Скачать Методические рекомендации по оценке объемов образования отходов производства и потребления

Дата актуализации: 01.01.2021

Методические рекомендации по оценке объемов образования отходов производства и потребления

Статус:справочные материалы, мп, тпр
Название рус.:Методические рекомендации по оценке объемов образования отходов производства и потребления
Дата добавления в базу:01.02.2017
Дата актуализации:01.01.2021
Область применения:Методические рекомендации по оценке объемов образования отходов производства и потребления излагают возможные методы оценки объемов образования отходов, рекомендации по выбору этих методов в зависимости от вида отходов, формулы оценки количества образования наиболее распространенных отходов, основные справочные данные для такой оценки
Оглавление:1. Общие положения
2. Методологические подходы к оценке объемов образования отходов
3. Методы оценки объемов образования отходов производства и потребления
   3.1. Метод оценки на основе данных материально-сырьевого баланса
   3.2. Метод оценки по удельным показателям образования отходов
   3.3. Метод индексации опорных данных по динамике выпуска (потребления) продукции
   3.4. Метод оценки по среднестатистическим данным образования отходов
   3.5. Экспериментальный метод
   3.6. Расчетно-параметрический метод
4. Рекомендации по выбору методов оценки объемов образования отходов
   4.1. Метод оценки на основе данных материально сырьевого баланса
   4.2. Метод оценки по удельным показателям образования отходов
   4.3. Метод индексации опорных данных по динамике выпуска (потребления) продукции
   4.4. Метод оценки по среднестатистическим данным фактического образования отходов
   4.5. Экспериментальный метод
   4.6. Расчетно- параметрический метод
Приложение 1. Справочные данные по ртутьсодержащим отходам
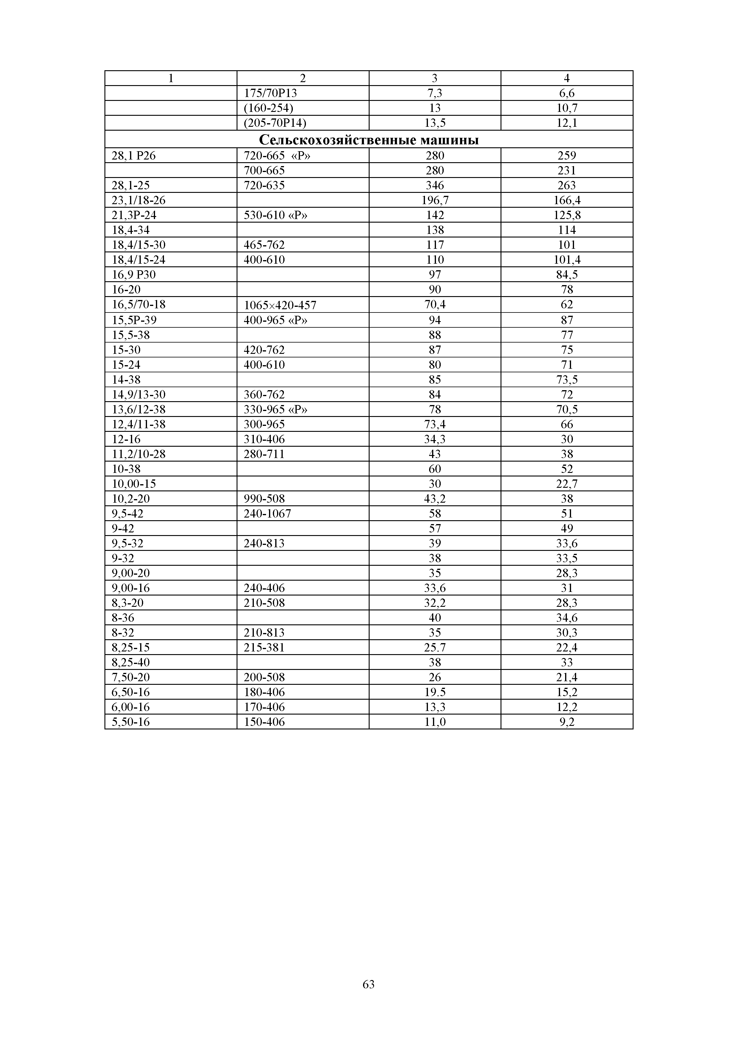
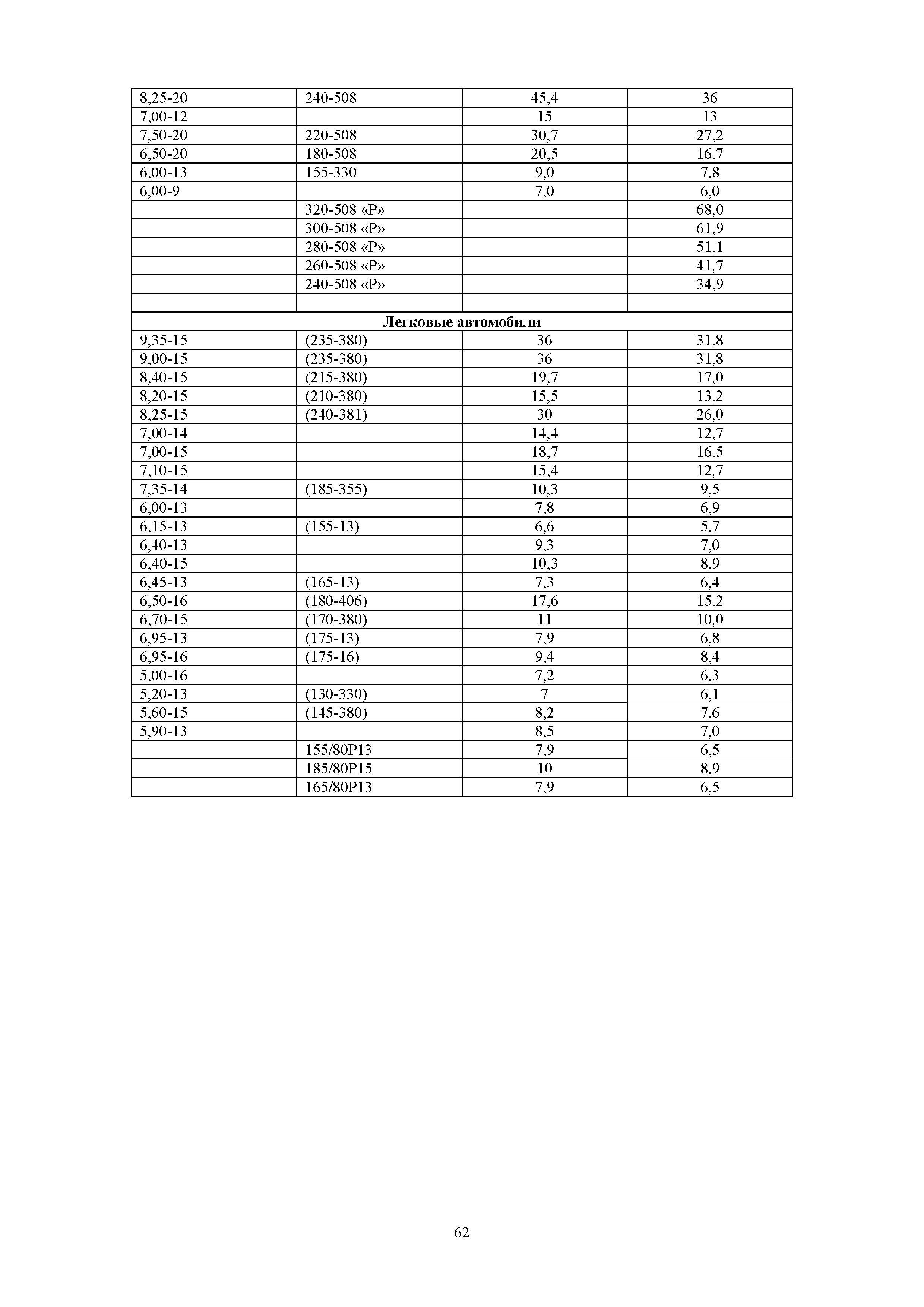
Приложение 2. Справочные данные по автомобильным шинам
Приложение 3. Справочные данные по отработанным источникам тока
Приложение 4. Справочные данные по отработанным смазочным материалам
Приложение 5. Справочные данные по отходам деревообработки
Приложение 6. Справочные данные по лакокрасочным материалам
Приложение 7. Справочные данные по выделениям металло-абразивной пыли
Приложение 8. Насыпная плотность некоторых сыпучих материалов
Приложение 9. Складочная плотность некоторых крупнокусковых отходов и материалов
Разработан: ГУ НИЦПУРО
Утверждён: ГУ НИЦПУРО
Нормативные ссылки: