Скачать ГОСТ Р ИСО 22400-2-2016 Системы промышленной автоматизации и интеграция. Ключевые технико-экономические показатели (KPIs) для управления производственными операциями. Часть 2. Определения и описанияДата актуализации: 01.01.2021
|
| Обозначение: | ГОСТ Р ИСО 22400-2-2016 |
| Обозначение англ: | GOST R ISO 22400-2-2016 |
| Статус: | заменен |
| Название рус.: | Системы промышленной автоматизации и интеграция. Ключевые технико-экономические показатели (KPIs) для управления производственными операциями. Часть 2. Определения и описания |
| Название англ.: | Automation systems and integration. Key performance indicators (KPIs) for manufacturing operations management. Part 2. Definitions and descriptions |
| Дата добавления в базу: | 01.02.2017 |
| Дата актуализации: | 01.01.2021 |
| Дата введения: | 01.06.2017 |
| Дата окончания срока действия: | 01.01.2020 |
| Область применения: | В ИСО 22400 определены ключевые технико-экономические показатели (KPI - показатели), используемые для управления производственными (технологическими) операциями/процессами (MOM). В стандарте определены KPI-показатели, существующие в современной практике и представленные с помощью формул и соответствующих элементов, динамики (характеру изменений во времени), единиц измерений/величин и других характеристик. В стандарте также указаны группы пользователей, которые должны использовать KPI-показатели, а также методологию производства, которой они соответствуют. С учетом аспектов рассматриваемого оборудования, KPI-показатели в стандарте связаны с рабочими единицами (составными элементами работы) согласно МЭК 62264. |
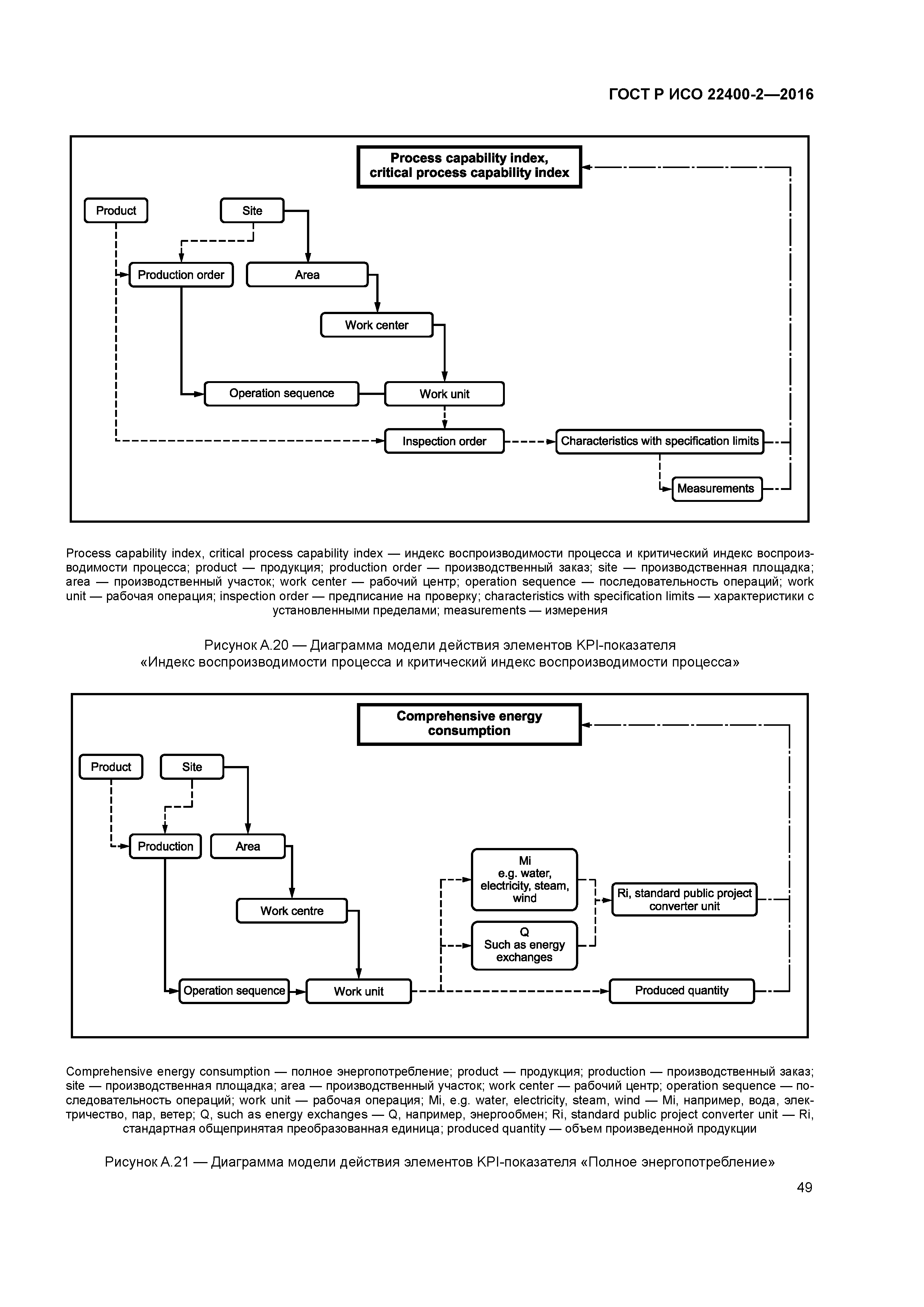
| Оглавление: | 1 Область применения 2 Термины и определения 3 Сокращения 4 Структура описания КРI-показателя 5 Элементы, используемые в описании КРI-показателей 5.1 Временные элементы 5.2 Временная модель рабочих операций 5.3 Временная модель производственного заказа 5.4 Временная модель персонала 5.5 Логистические элементы 5.6 Элементы качества 5.7 Элементы качества 6 Описание КРI-показателей 7 Соответствие требованиям Приложение А (справочное) Модели действия Приложение В (справочное) Альтернативный расчет ОЕЕ-показателя, основанный на модели временных затрат Библиография |
| Разработан: | ООО НИИ Интерэкомс |
| Утверждён: | 10.10.2016 Федеральное агентство по техническому регулированию и метрологии (1339-ст) |
| Издан: | Стандартинформ (2016 г. ) |

































































