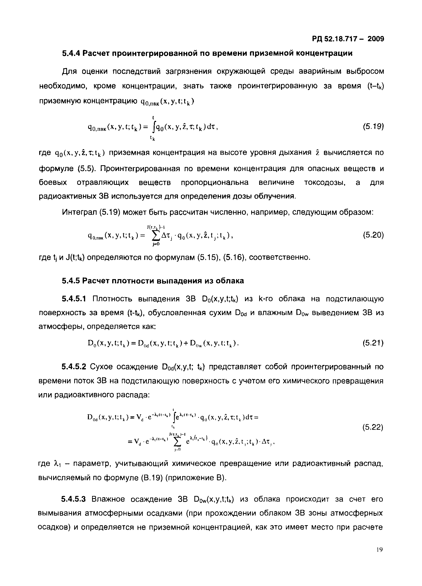
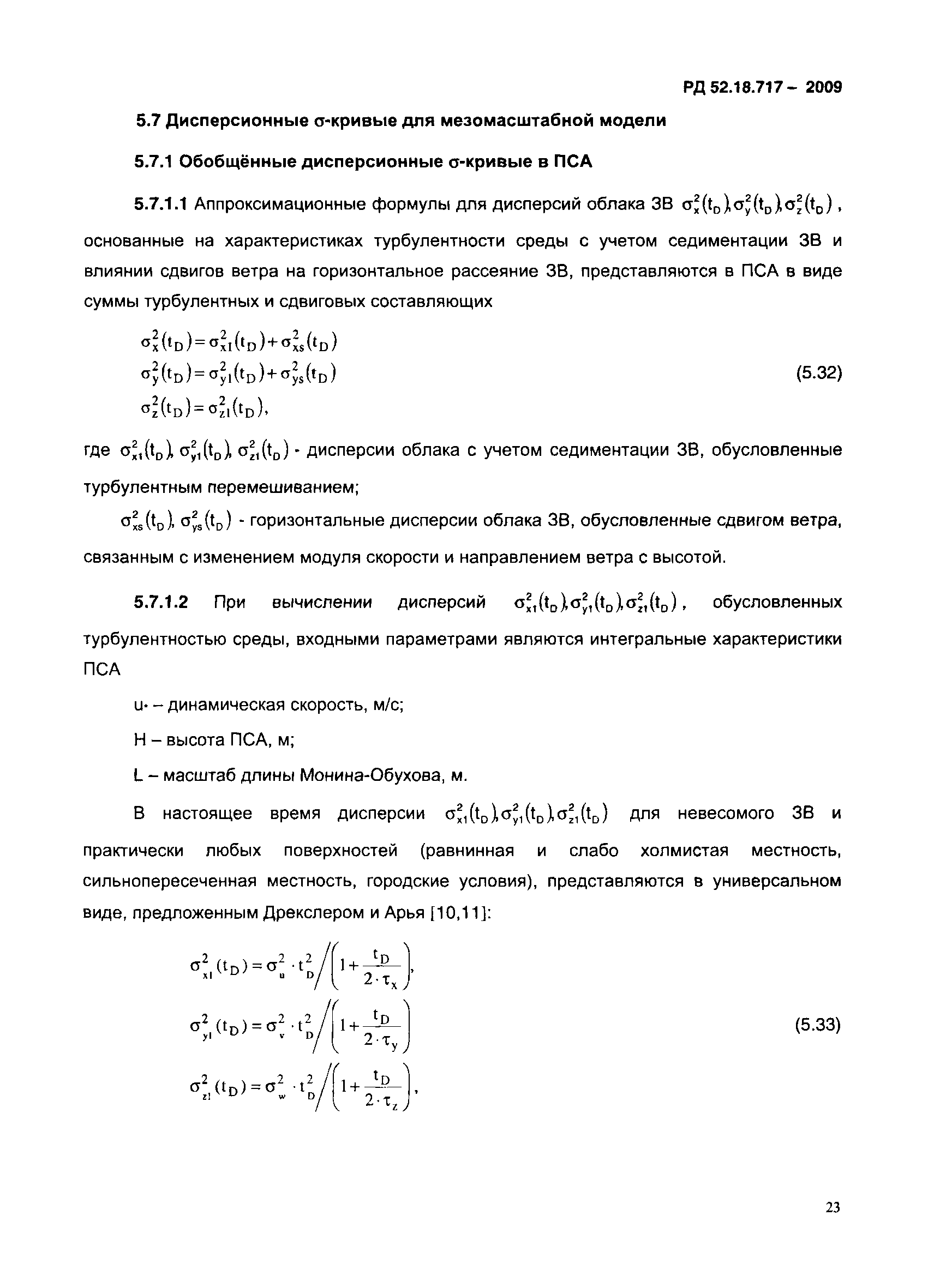
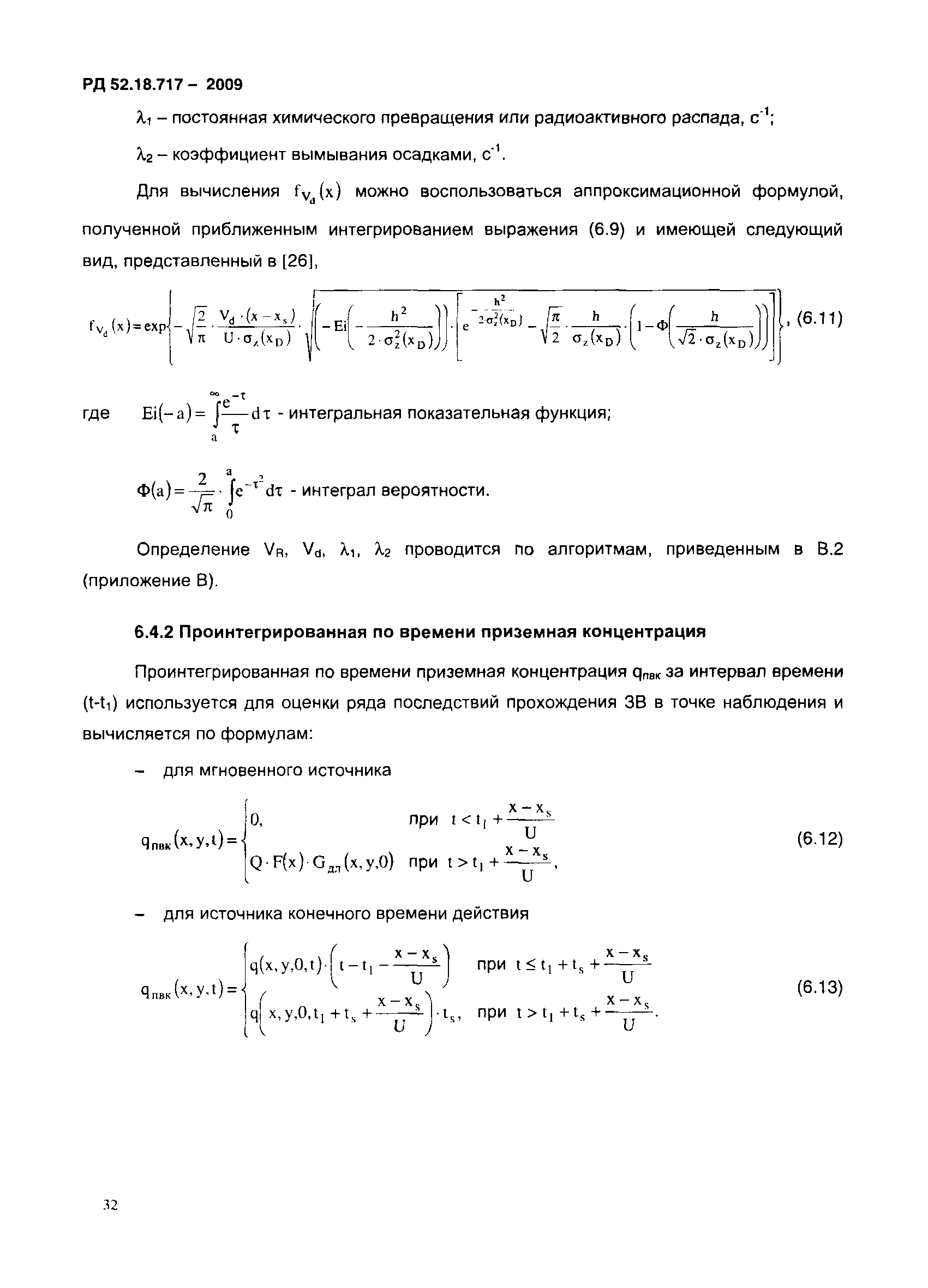
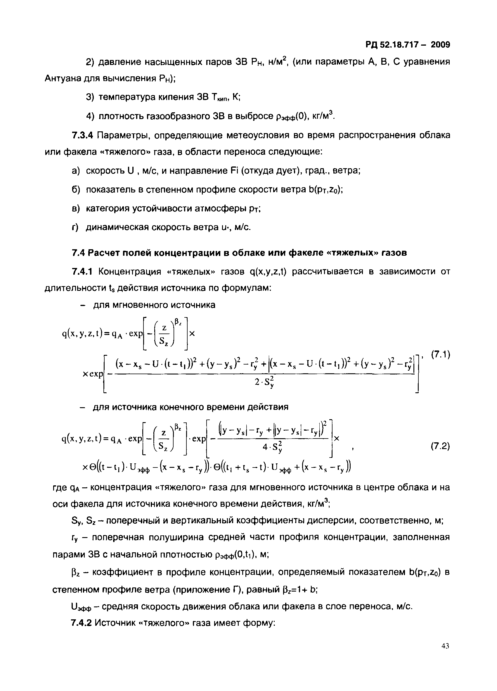
Скачать РД 52.18.717-2009 Методика расчета рассеяния загрязняющих веществ в атмосфере при аварийных выбросахДата актуализации: 01.01.2021
|
| Обозначение: | РД 52.18.717-2009 |
| Обозначение англ: | RD 52.18.717-2009 |
| Статус: | введен впервые |
| Название рус.: | Методика расчета рассеяния загрязняющих веществ в атмосфере при аварийных выбросах |
| Дата добавления в базу: | 01.02.2017 |
| Дата актуализации: | 01.01.2021 |
| Дата введения: | 01.12.2009 |
