (обязательное) Стандартные формы обращений общественной организации к субъектам нарушения прав потребителей жилищных и коммунальных услуг и в органы государственного надзора Приложение Г (справочное) Государственный жилищный надзор и муниципальный жилищный контроль |
| Разработан: | Общероссийский союз общественных объединений Союз потребителей Российской Федерации |
| Утверждён: | 08.09.2016 Федеральное агентство по техническому регулированию и метрологии (1088-ст) |
| Издан: | Стандартинформ (2016 г. ) |































