Скачать ГОСТ IEC 62127-1-2015 Государственная система обеспечения единства измерений. Параметры ультразвуковых полей. Общие требования к методам измерений и способам описания полей в частотном диапазоне от 0,5 до 40 МГцДата актуализации: 01.01.2021
|
| Обозначение: | ГОСТ IEC 62127-1-2015 |
| Обозначение англ: | 62127-1-2015 |
| Статус: | введен впервые |
| Название рус.: | Государственная система обеспечения единства измерений. Параметры ультразвуковых полей. Общие требования к методам измерений и способам описания полей в частотном диапазоне от 0,5 до 40 МГц |
| Название англ.: | State system for ensuring the uniformity of measurements. Parameters of ultrasonic fields. General requirements to measuring methods and characterization of fields in the frequency range 0,5 to 40 MHz |
| Дата добавления в базу: | 01.02.2017 |
| Дата актуализации: | 01.01.2021 |
| Дата введения: | 01.07.2017 |
| Область применения: | Стандарт распространяется на гидрофоны для измерений параметров ультразвукового поля, генерируемого в воде ультразвуковым медицинским оборудованием в диапазоне частот от 0,5 до 40 МГц, и устанавливает: - группу акустических параметров, которые могут быть измерены акустическими методами; - вторую группу параметров, значения которых могут быть вычислены по результатам этих измерений при определенных допущениях и называются вычисляемыми параметрами интенсивности; - условия, при которых могут быть измерены акустические параметры с помощью гидрофонов в частотном диапазоне до 40 МГц; - процедуры введения поправок и ограничений, связанных с использованием гидрофонов с ограниченной полосой частот и конечными размерами активного элемента. |
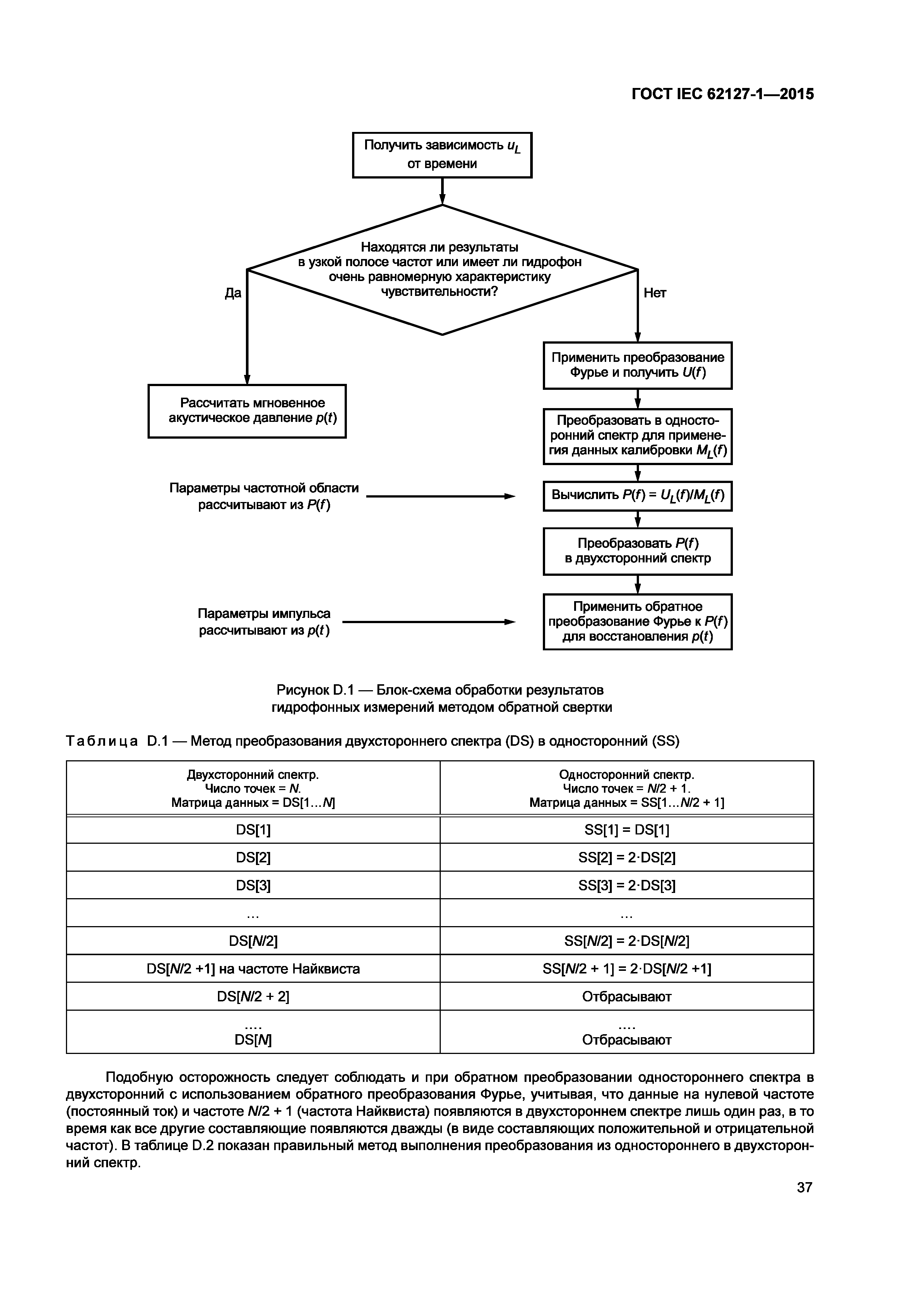
| Оглавление: | 1 Область применения 2 Нормативные ссылки 3 Термины, определения и обозначения 4 Список обозначений 5 Требования к измерениям 5.1 Требования к гидрофонам и усилителям 5.2 Требования к системам позиционирования и измерительному баку с водой 5.3 Требования к системам сбора и обработки результатов измерений 5.4 Рекомендации к