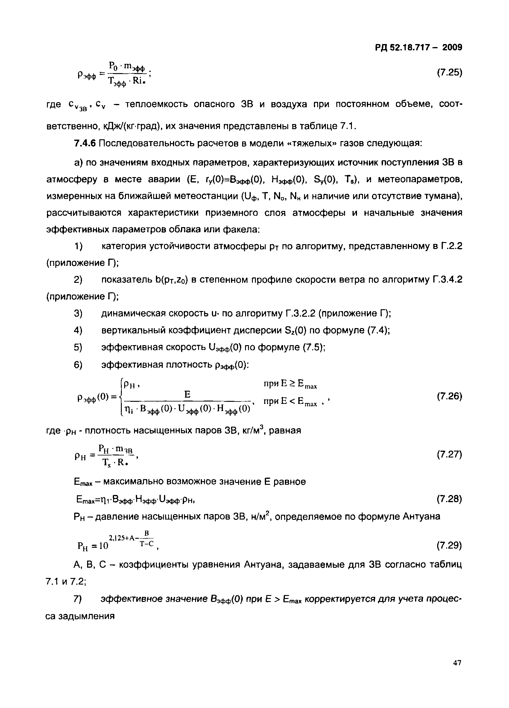
| Область применения: | Руководящий документ устанавливает порядок расчета рассеяния химических и радиоактивных загрязняющих веществ в атмосфере при аварийных выбросах на потенциально-опасных объектах и применяются для вычисления: а) траекторий переноса загрязняющих веществ; б) концентрации загрязняющих веществ; в) проинтегрированной по времени концентрации загрязняющих веществ; г) плотности выпадения загрязняющих веществ на подстилающую поверхность земли. Руководящий документ предназначен для расчета рассеяния загрязняющих веществ в атмосфере при аварийных выбросах загрязняющих веществ по мезомасштабной, локальной моделях и по модели "тяжелых" газов. |
