Скачать ГОСТ Р 57098-2016 Системная и программная инженерия. Управление жизненным циклом. Руководство для описания процессаДата актуализации: 01.01.2021
|
| Обозначение: | ГОСТ Р 57098-2016 |
| Обозначение англ: | GOST R 57098-2016 |
| Статус: | введен впервые |
| Название рус.: | Системная и программная инженерия. Управление жизненным циклом. Руководство для описания процесса |
| Название англ.: | Systems software and engineering. Life cycle management. Guidelines for process description |
| Дата добавления в базу: | 01.02.2017 |
| Дата актуализации: | 01.01.2021 |
| Дата введения: | 01.11.2017 |
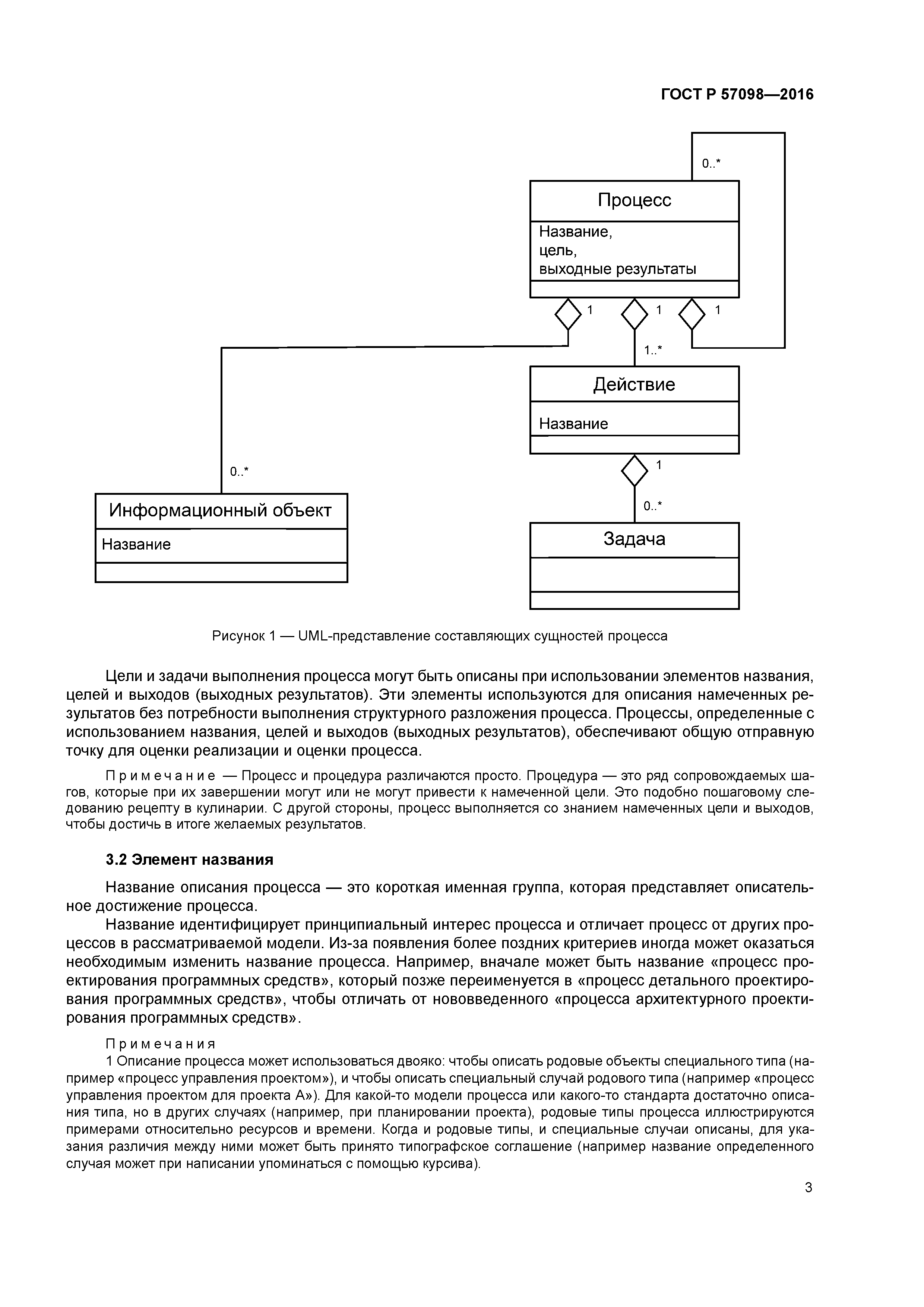
| Область применения: | Стандарт является руководством для описания процессов с помощью определения описывающих элементов и правила для их формулировки. Стандарт характеризует следующие элементы описания процесса: - название; - цель; - выход (выходные результаты); - действия; - задачи; - информационные объекты. Кроме того, описываются представления процесса. Стандарт не описывает, как процессы формируются или каким-либо образом объединяются в большие структуры или архитектуры. |
| Оглавление: | 1 Область применения 2 Термины и определения 3 Характеристика элементов 3.1 Введение 3.2 Элемент названия 3.3 Элемент цели 3.4 Элемент выходов (выходных результатов) 3.5 Элемент действий 3.6 Элемент задачи 3.7 Элемент информационного объекта 3.8 Использование примечаний 4 Использование представления процесса 4.1 Введение 4.2 Понятие представления процесса 4.3 Точка зрения на процесс 4.4 Представление процесса Приложение А (справочное) Пример описания процесса Приложение В (справочное) Пример представления процесса Библиография |
| Разработан: | ООО ИАВЦ |
| Утверждён: | 22.09.2016 Федеральное агентство по техническому регулированию и метрологии (1187-ст) |
| Издан: | Стандартинформ (2016 г. ) Стандартинформ (2018 г. ) |


