испытуемому ультразвуковому оборудованию 6 Проведение измерений 6.1 Общие положения 6.2 Подготовка к измерениям и юстировка ультразвукового преобразователя и гидрофона 6.3 Измерения 6.4 Анализ 7 Описание пучка 7.1 Общие положения 7.2 Первичные параметры давления 8 Требования к измерениям конкретных ультразвуковых полей 8.1 Общие положения 8.2 Диагностические поля 8.3 Поля аппаратов физиотерапии 8.4 Поля хирургического применения 8.5 Поля для других медицинских применений 9 Установление соответствия 9.1 Общие положения 9.2 Максимально возможные значения 9.3 Отбор образцов Приложение А (справочное) Обоснование положений настоящего стандарта Приложение В (справочное) Гидрофоны и система позиционирования Приложение С (справочное) Акустическое давление и интенсивность Приложение D (справочное) Преобразование электрического напряжения в давление Приложение Е (справочное) Поправки на пространственное усреднение Приложение F (справочное) Параметры акустического выхода ультразвукового медицинского оборудования, работающего в многомодовом режиме, при отсутствии синхронизации сканирования Приложение G (справочное) Среда распространения и ее дегазирование Приложение Н (справочное) Ультразвуковые поля конкретного назначения Приложение I (справочное) Оценка неопределенности результатов измерений акустических параметров с помощью гидрофонов Приложение J (справочное) Системы позиционирования преобразователя и гидрофона Приложение К (справочное) Метод определения средних точек по ширине пучка Приложение ДА (справочное) Сведения о соответствии ссылочных международных стандартов межгосударственным стандартам Библиография |
| Разработан: | ФГУП ВНИИФТРИ |
| Утверждён: | 28.12.2015 Межгосударственный Совет по стандартизации, метрологии и сертификации (Inter-Governmental Council on Standardization, Metrology, and Certification 83-П) 07.09.2016 Федеральное агентство по техническому регулированию и метрологии (1073-ст) |
| Издан: | Стандартинформ (2016 г. ) |
| Нормативные ссылки: |
|






























