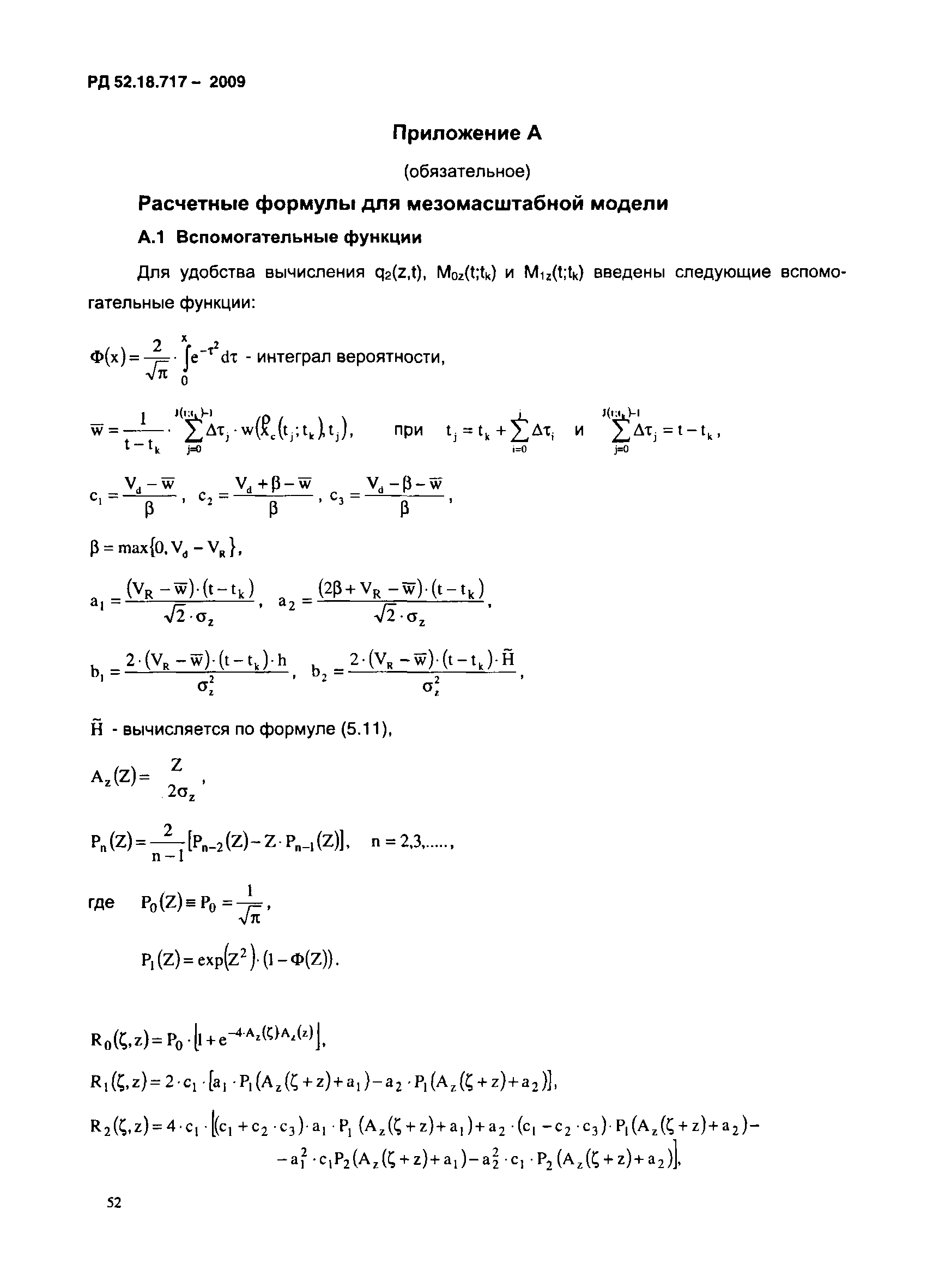
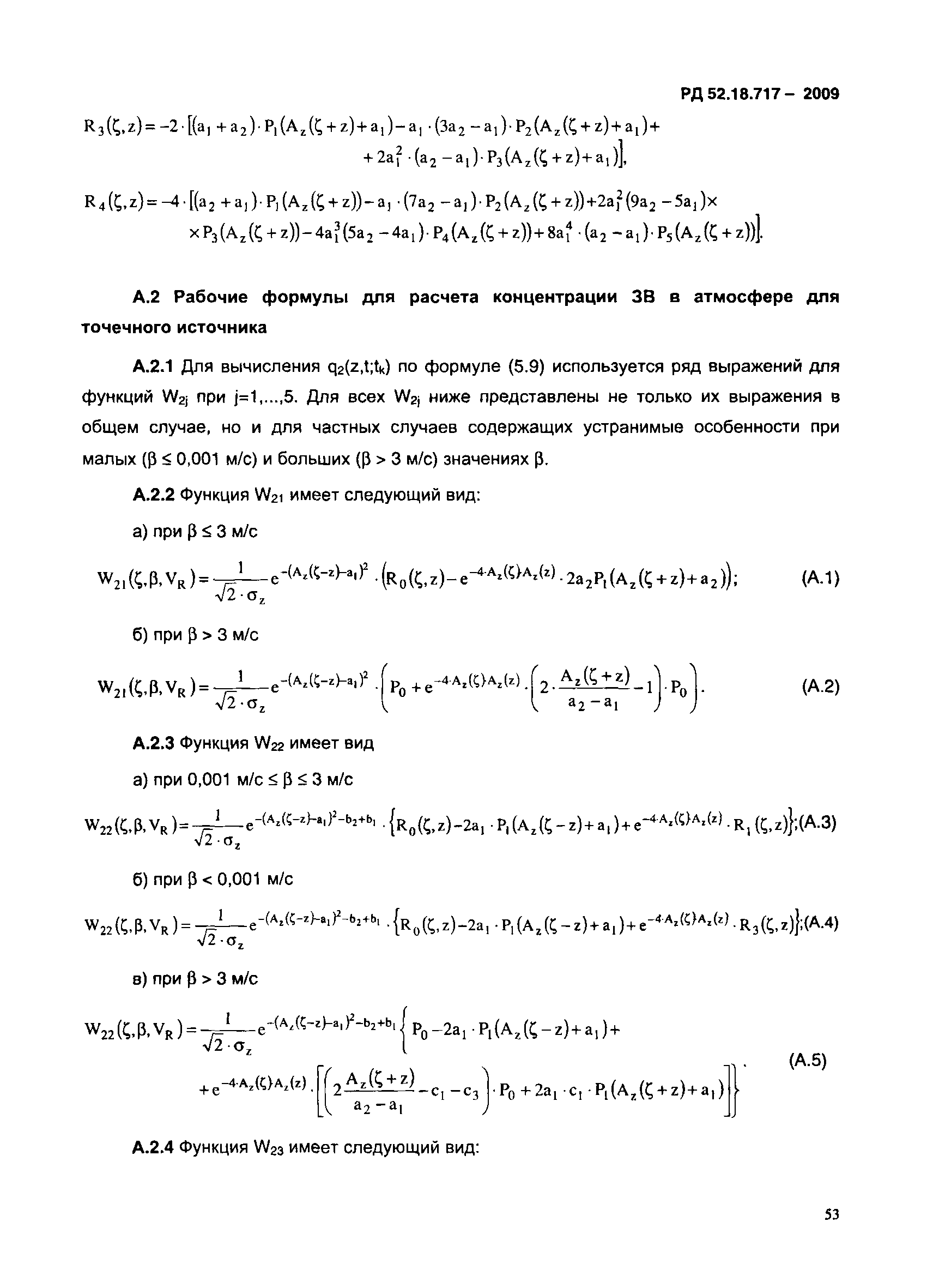
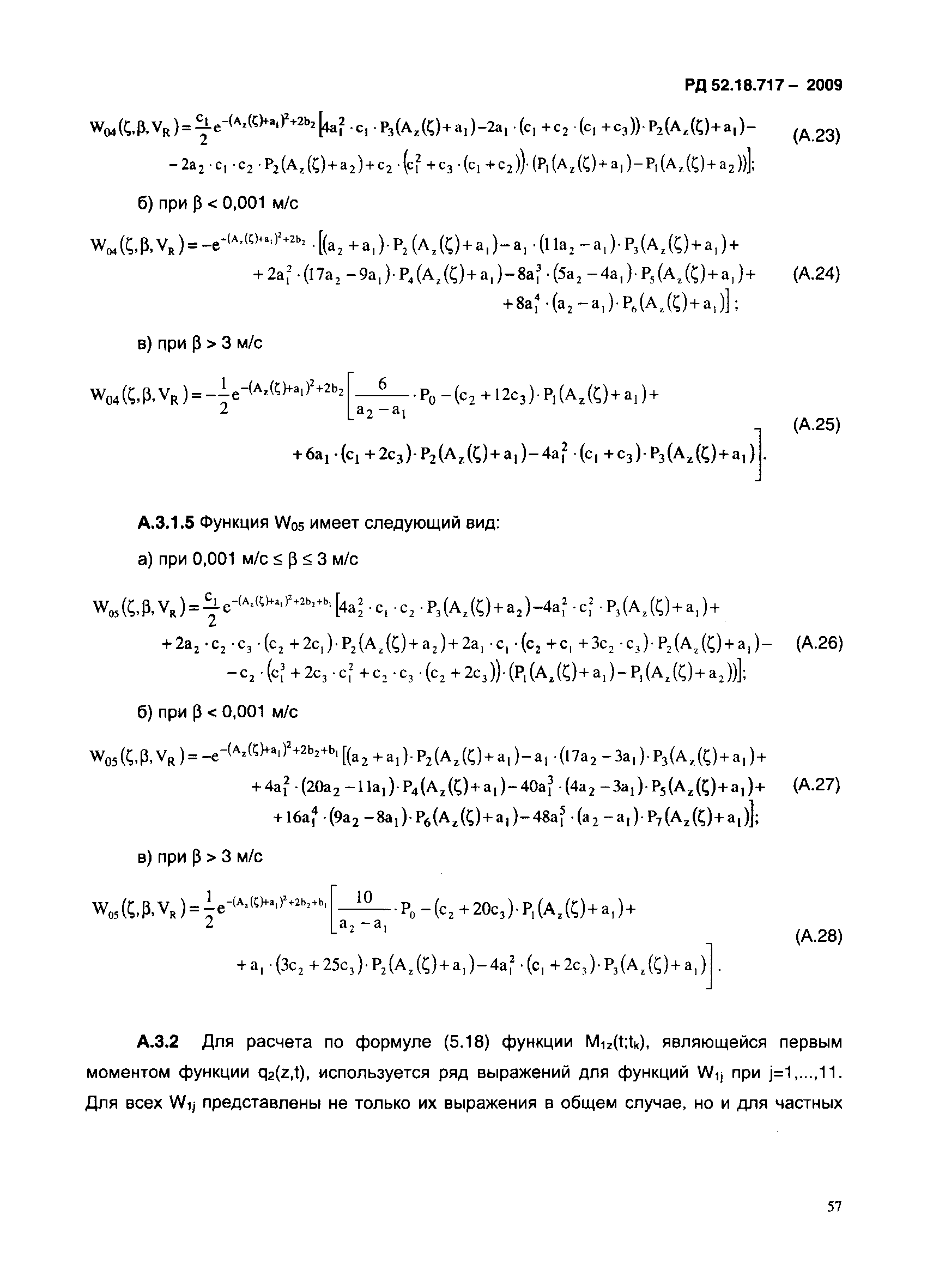
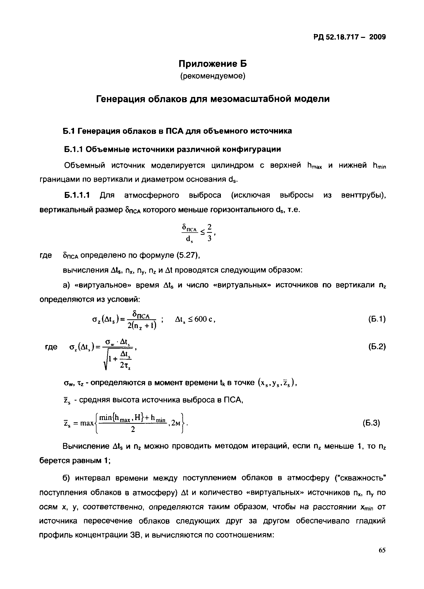
| Оглавление: | 1 Область применения 2 Нормативные ссылки 3 Термины и определения 4 Обозначения 5 Порядок расчета по мезомасштабной модели 5.1 Общие положения модели 5.2 Основные положения метода расчета 5.3 Входная информация 5.4 Определение концентрации и плотности выпадений загрязняющих веществ для точечного источника конечного времени действия 5.4.1 Способ моделирования