Скачать ГОСТ Р 57335-2016 Блоки бетонные строительные. Технические условияДата актуализации: 01.01.2021
|
| Обозначение: | ГОСТ Р 57335-2016 |
| Обозначение англ: | GOST R 57335-2016 |
| Статус: | приостановлено действие |
| Название рус.: | Блоки бетонные строительные. Технические условия |
| Название англ.: | Manufactured stone masonry units. Specifications |
| Дата добавления в базу: | 05.05.2017 |
| Дата актуализации: | 01.01.2021 |
| Дата введения: | 01.07.2017 |
| Дата окончания срока действия: | 14.01.2020 |
| Область применения: | Стандарт устанавливает характеристики, технологические нормы и правила на строительные бетонные блоки (далее - блоки). Блоки предназначаются, главным образом, для применения в качестве облицовки или открытой для внешнего воздействия каменной кладке, несущей или не несущей нагрузку в облицовке сооружений и гражданском строительстве. Блоки применяют для всех форм возведения стен правильными рядами или произвольной кладкой, включая одиночную облегченную перегородку, пустотную стену, внутреннюю перегородку, подпорную или наружную кладку в дымоходах. Блоки могут обеспечивать противопожарную защиту, теплоизоляцию, звукоизоляцию. Стандарт распространяется на блоки, похожие на природный камень, изготовляемые по технологии отливки или прессования. Блоки могут иметь фактуру (текстуру) поверхности, полученную путем отливки, промывки, струйной очистки или обработки инструментом, с рифленой, колотой или гладкой лицевой поверхностью. Стандарт определяет рабочие характеристики, касающиеся, например, прочности, плотности, размерной точности, внешнего вида поверхности, и предусматривает оценку соответствия определенного блока настоящему стандарту. Также включены требования к маркировке продукции, охваченной настоящим стандартом. Стандарт не распространяется на блоки, стеновые панели, блоки для дымоходов или блоки, изготовленные с липкой наклеенной декоративной пленкой, или с приклеенным слоем теплоизоляционного материала, восприимчивого к воздействию огня. Также стандарт не распространяется на блоки, предназначенные для применения в качестве водонепроницаемого горизонтального ряда кладки, а также на блоки, отвечающие требованиям EН 71-3:2011. Стандарт не устанавливает стандартных размеров блоков или рабочих размеров и углов блоков специальной формы. |
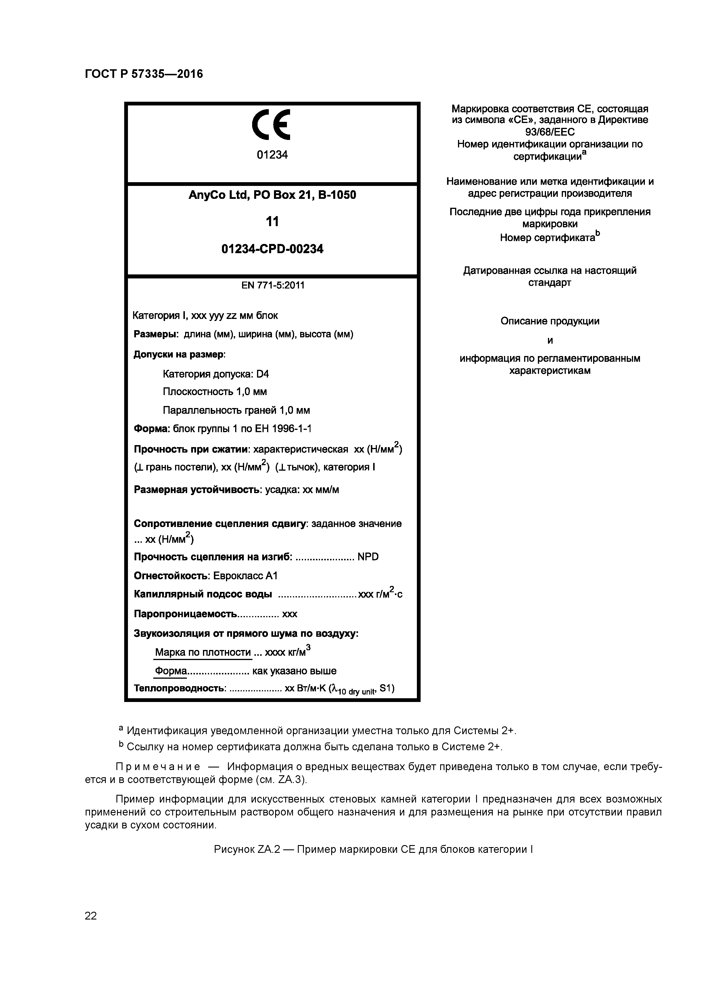
| Оглавление: | 1 Область применения 2 Нормативные ссылки 3 Термины и определения 4 Материалы 5 Требования к блокам 5.1 Общие положения 5.2 Размеры и предельные отклонения размеров 5.3 Форма и внешний вид 5.4 Плотность 5.5 Прочность при сжатии 5.6 Теплотехнические свойства 5.7 Долговечность 5.8 Капиллярный подсос воды (водопоглощение) 5.9 Усадка 5.10 Паропроницаемость 5.11 Огнестойкость 5.12 Прочность сцепления при сдвиге 5.13 Прочность сцепления при изгибе 6 Описание, назначение и классификация блоков 6.1 Описание и назначение 6.2 Классификация 7 Маркировка 8 Оценка соответствия 8.1 Общие положения 8.2 Первичные испытания 8.3 Заводской производственный контроль Приложение А (обязательное) Выборка образцов для проведения первичных испытаний и независимых испытаний партий отправленных блоков Приложение В (обязательное) Нормированная прочность при сжатии Приложение С (справочное) Рекомендации по частоте испытаний для разработки системы заводского производственного контроля (FPC) с целью подтверждения соответствия готовой продукции требованиям настоящего стандарта и декларации производителя Приложение ZA (справочное) Разделы настоящего стандарта, в которых используются положения Директивы ЕС по строительной продукции (89/106/EEC) Приложение ДА (справочное) Сведения о соответствии ссылочных европейских стандартов национальным стандартам и действующим в этом качестве межгосударственным стандартам Библиография |
| Разработан: | ФГУП СТАНДАРТИНФОРМ НИИЖБ им. А.А. Гвоздева АО НИЦ Строительство |
| Утверждён: | 08.12.2016 Федеральное агентство по техническому регулированию и метрологии (1992-ст) |
| Издан: | Стандартинформ (2017 г. ) |
| Нормативные ссылки: |
|





























