Скачать ГОСТ Р 57195-2016 Ядро и язык для методов системной и программной инженерии. Общие положенияДата актуализации: 01.01.2021
|
| Обозначение: | ГОСТ Р 57195-2016 |
| Обозначение англ: | GOST R 57195-2016 |
| Статус: | введен впервые |
| Название рус.: | Ядро и язык для методов системной и программной инженерии. Общие положения |
| Название англ.: | Kernel and language for system and software engineering methods. General |
| Дата добавления в базу: | 01.02.2017 |
| Дата актуализации: | 01.01.2021 |
| Дата введения: | 01.05.2017 |
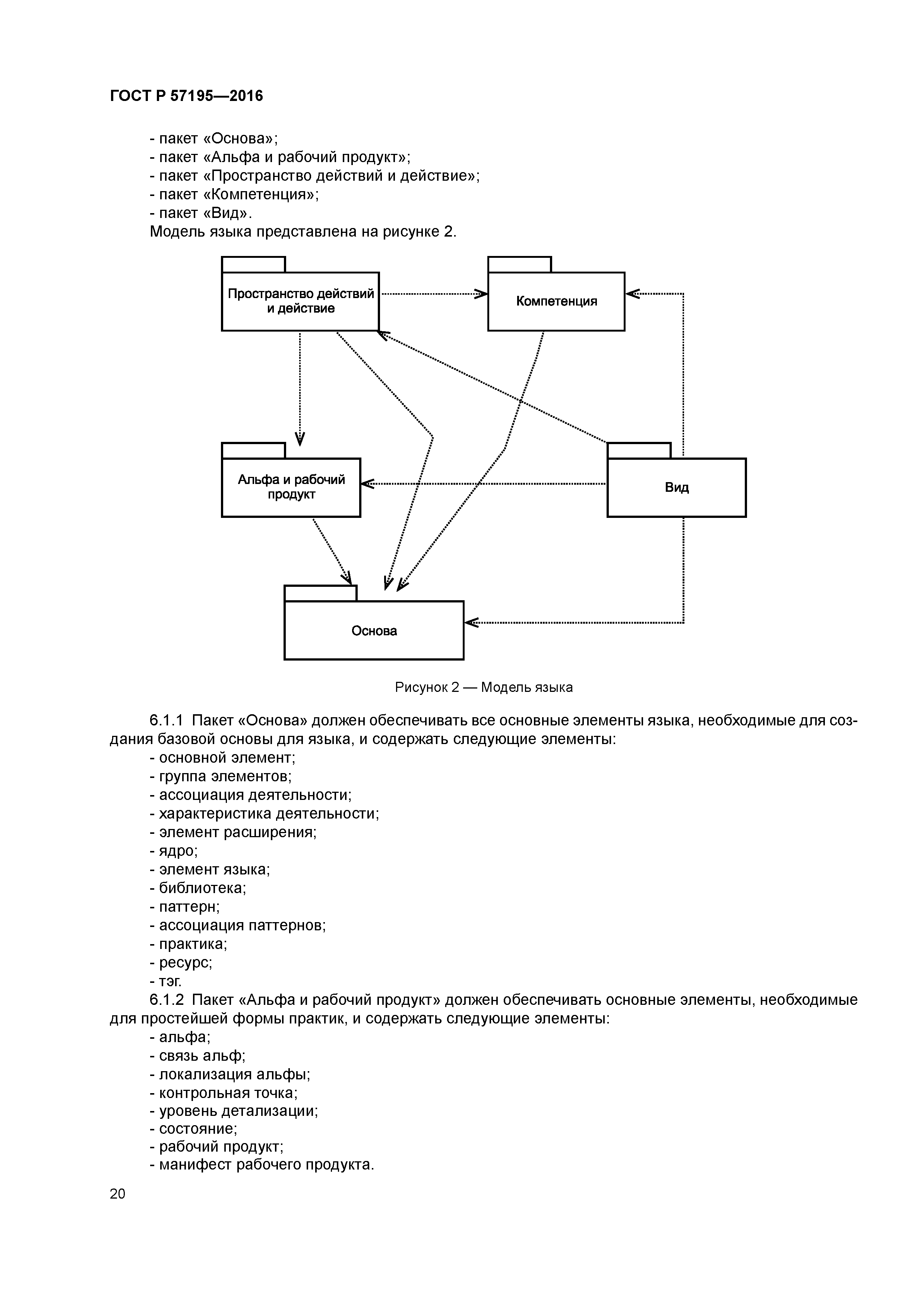
| Область применения: | Стандарт устанавливает детальные определения и описания ядра и языка методов системной и программной инженерии. Стандарт предусматривает следующие требования к ядру и языку: - определяет ядро и его формирование в трех областях интересов, касающихся заказчика, решения и деятельности; - определяет альфы ядра (т. Е. основные элементы, с которыми потребуется работать) и пространства действий (т. Е. основные элементы, которые необходимо выполнить); - определяет модель языка и элементы языка. |
| Оглавление: | 1 Область применения 2 Термины и определения 3 Общие положения 4 Требования к ядру и его составным частям 5 Расширения ядра 6 Требования к модели языка |
| Разработан: | ФГУП НИИСУ ФГБУ НИЦ Институт им. Н.Е. Жуковского Союз авиапроизводителей России (САП) |
| Утверждён: | 31.10.2016 Федеральное агентство по техническому регулированию и метрологии (1545-ст) |
| Издан: | Стандартинформ (2016 г. ) |

























