Скачать Методические указания по определения и нормализации электромагнитной обстановки в местах размещения метеорологических радиолокаторов

Дата актуализации: 01.01.2021

Методические указания по определения и нормализации электромагнитной обстановки в местах размещения метеорологических радиолокаторов

Статус:взамен
Название рус.:Методические указания по определения и нормализации электромагнитной обстановки в местах размещения метеорологических радиолокаторов
Дата добавления в базу:01.02.2017
Дата актуализации:01.01.2021
Оглавление:1 Общие положения
2 Предельно допустимые уровни ЭМП, создаваемого метеорологическими радиолокаторами, для населения
3 Методика расчета ППЭ электромагнитного поля в КВЧ, УВЧ и СВЧ диапазонах
4 Методика расчета вертикальных диаграмм излучения
5 Методика измерений поверхностной плотности потока электромагнитной энергии в КВЧ, УВЧ и СВЧ диапазонах
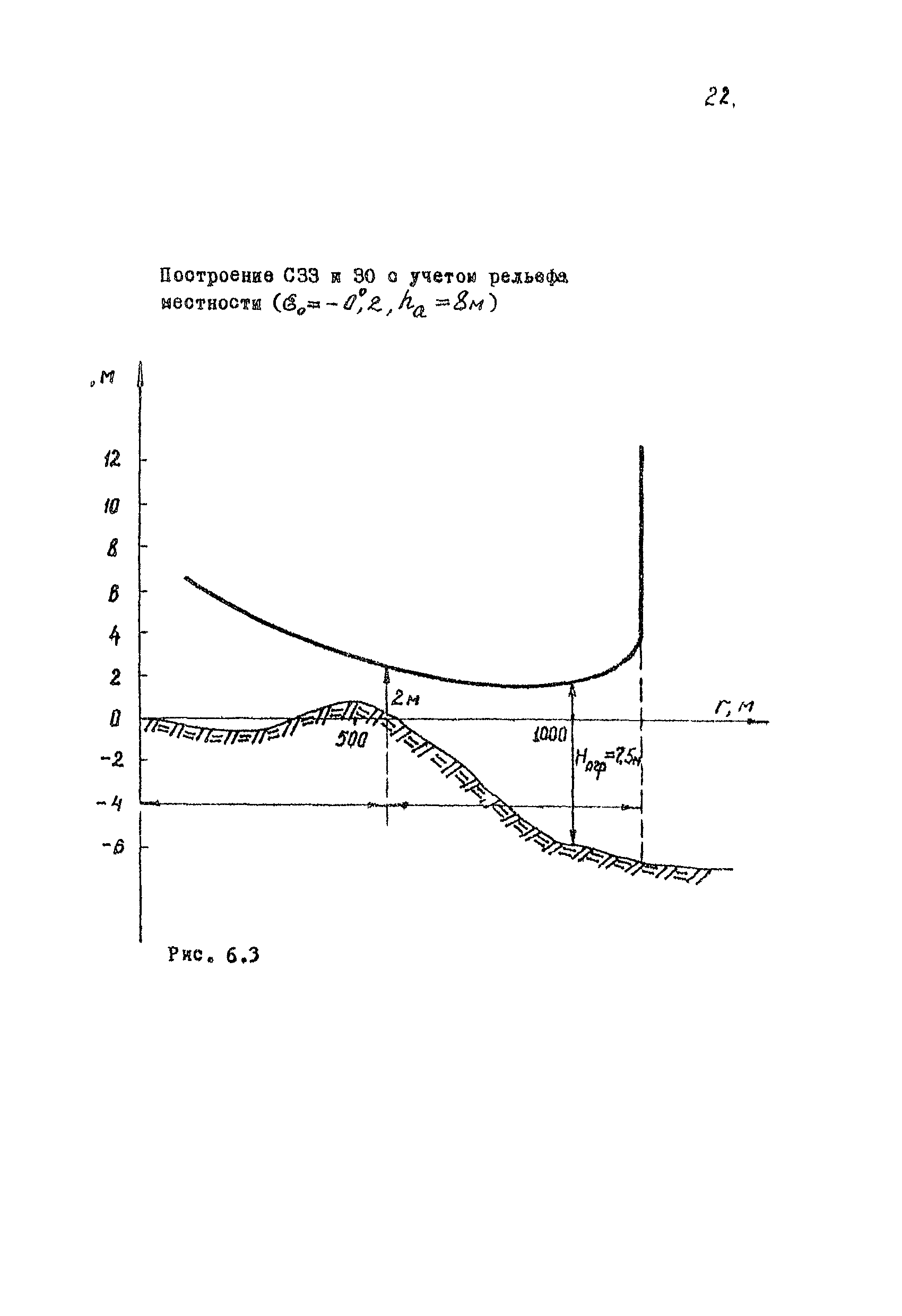
6 Методика расчета и построения санитарно-защитной зоны и зоны ограничения
7 Мероприятия по защите населения от воздействия ЭМП, создаваемых метеорологическими радиолокаторами
8 Санитарно-гигиенические рекомендации к размещению метеорологических радиолокаторов
Приложения
Разработан: Главная геофизическая обсерватория им. А.И. Воейкова
НИИ общей и коммунальной гигиены им. А.Н. Марзеева МЗ УССР
Центральная аэрологическая обсерватория (ЦАО) Росгидромета
Утверждён:15.07.1985 Заместитель Главного Государственного санитарного врача Российской Федерации (3913-85)
Принят:17.05.1985 Управление гидрометеорологической сети и информации Госкомгидромета
Нормативные ссылки: