Скачать ТУ 1279-75 Технические условия на метод определения флоримицина и полимиксина в воздухеДата актуализации: 01.01.2021
|
| Обозначение: | ТУ 1279-75 |
| Обозначение англ: | TU 1279-75 |
| Статус: | справочные материалы, мп, тпр |
| Название рус.: | Технические условия на метод определения флоримицина и полимиксина в воздухе |
| Дата добавления в базу: | 01.02.2017 |
| Дата актуализации: | 01.01.2021 |
| Область применения: | Технические условия распространяются на метод определения содержания флоримицина и полимиксина в воздухе промышленных помещений при санитарном контроле. |
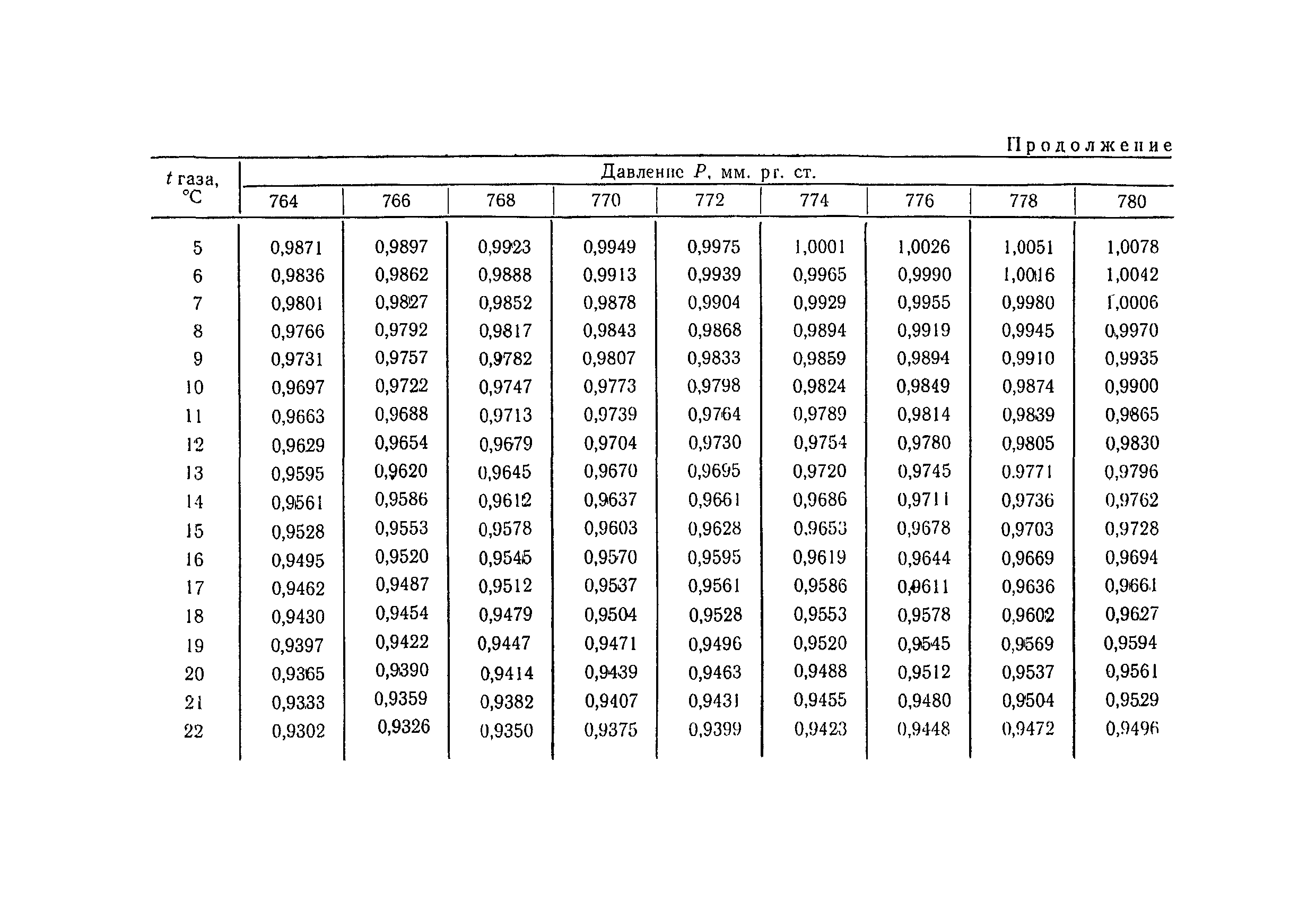
| Оглавление: | I. Общая часть II. Реактивы и аппаратура III. Отбор проб воздуха IV. Описание определения Приложение 1. Приведение объема воздуха к нормальным условиям Приложение 2. Таблица коэффициентов для различных температур и давления, на которые надо умножить для приведения объема воздуха к нормальным условиям Приложение 3. Список веществ, определяемых по утвержденным и опубликованным Техническим условиям Приложение 4. Список институтов, представивших Технические условия |
| Разработан: | НИИ гигиены водного транспорта |
| Утверждён: | 20.03.1975 Заместитель Главного государственного санитарного врача CCCР |
| Издан: | Рекламинформбюро ММФ (1976 г. ) |




















