Скачать ГОСТ Р 57299-2016 Информатизация здоровья. Информационное взаимодействие с персональными медицинскими приборами. Часть 10406. Специализация прибора: базовый электрокардиограф (ЭКГ c 1 - 3 отведениями)Дата актуализации: 01.01.2021
|
| Обозначение: | ГОСТ Р 57299-2016 |
| Обозначение англ: | GOST R 57299-2016 |
| Статус: | взамен |
| Название рус.: | Информатизация здоровья. Информационное взаимодействие с персональными медицинскими приборами. Часть 10406. Специализация прибора: базовый электрокардиограф (ЭКГ c 1 - 3 отведениями) |
| Название англ.: | Health informatics. Point-of-care medical device communication. Part 10406. Device specialization. Basic electrocardiograph (ECG) (1- to 3- lead ECG) |
| Дата добавления в базу: | 05.05.2017 |
| Дата актуализации: | 01.01.2021 |
| Дата введения: | 01.01.2018 |
| Область применения: | В контексте серии стандартов ИСО/ИИЭР 11073, касающихся информационного взаимодействия с устройством, настоящий стандарт устанавливает стандартное определение взаимодействия между персональными приборами базового электрокардиографа (ЭКГ) и менеджерами (например, сотовыми телефонами, персональными компьютеры, персональные медицинскими приборами, и дополнительными внешними устройствами) для обеспечения совместимости на основе автоматического конфигурирования. В нем задействуются соответствующие части существующих стандартов, включая терминологию стандарта ИСО/ИИЭР 11073 и информационные модели стандарта ИИЭР 11073-20601. Стандарт определяет использование определенных кодов терминов, форматов и поведений в среде телездравоохранения, ограничивая опции в основных структурах в пользу интероперабельности. Стандарт определяет общее ядро фукнционала коммуникаций для персональных приборов телездравоохранения базового ЭКГ (от 1 до 3 отведений ЭКГ). Приборы контроля (мониторинга) ЭКГ отличаются от диагностического оборудования ЭКГ включением поддержки носимых устройств ЭКГ, ограничением количества отведений, поддерживаемых оборудованием до трех, и отсутствием необходимости в способности аннотирования или анализа обнаруженной электрической активности с целью определения известных кардиальных явлений. Стандарт согласуется с основной структурой и допускает многофункциональные реализации, следуя множеству специализаций прибора (например, ЭКГ и частота дыхания). |
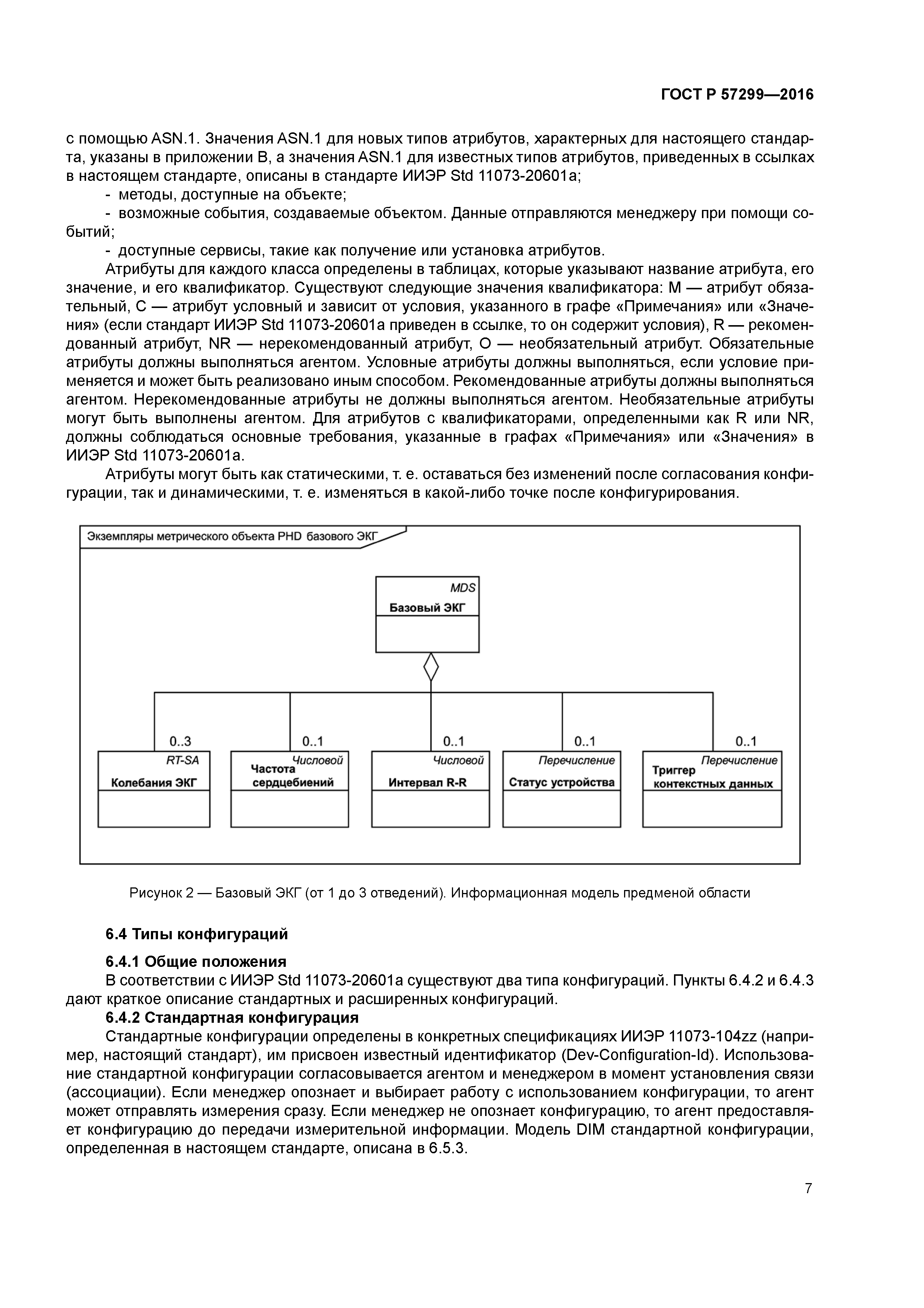
