Скачать ГОСТ Р 57271.4-2016 Менеджмент вспомогательных процессов в управлении недвижимостью. Часть 4. Таксономия, классификация и структура управленияДата актуализации: 01.01.2021
|
| Обозначение: | ГОСТ Р 57271.4-2016 |
| Обозначение англ: | GOST R 57271.4-2016 |
| Статус: | введен впервые |
| Название рус.: | Менеджмент вспомогательных процессов в управлении недвижимостью. Часть 4. Таксономия, классификация и структура управления |
| Название англ.: | Facility management. Part 4. Taxonomy, classification and structures of management |
| Дата добавления в базу: | 05.05.2017 |
| Дата актуализации: | 01.01.2021 |
| Дата введения: | 01.12.2017 |
| Область применения: | Стандарт рассматривает понятие добавленной стоимости, т. е. увеличение стоимости за счет добавления стоимости вспомогательных услуг к основным процессам или основной деятельности организации. |
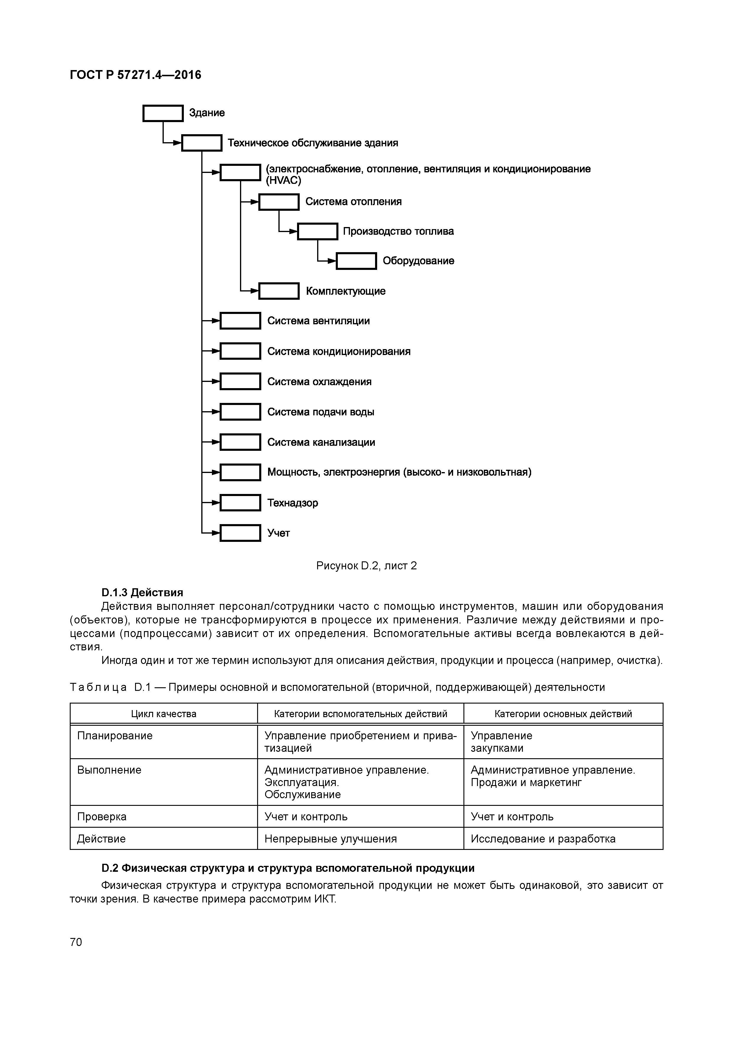
| Оглавление: | 1 Область применения 2 Нормативные ссылки З Термины и определения 4 Происхождение понятия "вспомогательная продукция" и модель взаимосвязи 5 Описание стандартизованной вспомогательной продукции Приложение А (справочное) Графическое представление карты вспомогательной продукции Приложение В (справочное) Дополнительные комментарии к специфике вспомогательной продукции Приложение С (справочное) Графическое представление матрицы процессов управления недвижимостью Приложение D (справочное) Структуры Приложение Е (справочное) Затраты и доходы в управлении недвижимостью Приложение ДА (справочное) Сведения о соответствии ссылочных европейских стандартов национальным стандартам Российской Федерации Библиография |
| Разработан: | АО НИЦ КД |
| Утверждён: | 30.11.2016 Росстандарт (1859-ст) |
| Издан: | Стандартинформ (2017 г. ) |
| Нормативные ссылки: |
|



















































































