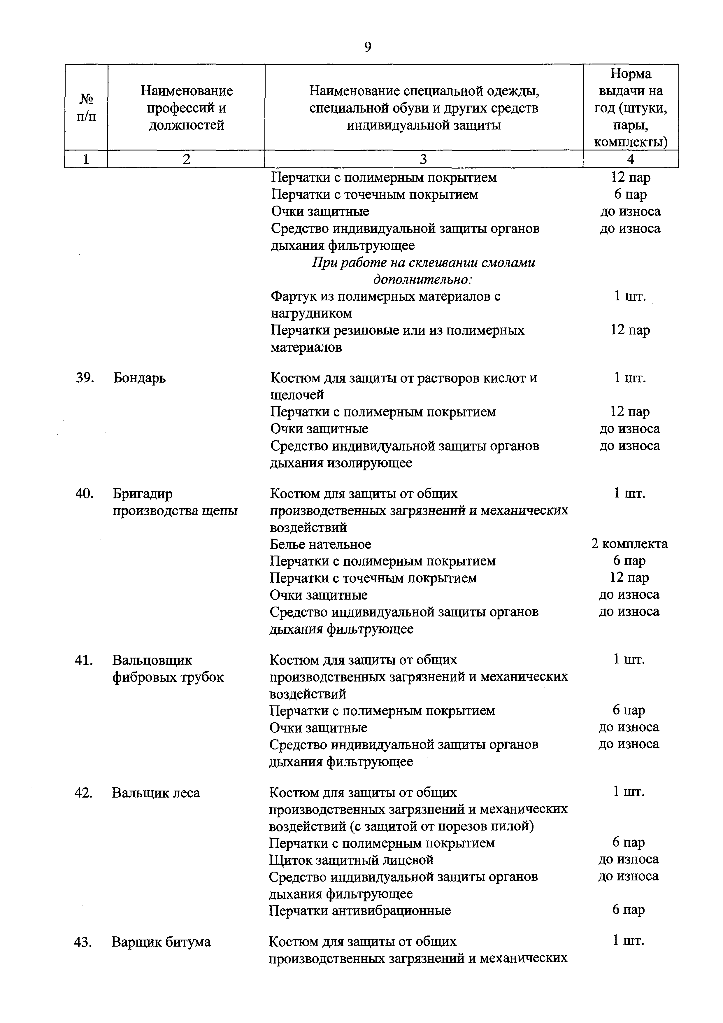
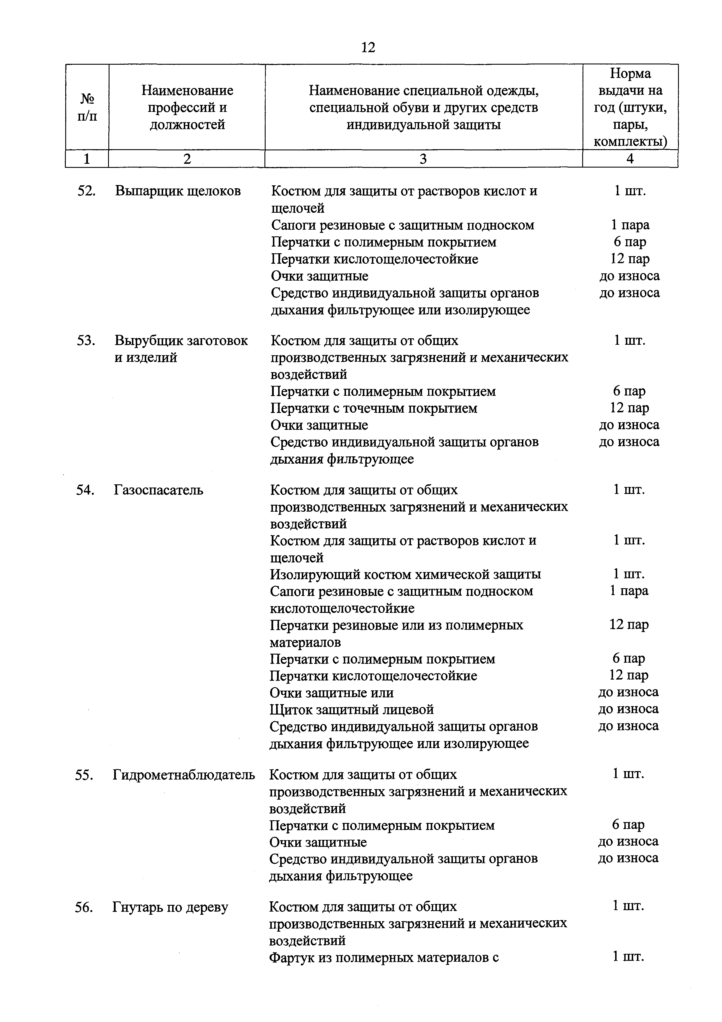
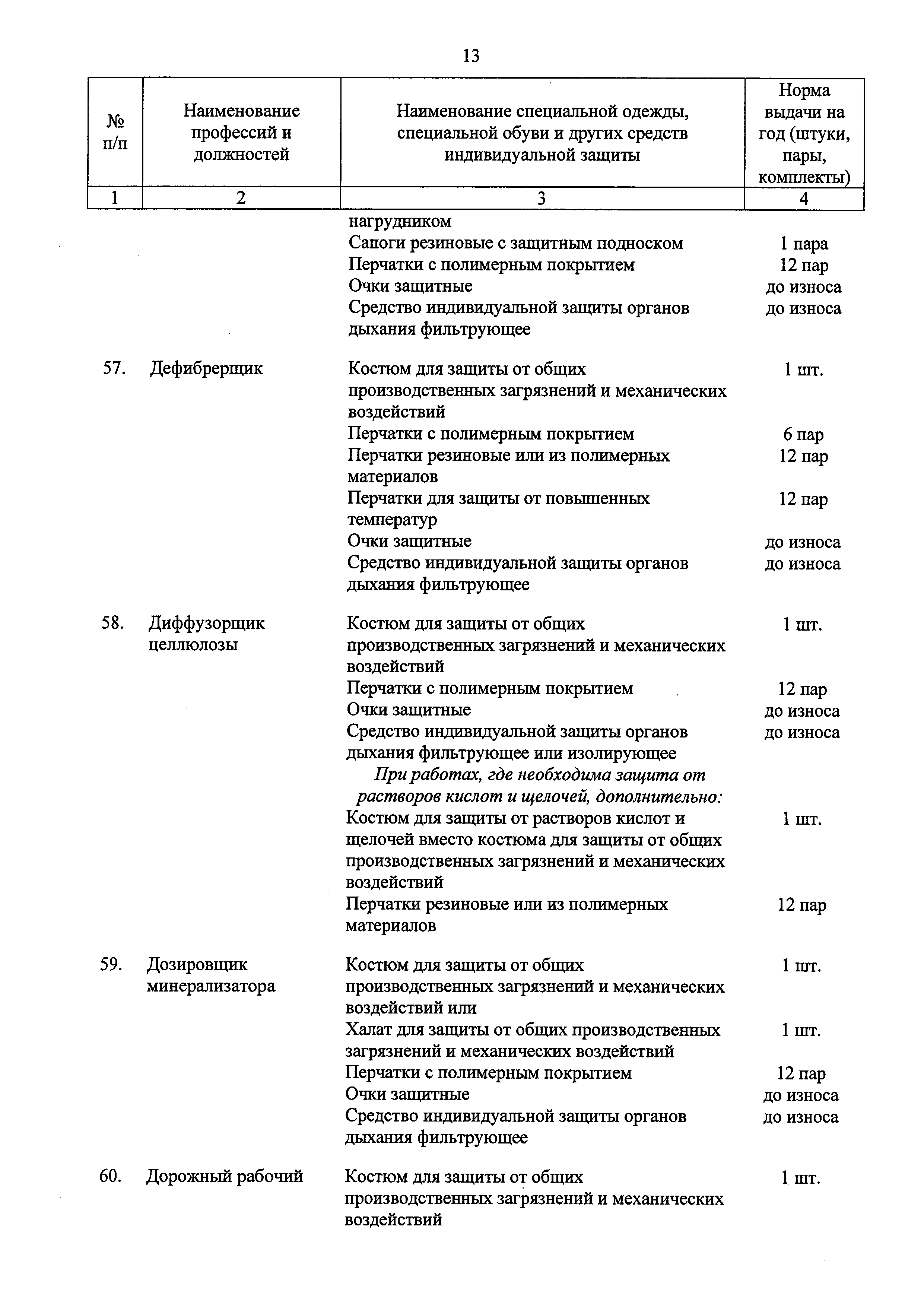
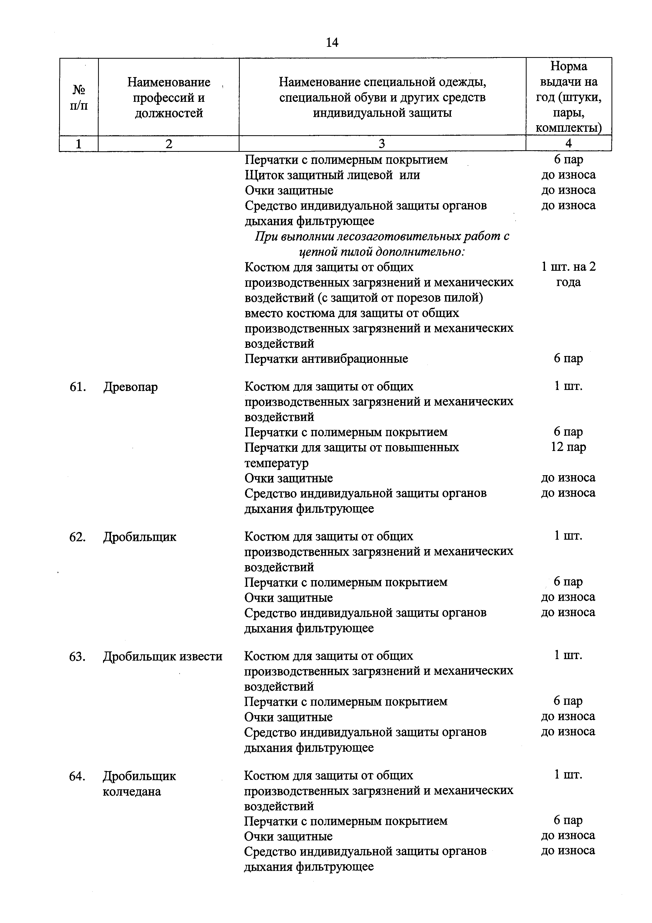
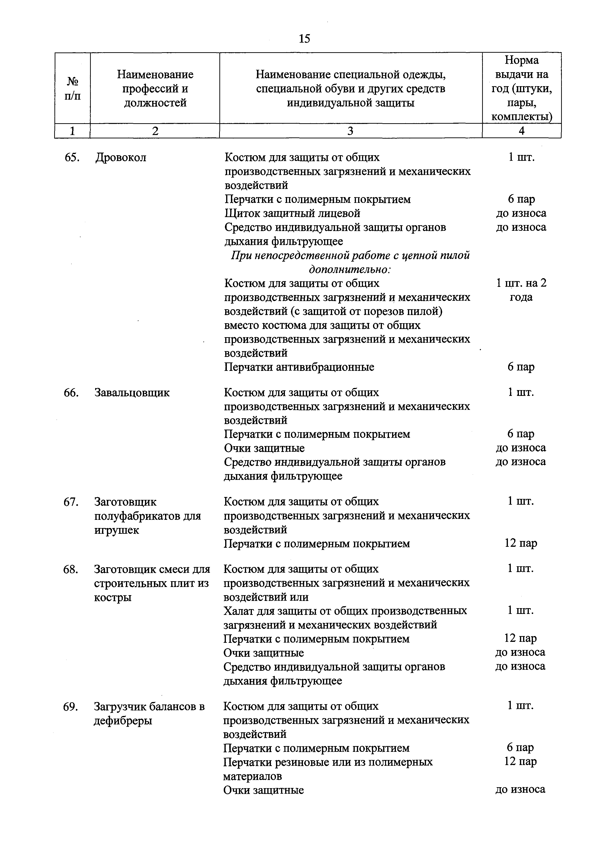
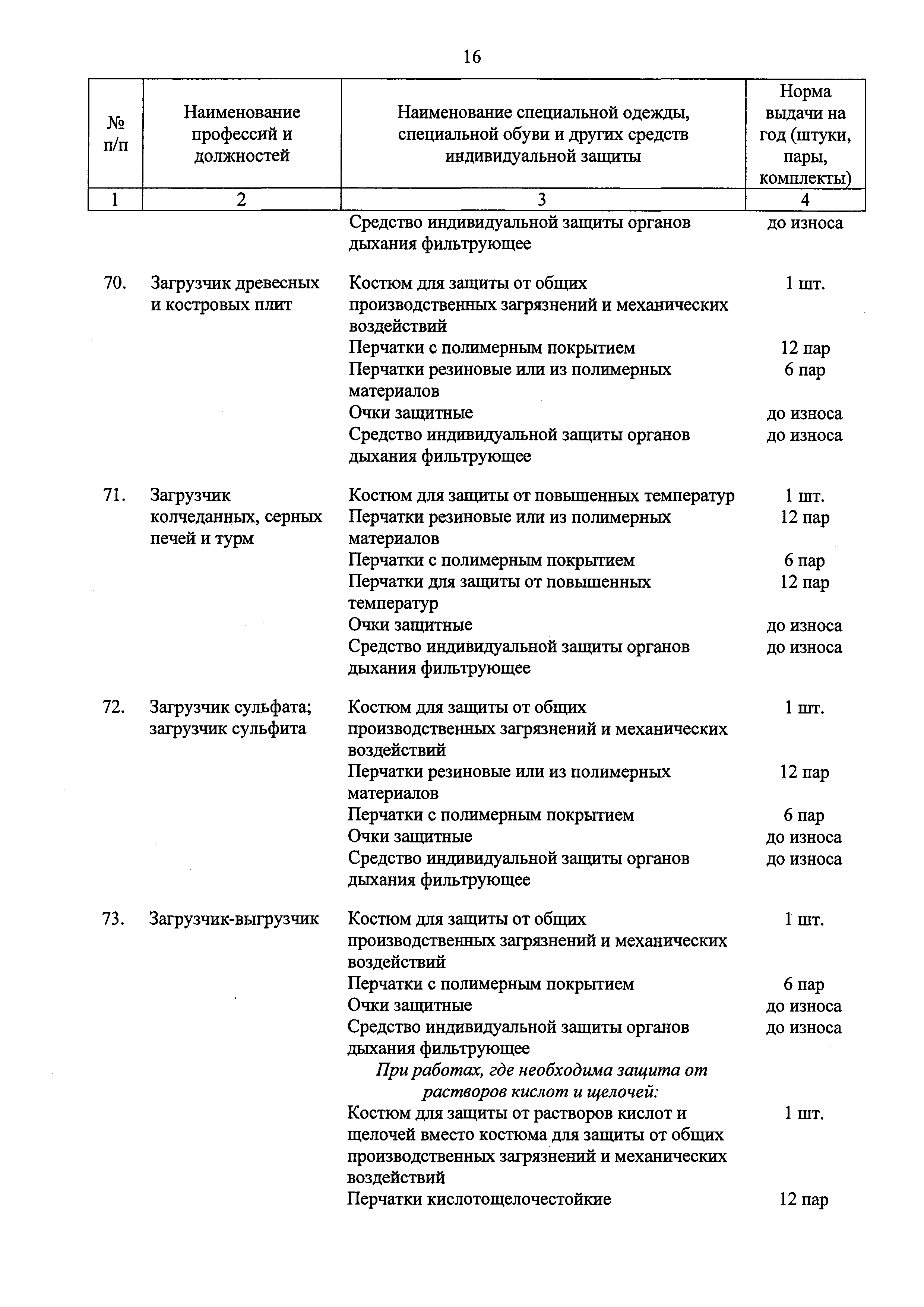
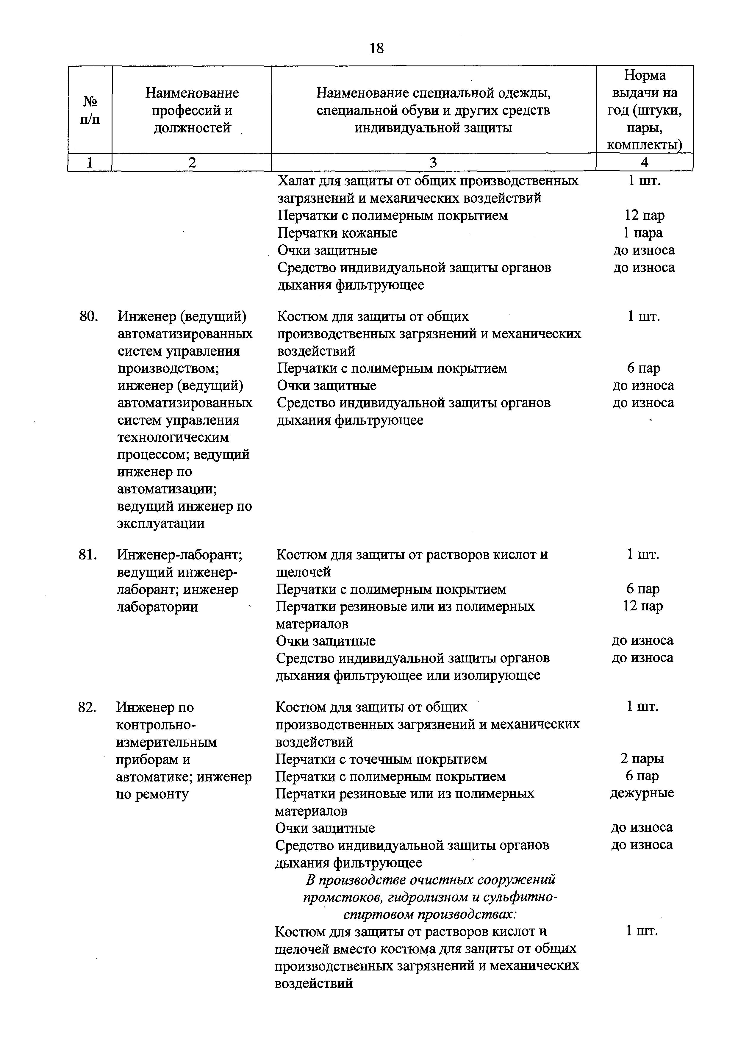
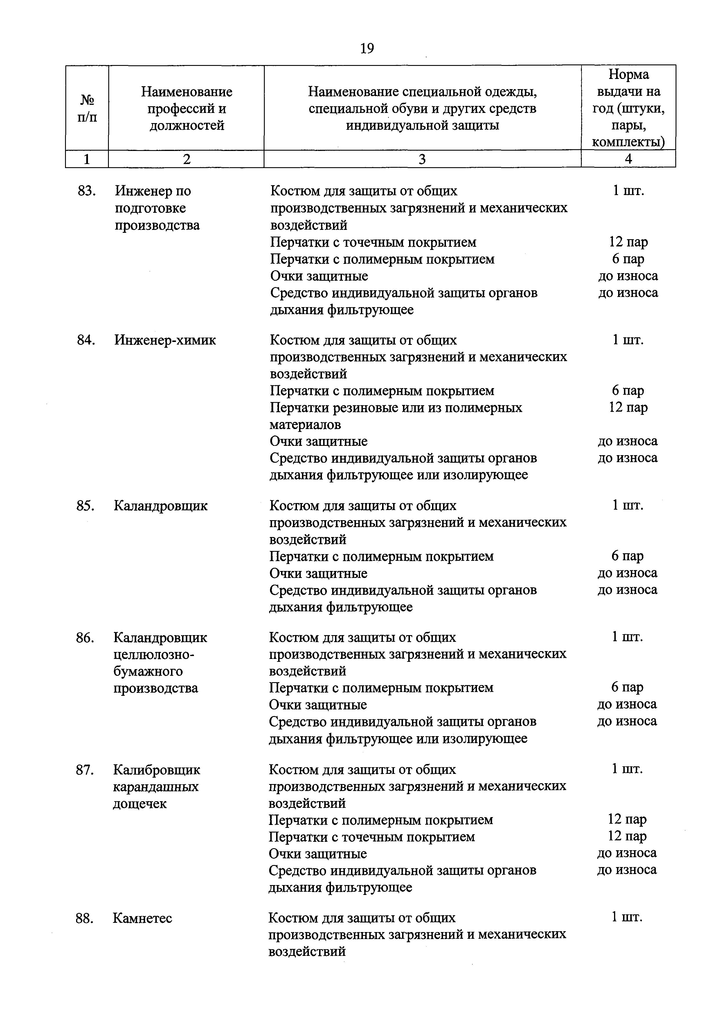