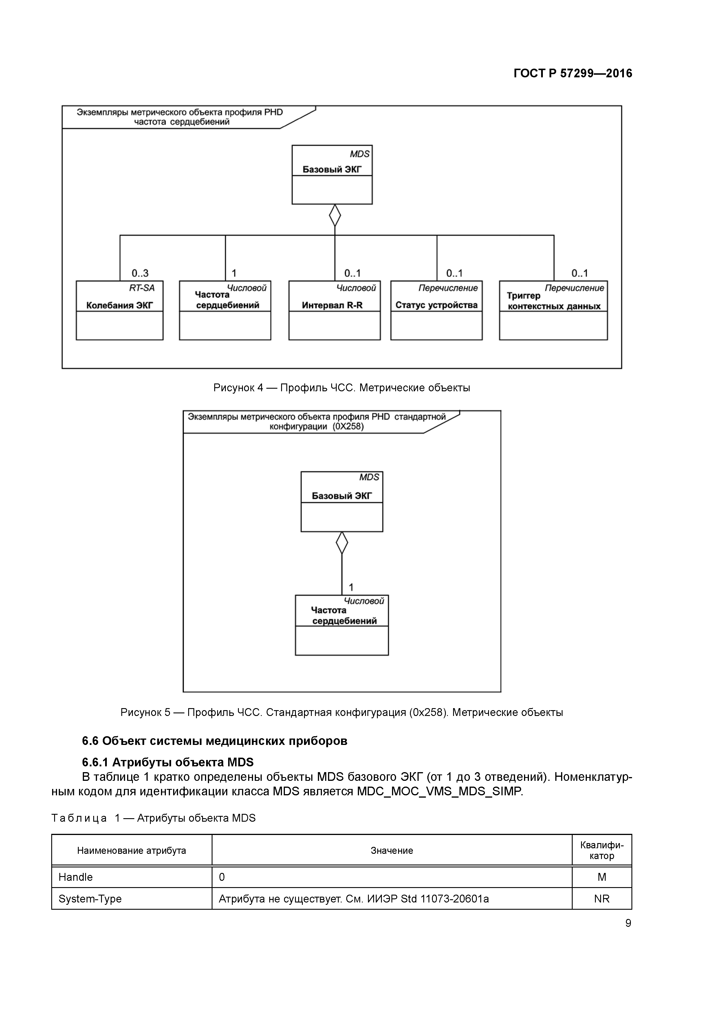
| Оглавление: | 1 Обзор 1.1 Область применения 1.2 Цель 1.3 Контекст 2 Нормативные ссылки 3 Термины, определения и сокращения 3.1 Термины и определения 3.2 Сокращения 4 Введение в ИСО/ИИЭР 11073 Персональные медицинские приборы 4.1 Общие положения 4.2 Введение в моделирующие конструкции ИСО/ИИЭР 11073-20601 4.3 Соответствие с другими стандартами 5 Механизм работы и способы воздействия базового ЭКГ (от 1 до 3 отведений) 5.1 Общие положения 5.2 Колебания ЭКГ 5.3 Интервал R-R 5.4 Частота сердечных сокращений 6 Информационная модель предметной области базового ЭКГ (от 1 до 3 отведений) 6.1 Краткое описание 6.2 Расширения класса 6.3 диаграмма экземпляров объектов 6.4 Типы конфигураций 6.5 Профили 6.6 Объект системы медицинских приборов 6.7 Числовые объекты 6.8 Объекты массива выборок в режиме реального времени (RT-SA) 6.9 Объекты перечисления 6.10 Объекты PM-хранилища 6.11 Объекты сканера 6.12 Объекты расширения класса 6.13 Правила расширения информационной модели базового ЭКГ (от 1 до 3 отведений) 7 Модель сервиса базового ЭКГ (от 1 до 3 отведений) 7.1 Общие положения 7.2 Сервисы доступа к объектам 7.3 Сервисы отчетов о событиях доступа к объектам 8 Коммуникационная модель базового ЭКГ (от 1 до 3 отведений) 8.1 Общие положения 8.2 Характеристики взаимодействия 8.3 Процедура ассоциации 8.4 Процедура настройки конфигурации 8.5 Процедура работы 8.6 Синхронизация времени 9 Тестовая ассоциация 9.1 Поведение при стандартной конфигурации 9.2 Поведение с расширенной конфигурацией 10 Соответствие 10.1 Область применения 10.2 Спецификация соответствия 10.3 Уровни соответствия 10.4 Заявление о соответствии реализации Приложение А (справочное) Библиография Приложение В (обязательное) Несколько дополнительных определений ASN 1 Приложение С (обязательное) Распределение идентификаторов Приложение D (справочное) Примеры последовательности сообщений Приложение Е (справочное) Примеры протокольных блоков данных Приложение ДА (справочное) Сведения о соответствии ссылочных международных стандартов и документов национальным стандартам Российской Федерации |
| Разработан: | ООО Корпоративные электронные системы ФГБУ ЦНИИОИЗ Минздрава |
| Утверждён: | 30.11.2016 Федеральное агентство по техническому регулированию и метрологии (1867-ст) |
| Издан: | Стандартинформ (2017 г. ) |































































