Скачать ТУ 122-1/7 Технические условия на метод определения содержания гидразина в воздухеДата актуализации: 01.01.2021
|
| Обозначение: | ТУ 122-1/7 |
| Обозначение англ: | TU 122-1/7 |
| Статус: | справочные материалы, мп, тпр |
| Название рус.: | Технические условия на метод определения содержания гидразина в воздухе |
| Дата добавления в базу: | 01.02.2017 |
| Дата актуализации: | 01.01.2021 |
| Область применения: | Технические условия распространяются на метод определения содержания гидразина в воздухе промышленных помещений при санитарном контроле. |
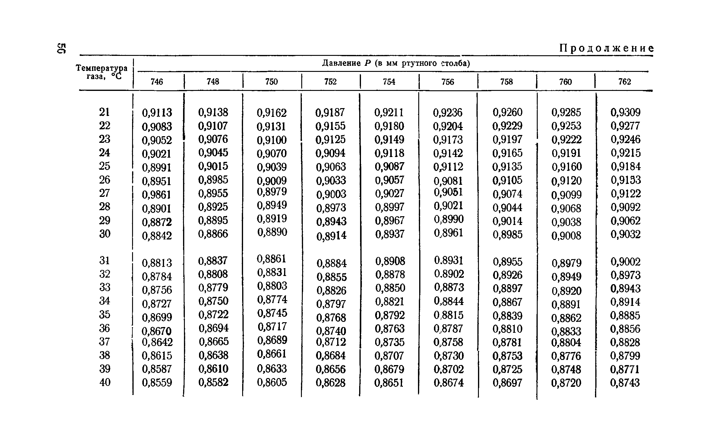
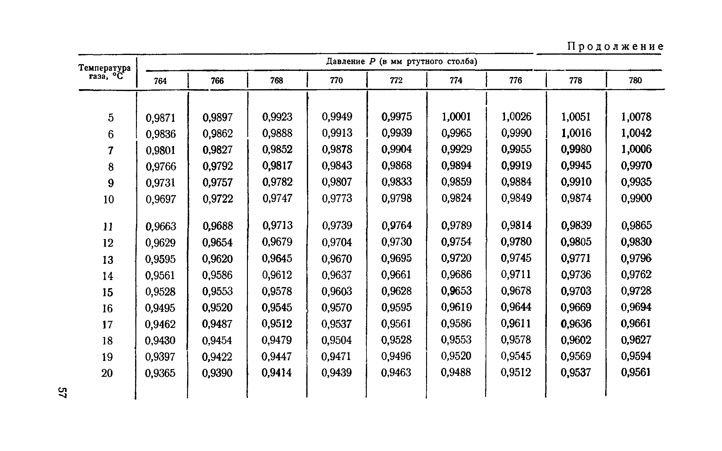
| Оглавление: | I. Общая часть II. Реактивы и аппаратура III. Отбор пробы воздуха IV. Описание определения Приложение. Таблица коэффициентов для различных температур и давлений |
| Утверждён: | 19.03.1962 Заместитель Главного государственного санитарного врача CCCР |
| Издан: | Государственное издательство медицинской литературы (1962 г. ) |