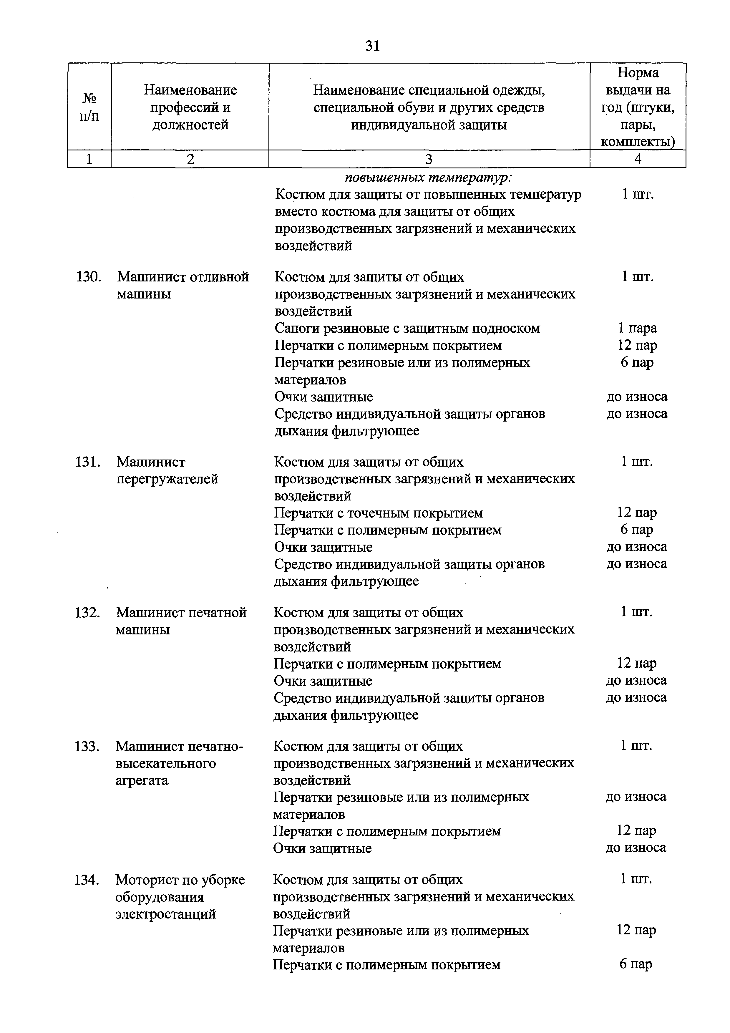
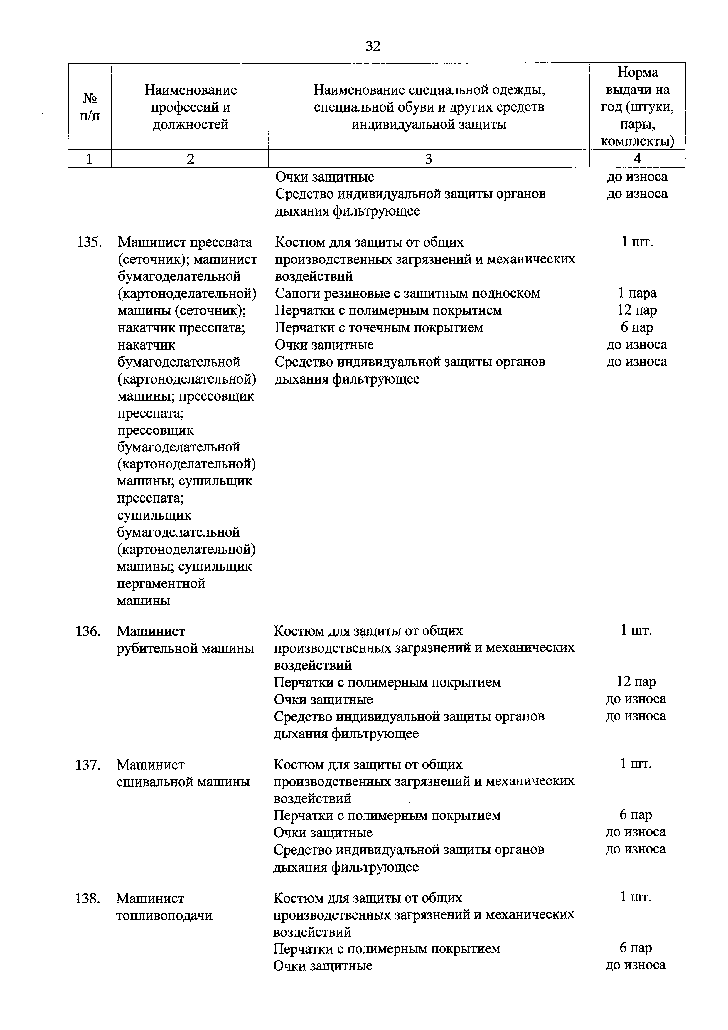
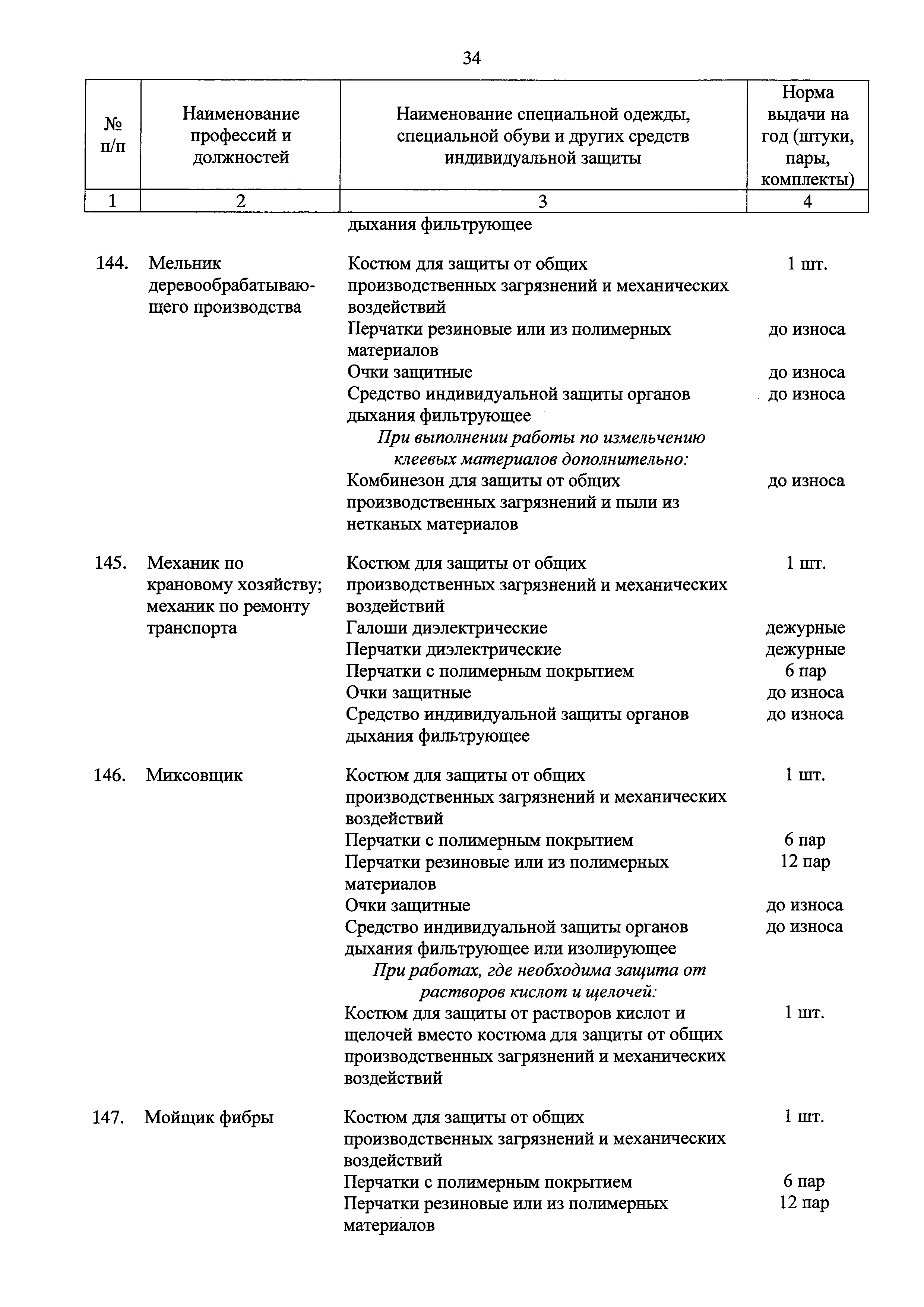
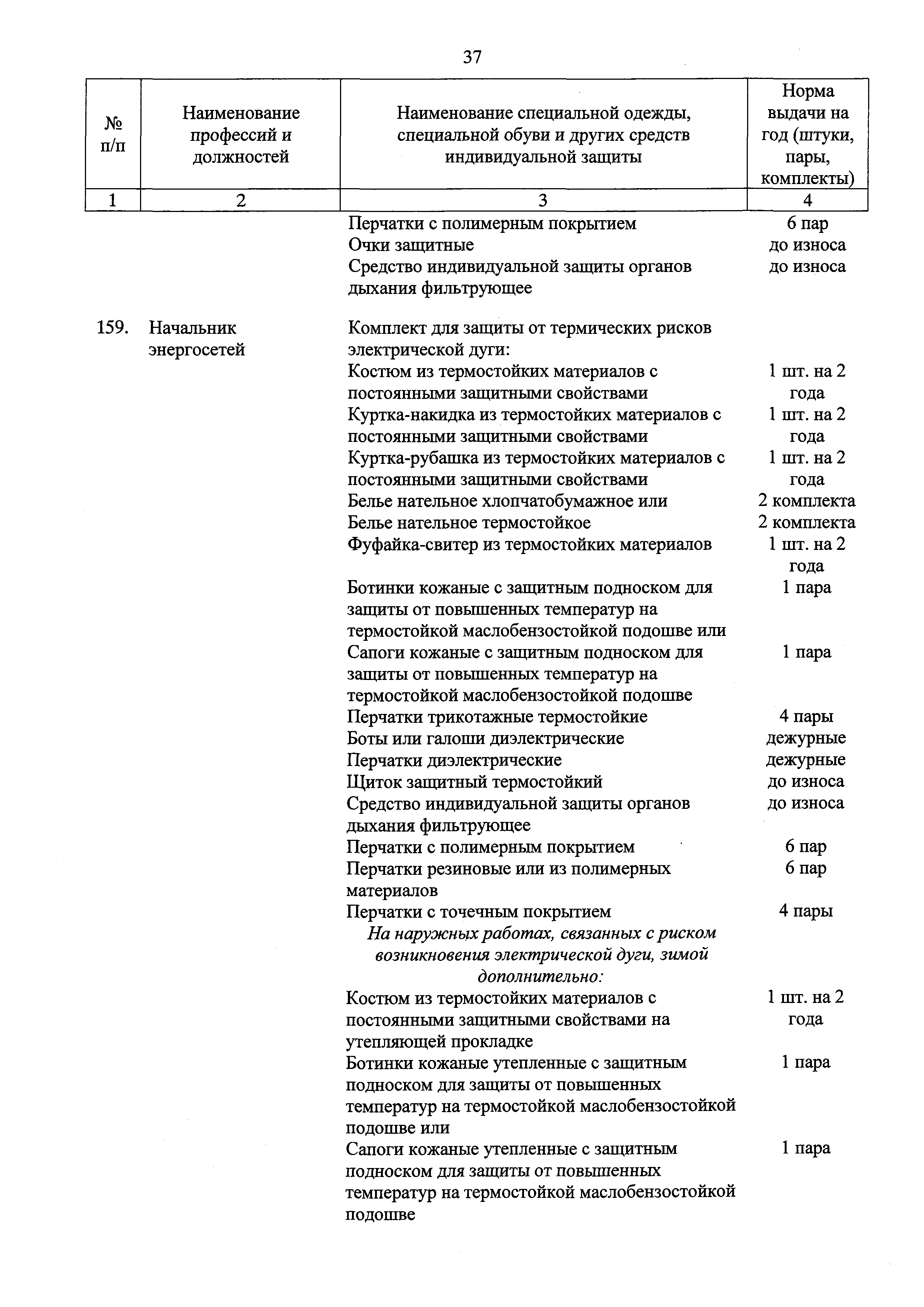
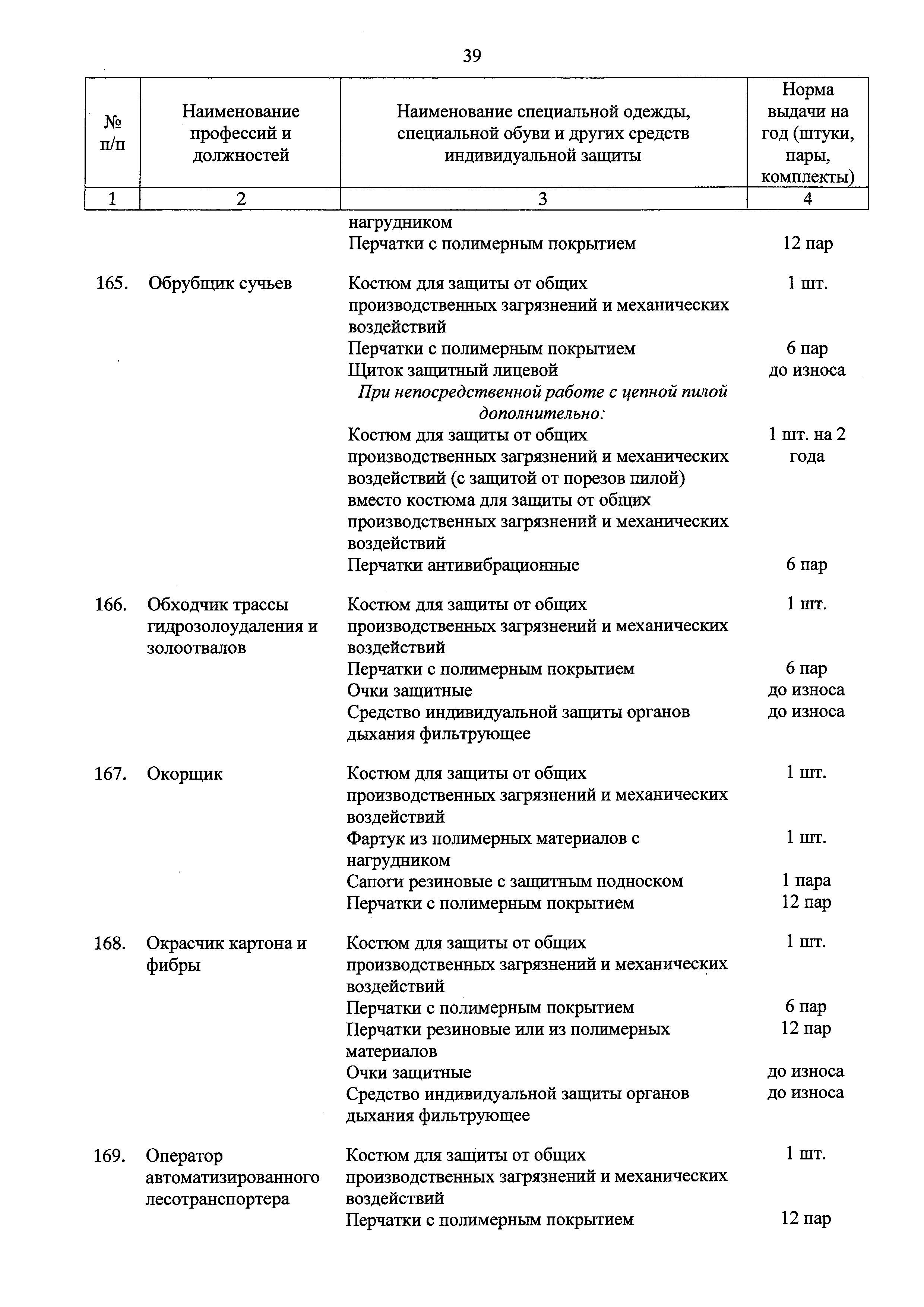
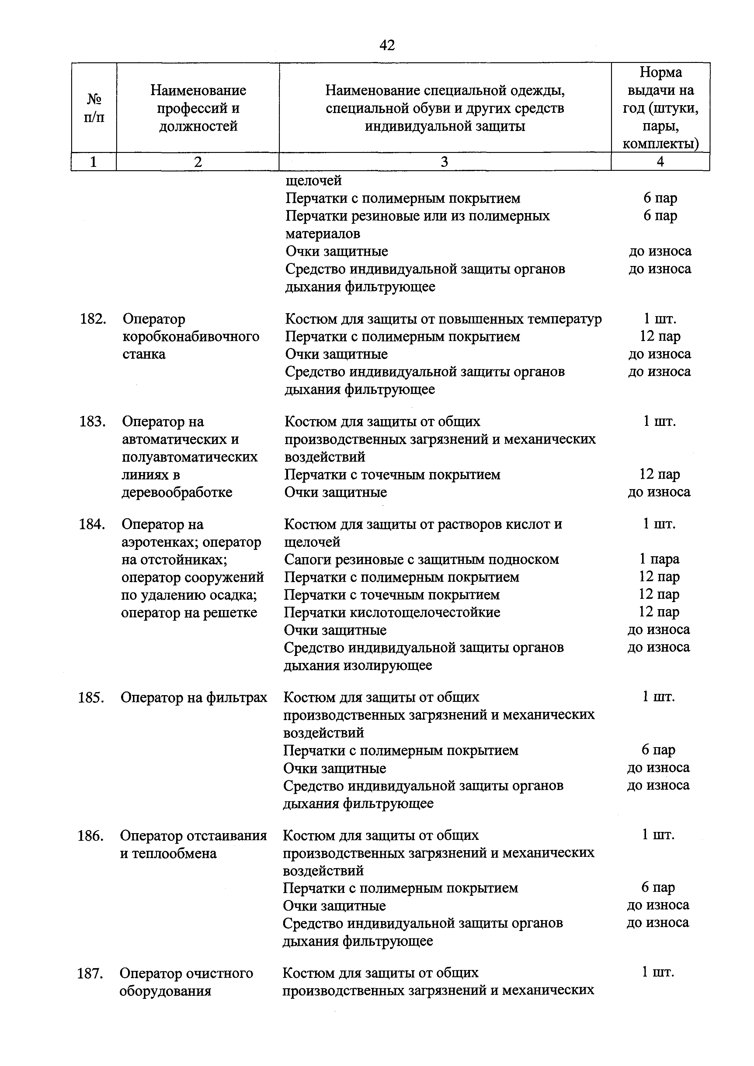
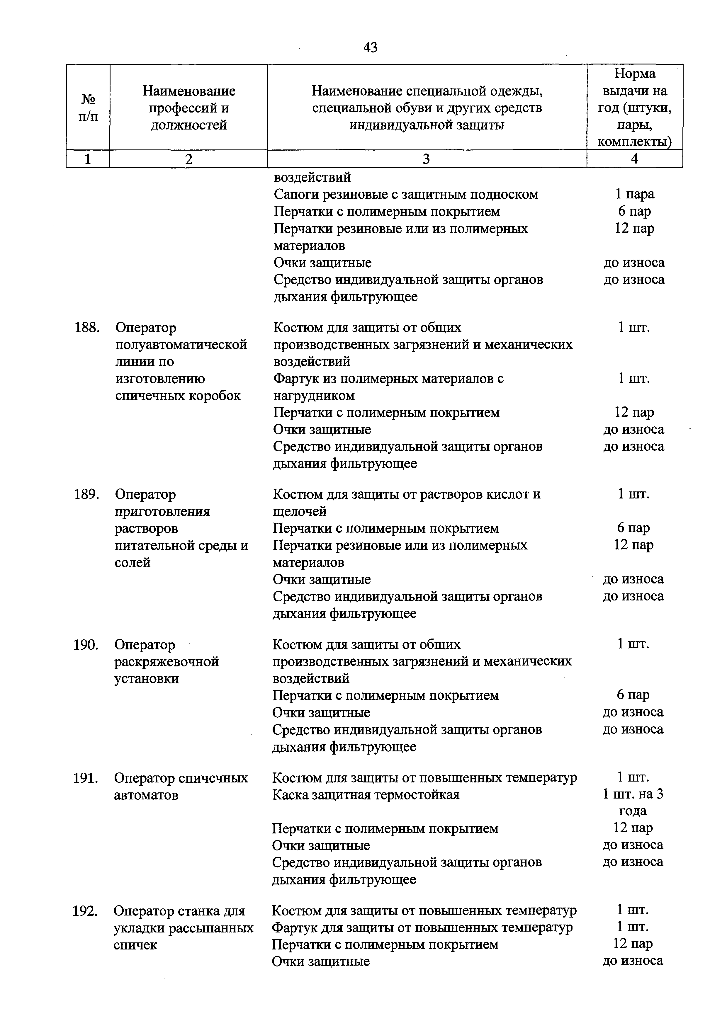
