Скачать Временное руководство по выбору параметров крепи подготовительных выработок и их сопряжений на шахтах Интинского месторождения

Дата актуализации: 01.01.2021

Временное руководство по выбору параметров крепи подготовительных выработок и их сопряжений на шахтах Интинского месторождения

Статус:справочные материалы, мп, тпр
Название рус.:Временное руководство по выбору параметров крепи подготовительных выработок и их сопряжений на шахтах Интинского месторождения
Дата добавления в базу:05.05.2017
Дата актуализации:01.01.2021
Область применения:Временное руководство не распространяется на выработки, поддерживаемые для повторного использования, а также подверженные влиянию подработки. Временное руководство является основанием для работников шахт и проектных организаций по вопросам выбора параметров крепи подготовительный выработок и их сопряжений в условиях Интинского месторождения.
Оглавление:1. Горно-геологические и горнотехнические условия проведения и поддержания выработок
2. Определение параметров крепления выработок деревянной крепью
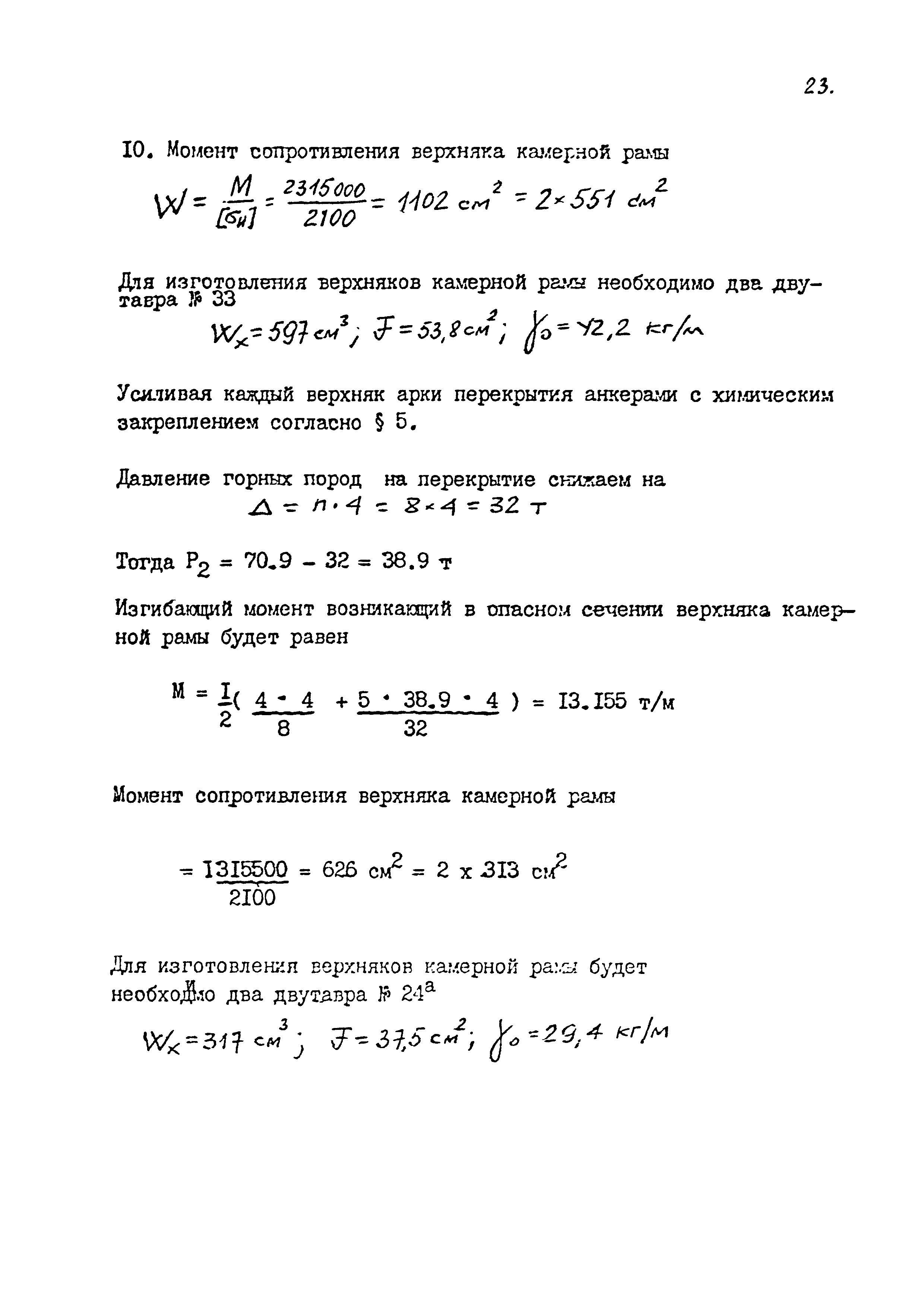
3. Металлическая трапециевидная крепь
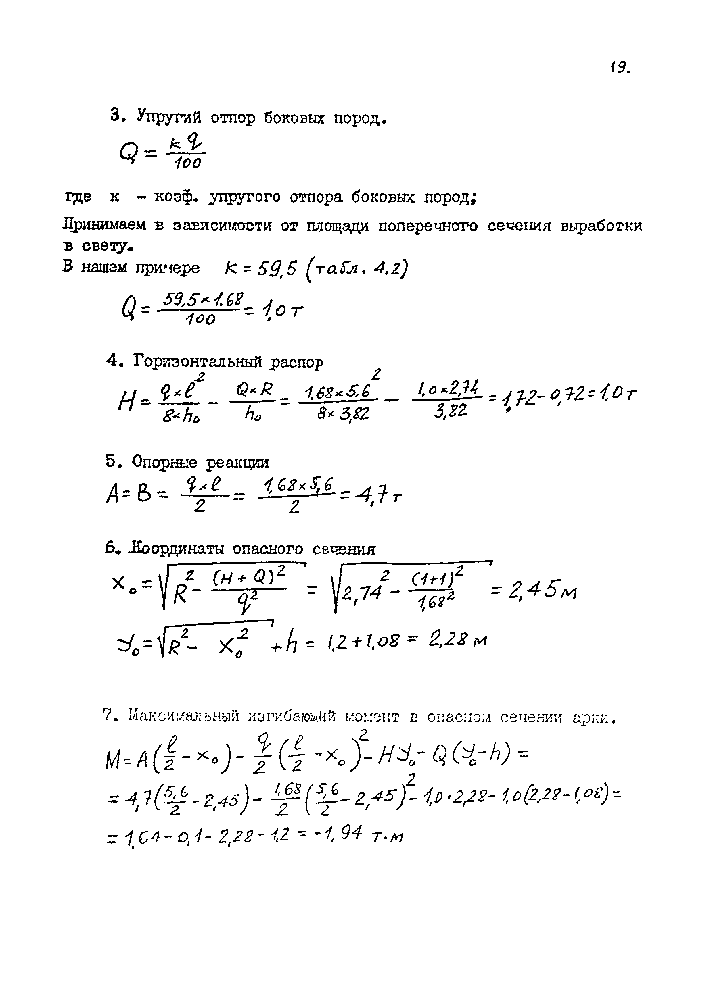
4. Расчет металлической арочной крепи
5. Расчет анкерной крепи с закреплениями химическими составами
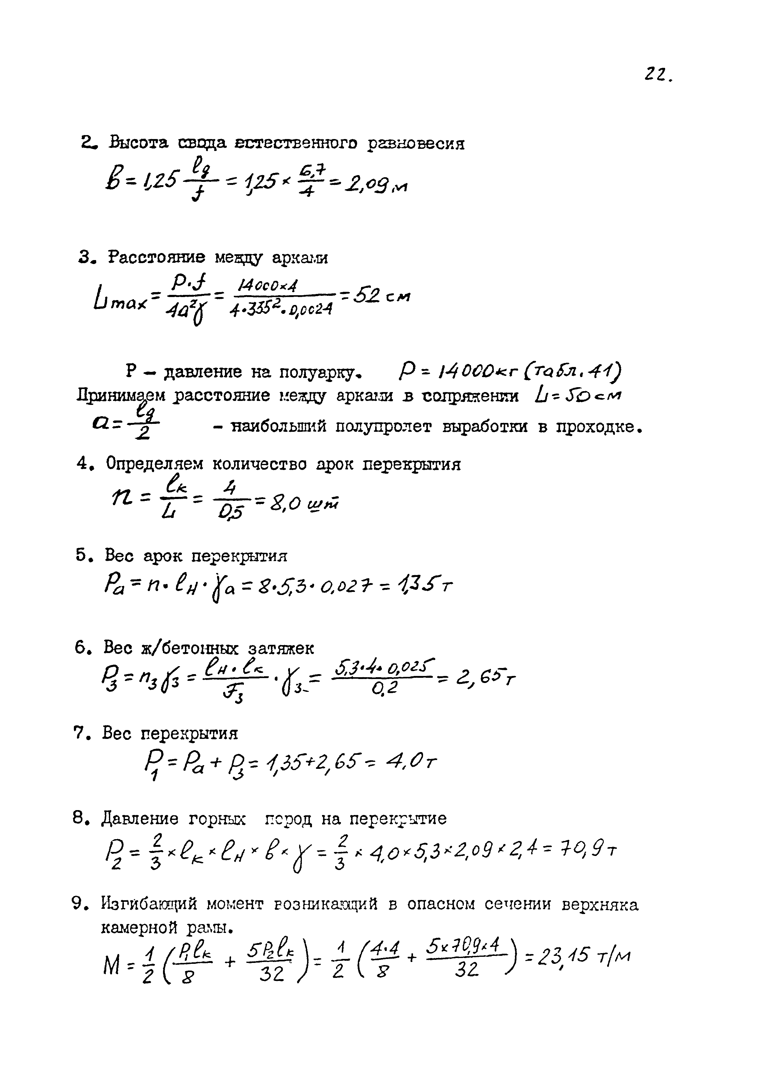
6. Расчеты элементов крепи сопряжения выработок с плоским перекрытием
Приложение 1. Балки двутавровые
Разработан: ЛГИ
ВНИМИ
ПечорНИИпроект
Интауголь
Утверждён:20.11.1980 Технический директор - главный инженер