источника 5.4.2 Расчет концентрации загрязняющих веществ в облаке 5.4.3 Определение траектории центра тяжести облака 5.4.4 Расчет проинтегрированной по времени приземной концентрации 5.4.5 Расчет плотности выпадения из облака 5.5 Учет начальных размеров источника 5.5.1 Метод виртуального» источника 5.5.2 Параметры виртуальных источников 5.6 Выбор величины адвективного шага 5.7 дисперсионные сигма-кривые для мезомасштабной модели 5.7.1 Обобщённые дисперсионные сигма-кривые в пограничного слоя атмосферы 5.7.2 Обобщённые дисперсионные сигма-кривые в СА 6 Порядок расчета по локальной модели 6.1 Общие положения модели 6.2 Основные положения метода расчета 6.3 Входная информация 6.4 Расчеты полей концентрации и плотности выпадения из факела и облака загрязняющих веществ при наличии ветра 6.4.1 Вычисления концентрации загрязняющих веществ в атмосфере 6.4.2 Проинтегрированная по времени приземная концентрация 6.4.3 Плотность выпадения загрязняющих веществ 6.5 Расчет приземной концентрации и плотности выпадения загрязняющих веществ в условиях слабого ветра и штиля 6.5.1 Особенности рассеяния загрязняющих веществ при слабом ветре и штиле 6.5.2 Расчет приземной концентрации в условиях слабого ветра и штиля 6.5.3 Проинтегрированная по