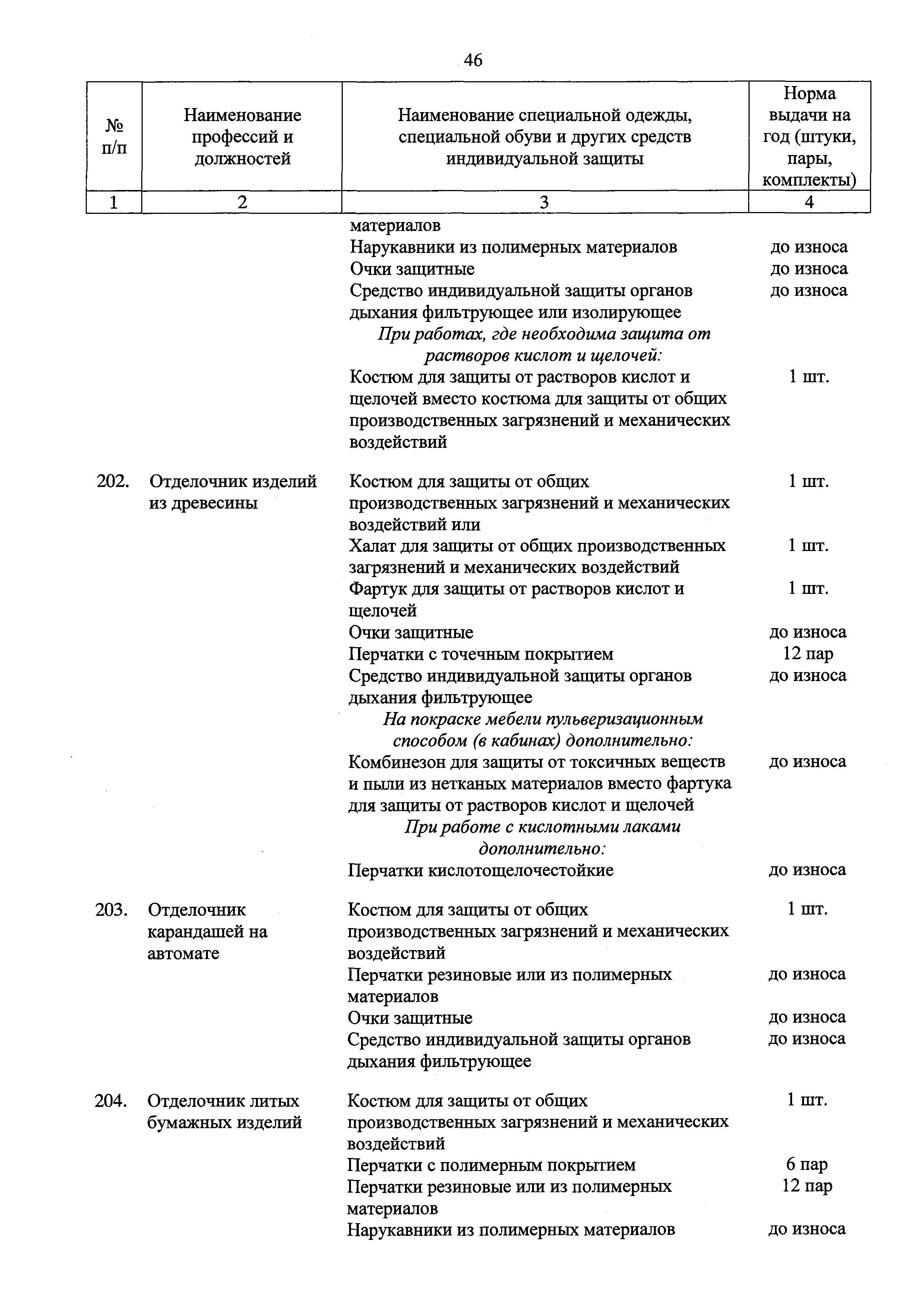
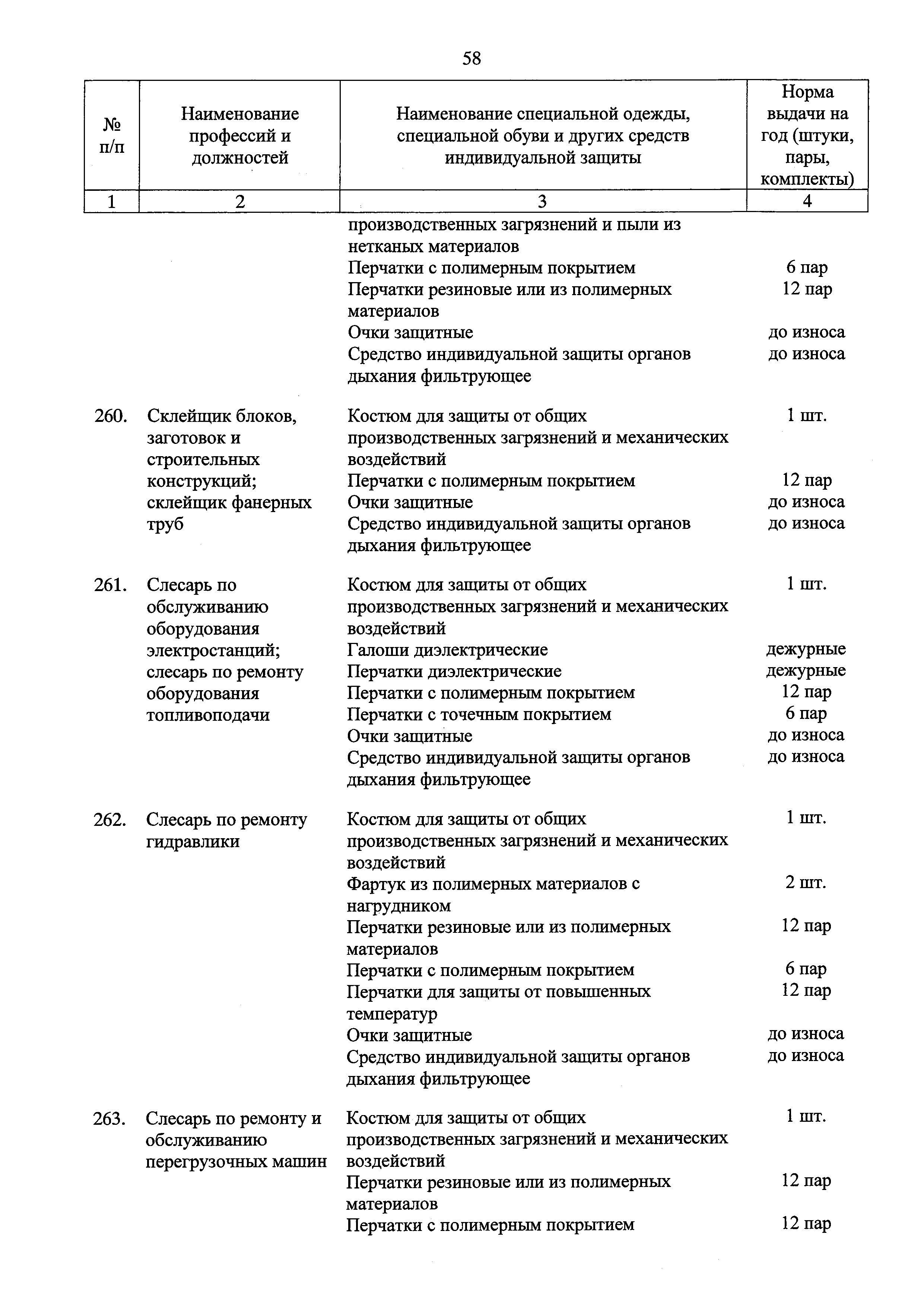
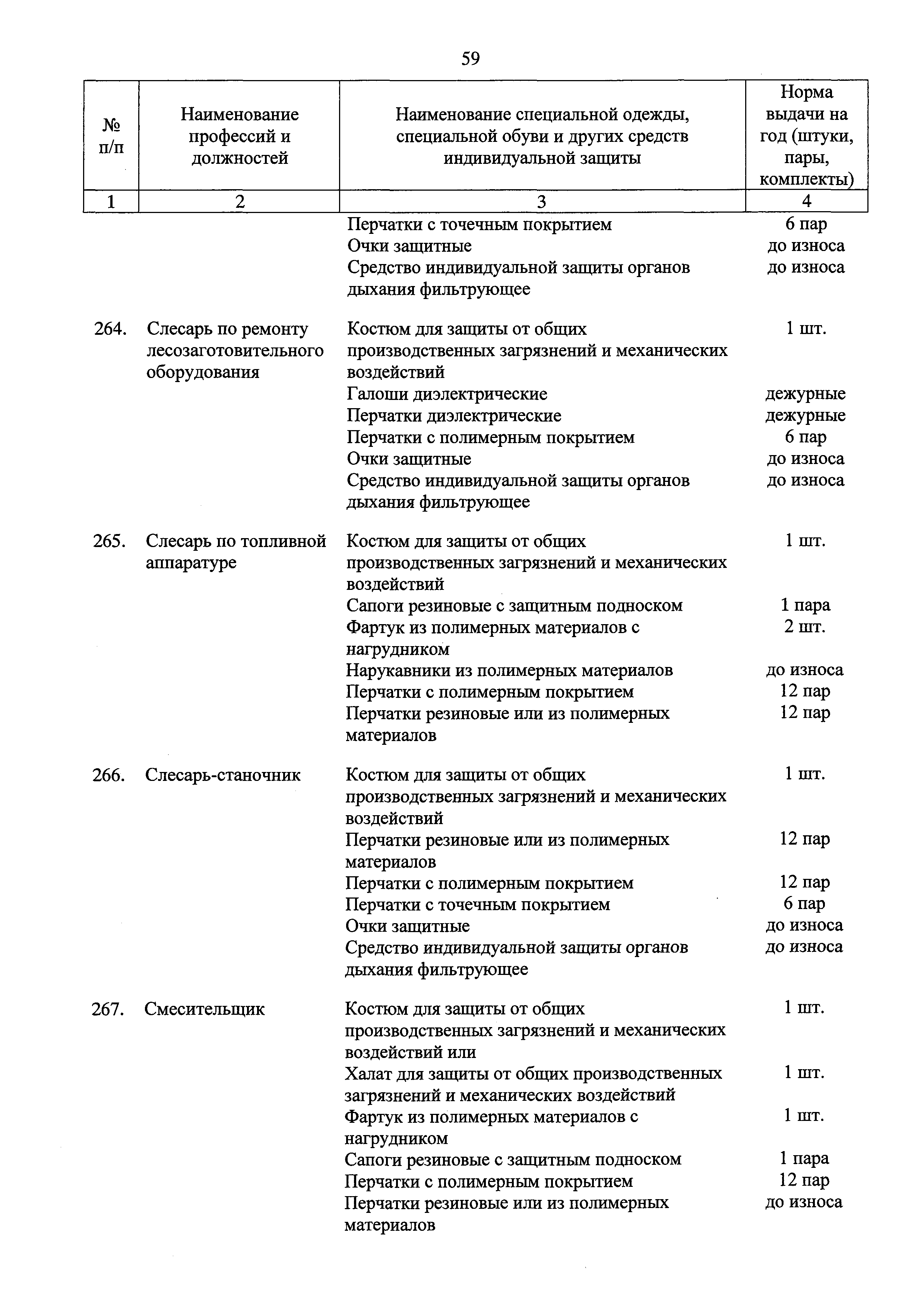
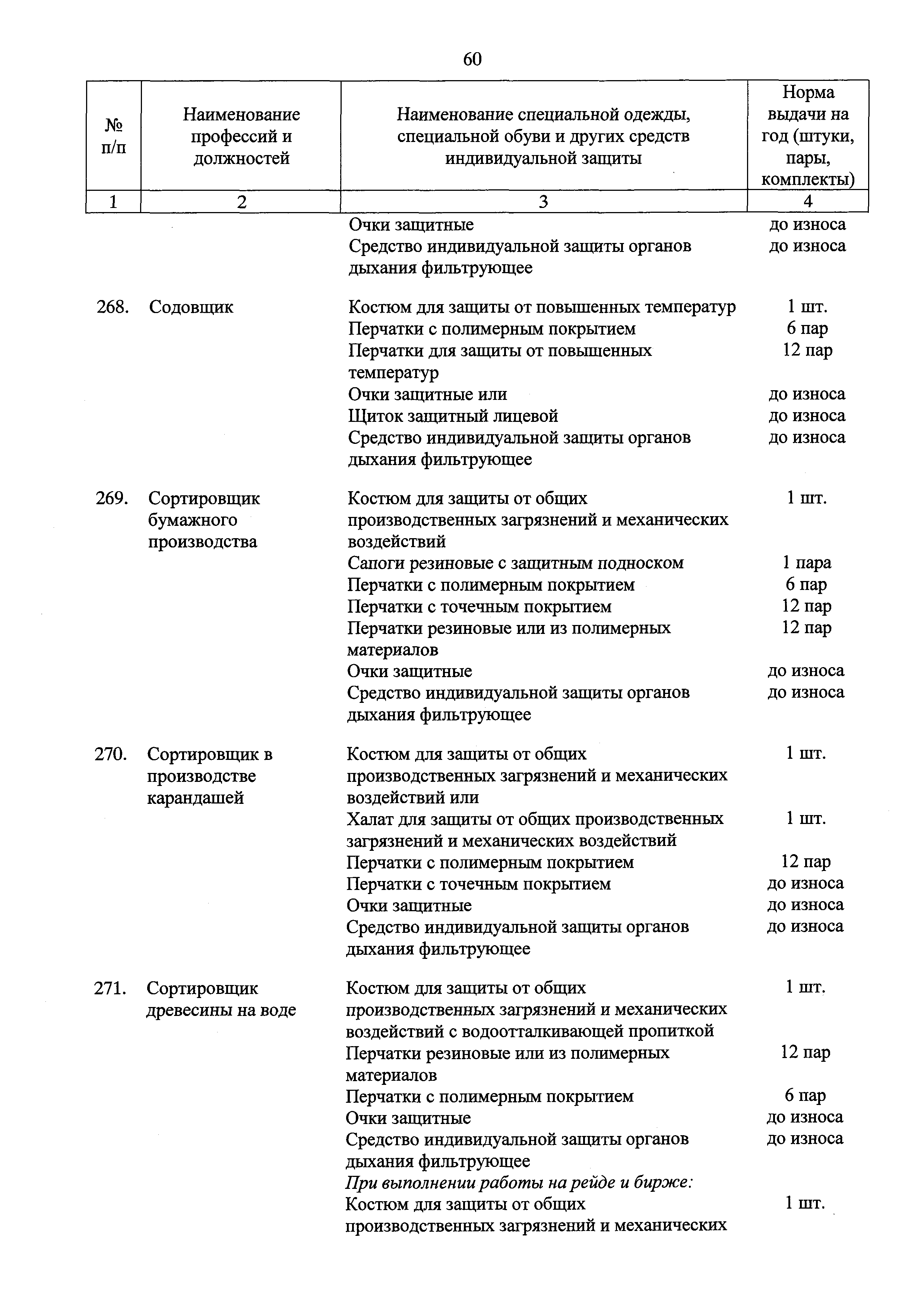
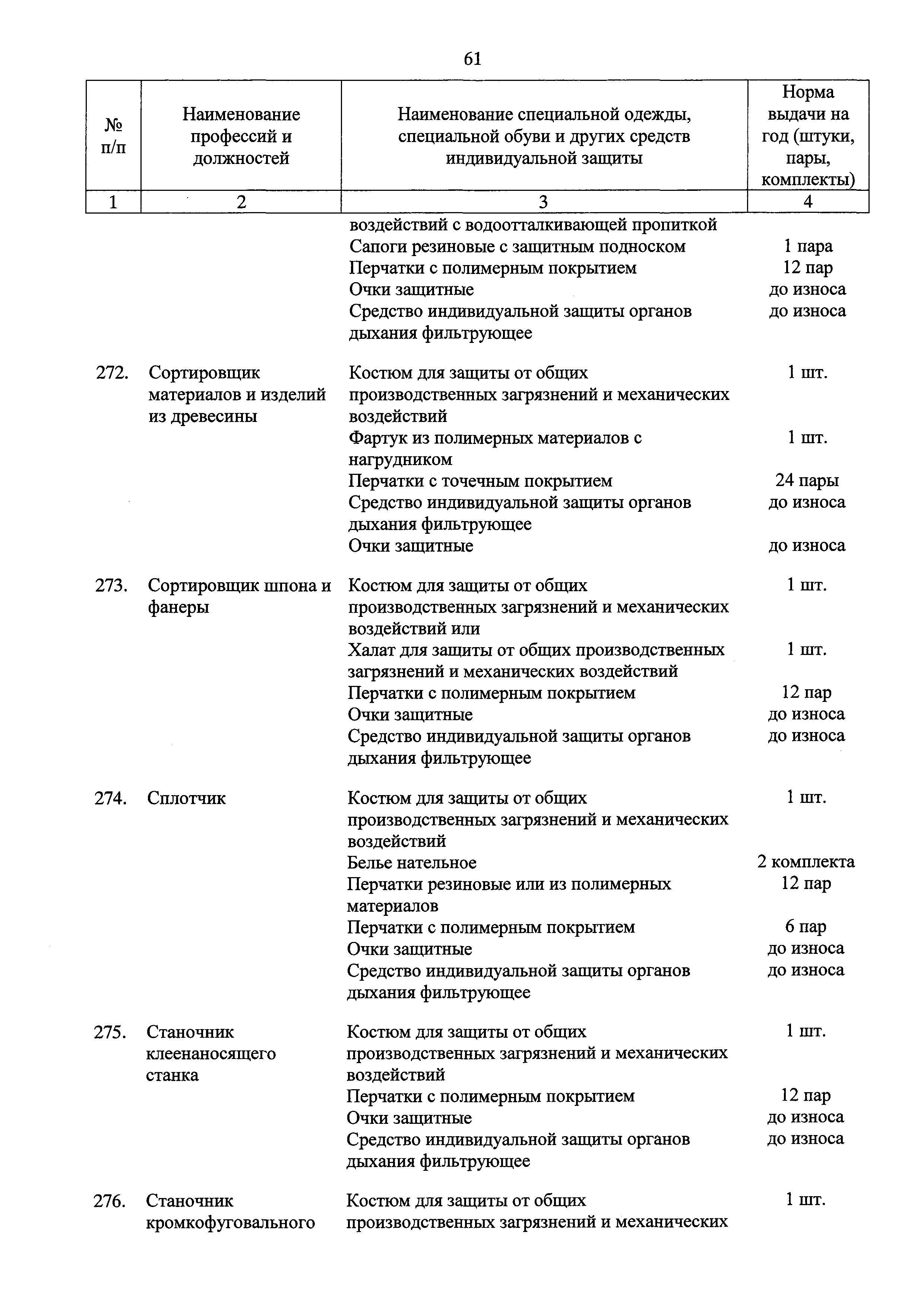
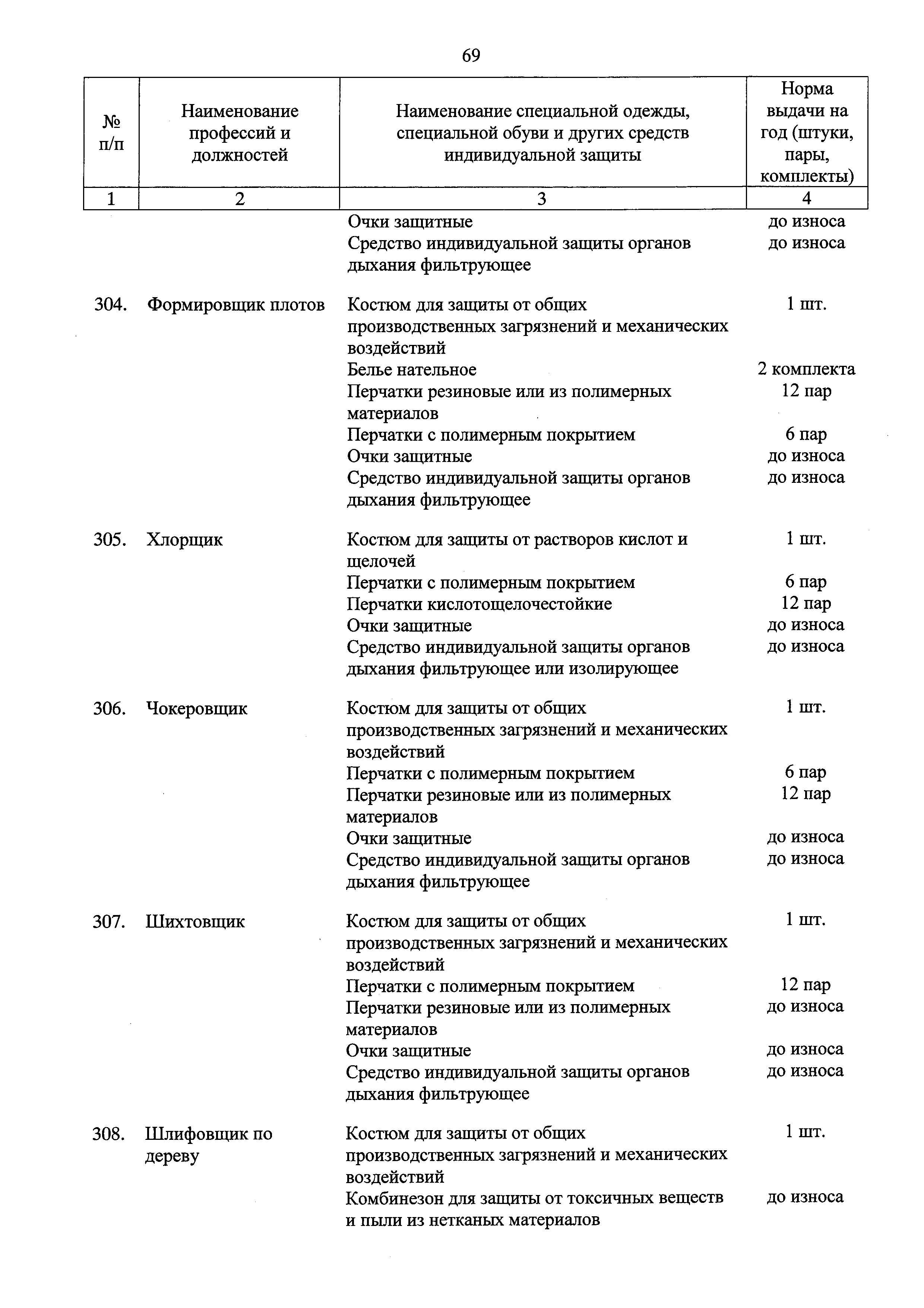
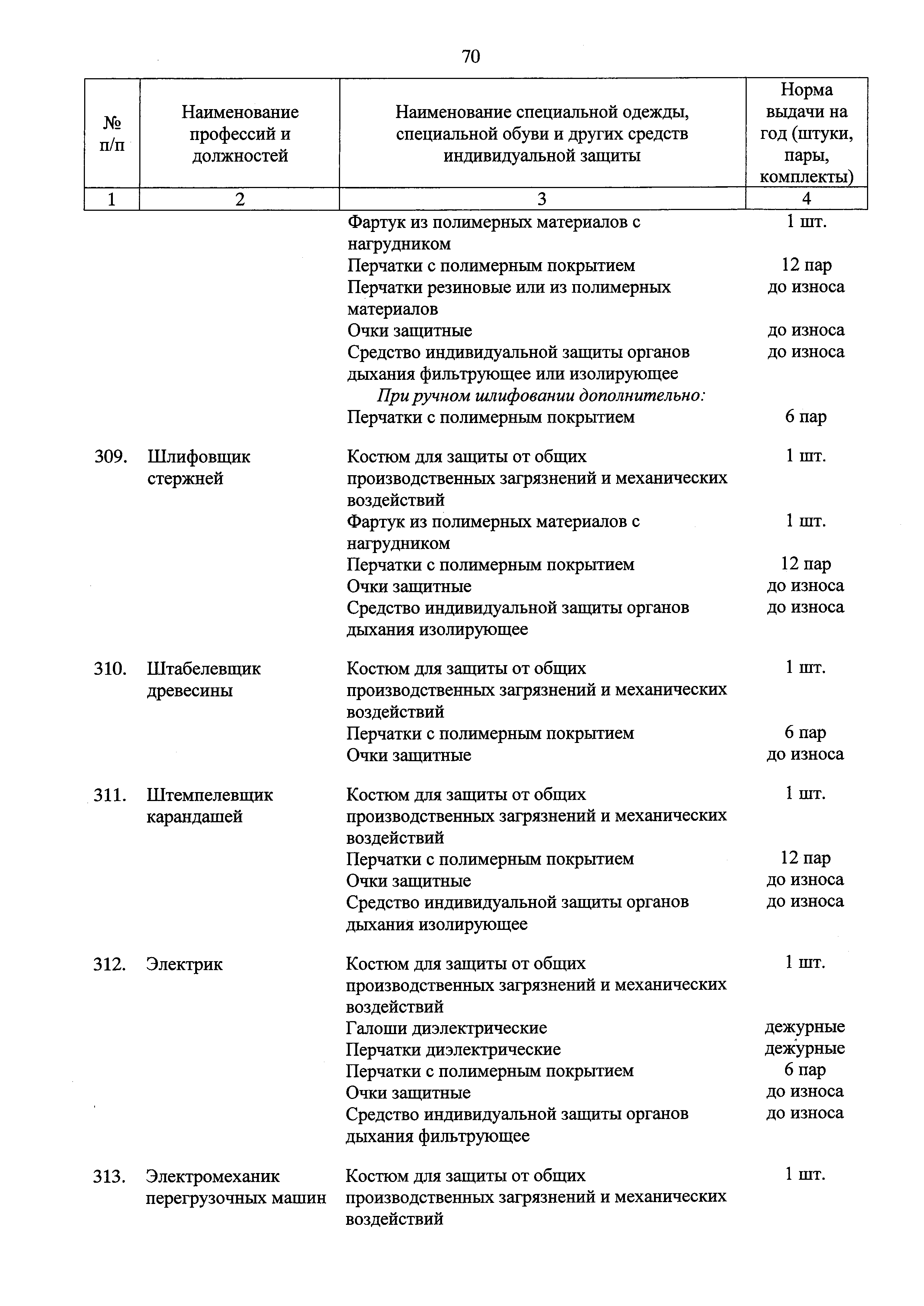
