Скачать ГОСТ Р 60.3.3.1-2016 Роботы промышленные манипуляционные. Рабочие характеристики и соответствующие методы тестированияДата актуализации: 01.01.2021
|
| Обозначение: | ГОСТ Р 60.3.3.1-2016 |
| Обозначение англ: | GOST R 60.3.3.1-2016 |
| Статус: | введен впервые |
| Название рус.: | Роботы промышленные манипуляционные. Рабочие характеристики и соответствующие методы тестирования |
| Название англ.: | Manipulating industrial robots. Performance criteria and related test methods |
| Дата добавления в базу: | 05.05.2017 |
| Дата актуализации: | 01.01.2021 |
| Дата введения: | 01.01.2018 |
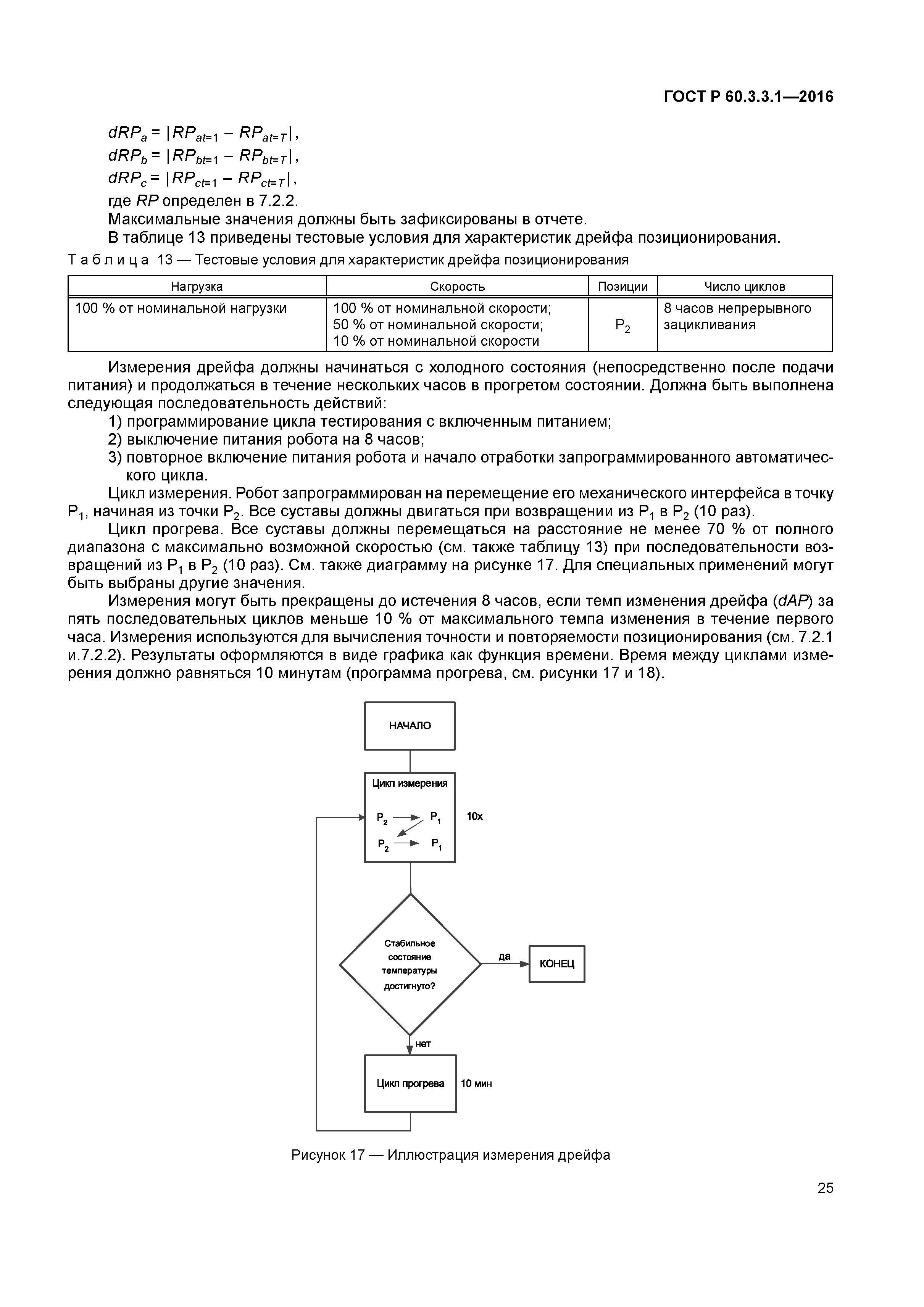
| Область применения: | Стандарт описывает методы определения и тестирования следующих рабочих характеристик промышленных манипуляционных роботов: - точность позиционирования и повторяемость позиционирования; - разнонаправленное изменение точности позиционирования; - точность отработки расстояния и повторяемость отработки расстояния; - время стабилизации положения; - перерегулирование по положению; - дрейф характеристик позиционирования; - взаимозаменяемость; - точность отработки траектории и повторяемость отработки траектории; - точность отработки траектории при переориентации; - отклонения на поворотах; - характеристики скорости отработки траектории; - минимальное время позиционирования; - статическая податливость; - отклонения при поперечных перемещениях. |
| Оглавление: | 1 Область применения 2 Нормативные ссылки 3 Термины и определения 4 Единицы измерения 5 Сокращения и обозначения 5.1 Основные сокращения 5.2 Параметры 5.3 Индексы 5.4 Другие обозначения 6 Условия тестирования характеристик 6.1 Установка робота 6.2 Условия до начала тестирования 6.3 Эксплуатационные и внешние условия 6.4 Принципы измерения перемещений 6.5 Измерительные приборы 6.6 Нагрузка на механический интерфейс 6.7 Тестовые скорости 6.8 Определения тестовых позиций и траекторий 6.9 Число циклов 6.10 Процедура тестирования 6.11 Тестируемые характеристики. Применения 7 Характеристики позиционирования 7.1 Общее описание 7.2 Точность и повторяемость позиционирования 7.3 Характеристики точности и повторяемости отработки расстояния 7.4 Время стабилизации положения 7.5 Перерегулирование по положению 7.6 Дрейф характеристик позиционирования 7.7 Взаимозаменяемость 8 Характеристики отработки траектории 8.1 Общие положения 8.2 Точность отработки траектории 8.3 Повторяемость отработки траектории (RT) 8.4 Точность отработки траектории по ориентации 8.5 Отклонения на поворотах 8.6 Характеристики скорости отработки траектории 9 Минимальное время позиционирования 10 Статическая податливость 11 Рабочие характеристики, специфичные для области применения 11.1 Отклонения при поперечных перемещениях 12 Отчет о тестировании Приложение А (обязательное) Параметры для сравнительных тестов Приложение В (справочное) Руководство по выбору тестов для типичных применений Приложение С (справочное) Пример отчета о тестировании Приложение ДА (справочное) Сведения о соответствии ссылочных международных стандартов национальным стандартам Российской Федерации |
| Разработан: | ФБУ Консультационно-внедренческая фирма в области международной стандартизации и сертификации - Фирма ИНТЕРСТАНДАРТ |
| Утверждён: | 30.11.2016 Федеральное агентство по техническому регулированию и метрологии (1866-ст) |
| Издан: | Стандартинформ (2016 г. ) |
| Нормативные ссылки: |




















































