Скачать РД 95 762-91 Метрологическая экспертиза конструкторской и технологической документацииДата актуализации: 01.01.2021
|
| Обозначение: | РД 95 762-91 |
| Обозначение англ: | RD 95 762-91 |
| Статус: | действует |
| Название рус.: | Метрологическая экспертиза конструкторской и технологической документации |
| Дата добавления в базу: | 01.02.2017 |
| Дата актуализации: | 01.01.2021 |
| Дата введения: | 01.10.1991 |
| Область применения: | Документ устанавливает организацию, порядок проведения и содержание работ по метрологической экспертизе технических заданий, отчетов по научно-исследовательским и опытно-конструкторским работам, конструкторской и технологической документации и изделий общей техники |
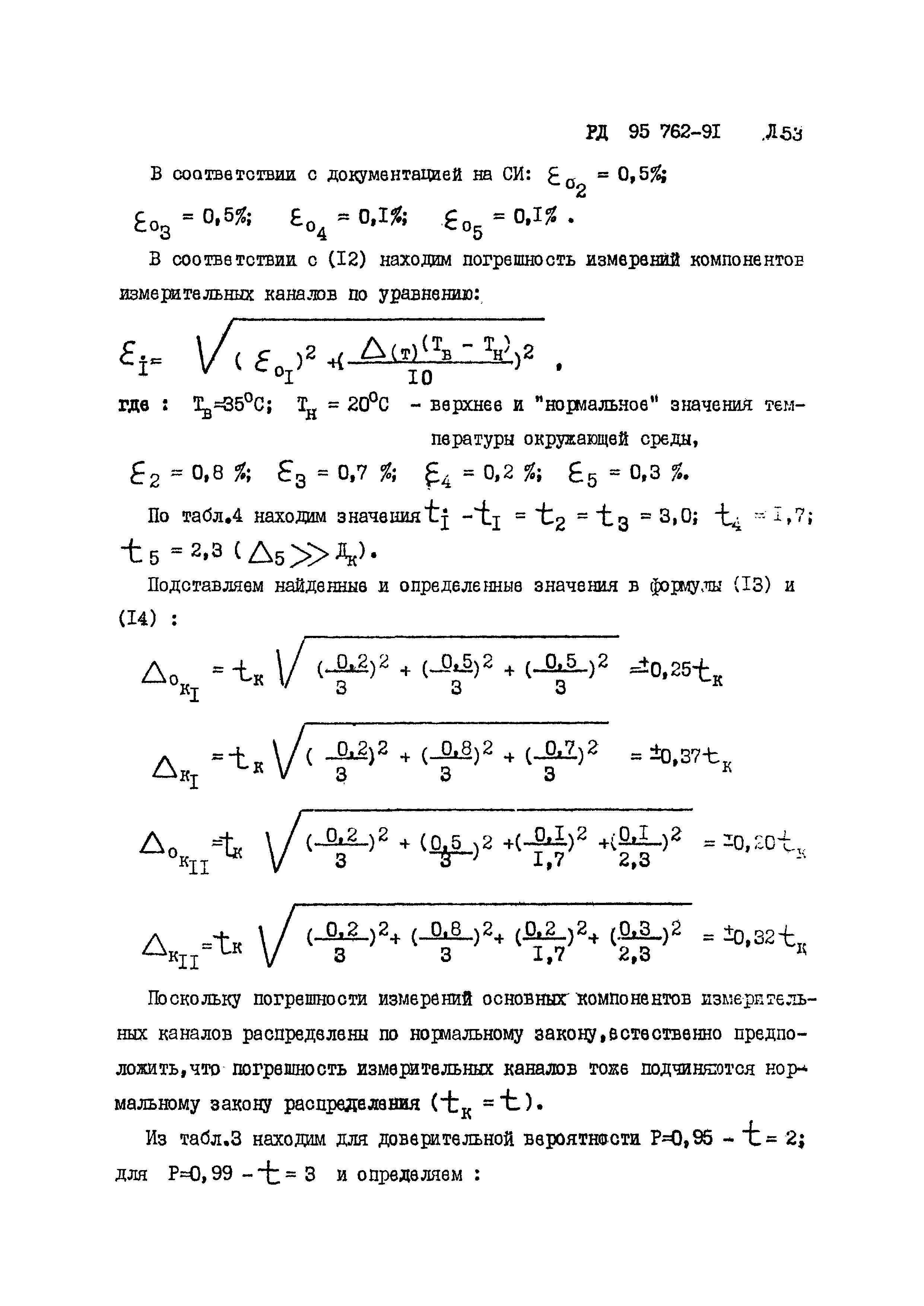
| Оглавление: | 1 Общие положения 2 Виды документации, подлежащей метрологической экспертизе 3 Подразделения и лица, проводящие метрологическую экспертизу 4 Планирование работ по метрологической экспертизе 5 Порядок предъявления и рассмотрения документации 6 Оформление результатов метрологической экспертизы 7 Реализация замечаний и предложений метрологической экспертизы 8 Содержание метрологической экспертизы технического задания и конструкторской документации 9 Задачи и содержание метрологической экспертизы технологической документации 10 Задачи и содержание метрологической экспертизы изделия 11 Основные обязанности и права метролога по проведению метрологической экспертизы 12 Способы реализации задач метрологической экспертизы Приложение 1. Перечень нормативно—технических документов, используемых при проведении метрологической экспертизы Приложение 2. Примеры проведения метрологической экспертизы документации Информационные данные |
| Утверждён: | 08.05.1991 Министерство атомной энергетики и промышленности СССР (Ministry of Atomic Energy and Industry 233) |
| Заменяет собой: |
|
| Нормативные ссылки: |
|





























