Скачать Типовые нормы бесплатной выдачи специальной одежды, специальной обуви и других средств индивидуальной защиты работникам целлюлозно-бумажного, гидролизного , лесохимического и деревообрабатывающего производств, занятым на работах с вредными и (или) опасными условиями труда, а также выполняемых в особых температурных условиях или связанных с загрязнениемДата актуализации: 01.01.2021
Типовые нормы бесплатной выдачи специальной одежды, специальной обуви и других средств индивидуальной защиты работникам целлюлозно-бумажного, гидролизного , лесохимического и деревообрабатывающего производств, занятым на работах с вредными и (или) опасными условиями труда, а также выполняемых в особых температурных условиях или связанных с загрязнением| Статус: | действует | | Название рус.: | Типовые нормы бесплатной выдачи специальной одежды, специальной обуви и других средств индивидуальной защиты работникам целлюлозно-бумажного, гидролизного , лесохимического и деревообрабатывающего производств, занятым на работах с вредными и (или) опасными условиями труда, а также выполняемых в особых температурных условиях или связанных с загрязнением | | Дата добавления в базу: | 01.02.2017 | | Дата актуализации: | 01.01.2021 | | Дата введения: | 09.03.2017 | | Утверждён: | 17.11.2016 Министерство труда и социальной защиты РФ (665н)
| | Издан: | Официальный интернет-портал правовой информации (www.pravo.gov.ru) (от 08.12.2016 г. Номер опубликования: 0001201612080029)
| | Нормативные ссылки: | |
                                                                         
|