Скачать ГОСТ Р 57135-2016 Ферросплавы. Методы отбора и подготовки проб для количественного химического анализа. Часть 1. Феррохром, ферросиликохром, ферросилиций, ферросиликомарганец, ферромарганецДата актуализации: 01.01.2021
|
| Обозначение: | ГОСТ Р 57135-2016 |
| Обозначение англ: | GOST R 57135-2016 |
| Статус: | введен впервые |
| Название рус.: | Ферросплавы. Методы отбора и подготовки проб для количественного химического анализа. Часть 1. Феррохром, ферросиликохром, ферросилиций, ферросиликомарганец, ферромарганец |
| Название англ.: | Ferroalloys. Methods sampling and sample preparation for quantitative chemical analysis. Part 1. Ferrochromium, ferrosilicochromium, ferrosilicon, ferrosilicomanganese, feromanganese |
| Дата добавления в базу: | 01.02.2017 |
| Дата актуализации: | 01.01.2021 |
| Дата введения: | 01.08.2017 |
| Область применения: | Стандарт устанавливает методы отбора и подготовки проб для контроля величины показателей качества поставок феррохрома, ферросиликохрома, ферросилиция, ферросиликомарганца, ферромарганца и феррохрома азотированного в брикетах. |
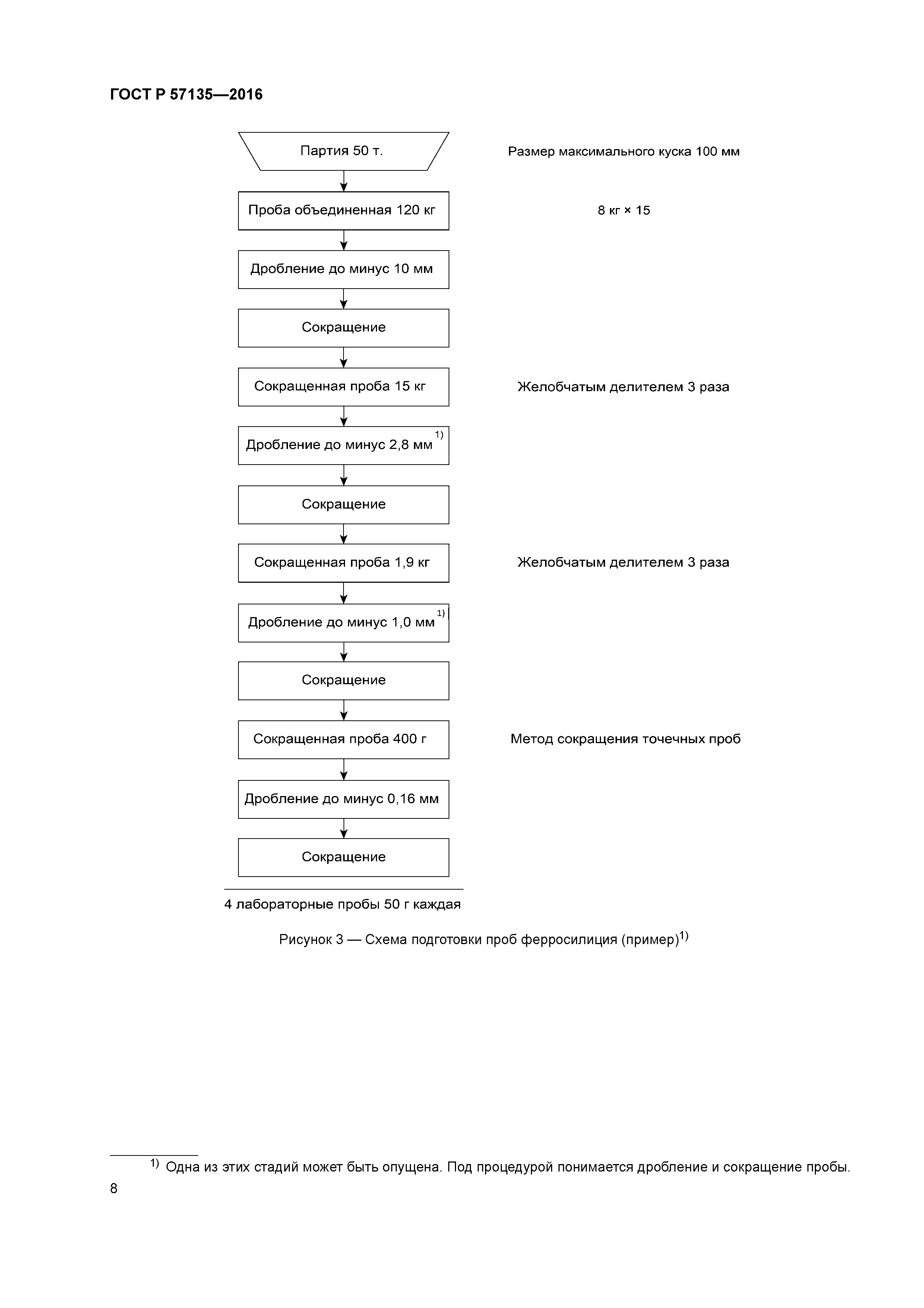
| Оглавление: | 1 Область применения 2 Нормативные ссылки 3 Термины и определения 4 Общие положения 4.1 Определения, общие требования к отбору и подготовке проб, инструменты и оборудование 4.2 Показатели качества для установления погрешности 4.3 Исходные данные для расчетов 5 Общая погрешность контроля качества поставки/партии 6 Отбор проб 6.1 Масса точечной пробы 6.2 Количество точечных проб и погрешность отбора проб 6.3 Метод отбора точечных проб 6.4 Объединенная проба 7 Подготовка проб 7.1 Погрешность подготовки 7.2 Подготовка проб 7.3 Дробление и перемешивание 8 Лабораторная проба Приложение А (обязательное) Основные данные для расчета параметров опробования Приложение ДА (справочное) Основные параметры методики отбора и подготовки проб партий по ИСО 4552-1 Приложение ДБ (справочное) Сведения о соответствии ссылочных национальных стандартов международным стандартам, использованным в качестве ссылочных в примененном международном стандарте Библиография |
| Разработан: | ТК 008 Ферросплавы |
| Утверждён: | 10.10.2016 Федеральное агентство по техническому регулированию и метрологии (1354-ст) |
| Издан: | Стандартинформ (2016 г. ) |
| Нормативные ссылки: |
|



















