Скачать ГОСТ Р 57102-2016 Информационные технологии. Системная и программная инженерия. Управление жизненным циклом. Часть 2. Руководство по применению ИСО/МЭК 15288Дата актуализации: 01.01.2021
|
| Обозначение: | ГОСТ Р 57102-2016 |
| Обозначение англ: | GOST R 57102-2016 |
| Статус: | введен впервые |
| Название рус.: | Информационные технологии. Системная и программная инженерия. Управление жизненным циклом. Часть 2. Руководство по применению ИСО/МЭК 15288 |
| Название англ.: | Information technology. Systems and software engineering. Life cycle management. Part 2. Guide to the application of ISO/IEC 15288 |
| Дата добавления в базу: | 01.02.2017 |
| Дата актуализации: | 01.01.2021 |
| Дата введения: | 01.09.2017 |
| Область применения: | Стандарт является руководством для применения ИСО/МЭК 15288. Он применим к системе, жизненному циклу, процессу, организационным аспектам, проекту и понятиям адаптации, преимущественно путем ссылки на ИСО/МЭК 24748-1 и ИСО/МЭК 15288. Это служит руководством при применении ИСО/МЭК 15288 в зависимости от аспектов стратегии, планирования и применения в организациях и проектах. |
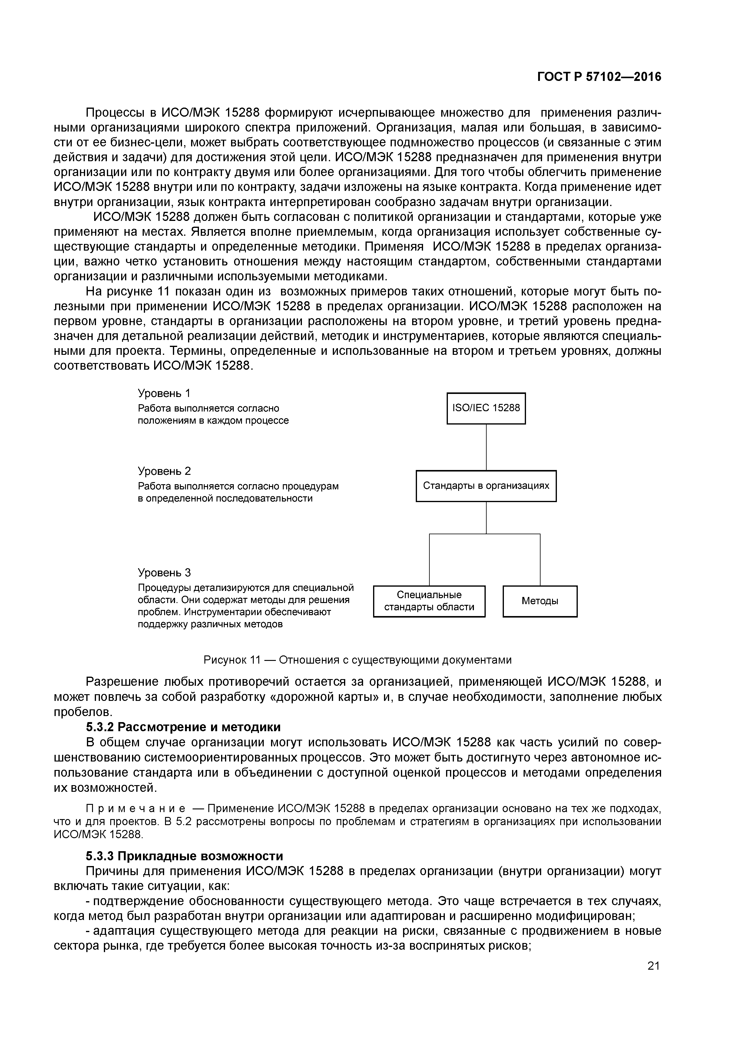
| Оглавление: | 1 Область применения 2 Термины и определения 3 Обзор ИСО/МЭК 15288 3.1 Общие положения 3.2 Структура ИСО/МЭК 15288 3.3 Контекст ИСО/МЭК 15288 3.4 Сравнение с предыдущими версиями ИСО/МЭК 15288 4 Понятия применения 4.1 Обзор 4.2 Понятия системы 4.3 Понятия жизненного цикла 4.4 Понятия процесса 4.5 Организационные понятия 4.6 Понятия проекта 4.7 Понятия адаптации 5 Применение ИСО/МЭК 15288 5.1 Обзор 5.2 Стратегия применения 5.3 Применение в организациях 5.4 Применение к проектам Приложение А (справочное) Примечания для применения процессов ИСО/МЭК 15288 Библиография |
| Разработан: | ООО ИАВЦ |
| Утверждён: | 22.09.2016 Федеральное агентство по техническому регулированию и метрологии (1192-ст) |
| Издан: | Стандартинформ (2016 г. ) |








































