времени приземная концентрация 6.5.4 Плотность выпадения загрязняющих веществ 6.6 Горизонтальные и вертикальные дисперсии облака загрязняющих веществ 6.7 Учет начальных размеров источника 7 Порядок расчета по модели "тяжелых" газов 7.1 Общие положения модели 7.2 Общие положения метода расчета 7.3 Входная информация 7.4 Расчет полей концентрации в облаке или факеле "тяжелых" газов 8 Определение вероятности превышения концентрацией порогового уровня Приложение А (обязательное) Расчетные формулы для мезомасштабной модели Приложение Б (рекомендуемое) Генерация облаков для мезомасштабной модели Приложение В (обязательное) Определение параметров загрязняющих веществ Приложение Г (рекомендуемое) Оценка параметров пограничного слоя атмосферы Приложение Д (обязательное) Расчет штилевого фактора разбавления в Гауссовых моделях Приложение Е (рекомендуемое) Определение параметров виртуальных источников для Гауссовых моделей Библиография |
| Разработан: | ГУ НПО Тайфун |
| Утверждён: | 30.07.2009 Росгидромет (Rosgidromet ) |
| Принят: | УМЗА Росгидромета |
| Издан: | ООО Принт-сервис (2009 г. ) |
| Нормативные ссылки: |
|
























































































































