Скачать ГОСТ Р ИСО 17090-4-2016 Информатизация здоровья. Инфраструктура с открытым ключом. Часть 4. Электронные подписи медицинских документовДата актуализации: 01.01.2021
|
| Обозначение: | ГОСТ Р ИСО 17090-4-2016 |
| Обозначение англ: | GOST R ISO 17090-4-2016 |
| Статус: | введен впервые |
| Название рус.: | Информатизация здоровья. Инфраструктура с открытым ключом. Часть 4. Электронные подписи медицинских документов |
| Название англ.: | Health informatics. Public key infrastructure. Part 4. Digital signatures for healthcare documents |
| Дата добавления в базу: | 05.05.2017 |
| Дата актуализации: | 01.01.2021 |
| Дата введения: | 01.01.2018 |
| Область применения: | В стандарте приведены минимальные требования к созданию и проверке электронных подписей и соответствующих сертификатов, а также к их форматам, способствующие обеспечению возможности обмена электронными подписями и предотвращения некорректных или юридически не признаваемых электронных подписей. Кроме того, в стандарте определено доказываемое соответствие политике ИОК, необходимое в сфере здравоохранения. В стандарте признаются форматы долговременной электронной подписи, обеспечивающие целостность и неоспоримость длительно хранящейся электронной медицинской информации. В целях улучшения и гарантирования интероперабельности в сфере здравоохранения настоящий стандарт соответствует стандартам ISO/ETSI, определяющим форматы долговременной электронной подписи. Никакие ограничения на субъект подписываемых данных и их формат в стандарте не накладываются. |
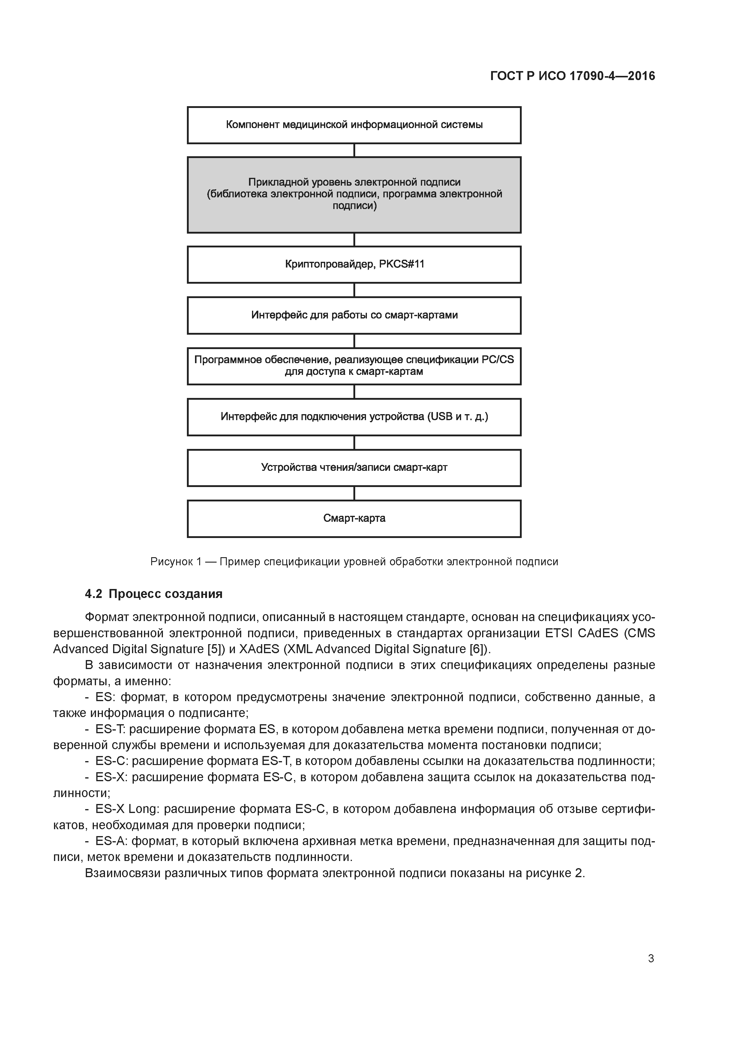
| Оглавление: | 1 Область применения 2 Нормативные ссылки 3 Термины и определения 4 Прикладные системы 4.1 Целевая система 4.2 Процесс создания 4.3 Процесс проверки 4.4 Спецификация CAdES 4.5 Спецификация XAdES Приложение А (справочное) Целевые сценарии Приложение ДА (справочное) Сведения о соответствии ссылочных международных стандартов национальным стандартам Библиография |
| Разработан: | ООО Корпоративные электронные системы ФГБУ ЦНИИОИЗ Минздрава |
| Утверждён: | 29.12.2016 Федеральное агентство по техническому регулированию и метрологии (2104-ст) |
| Издан: | Стандартинформ (2017 г. ) Стандартинформ (2018 г. ) |
| Нормативные ссылки: |
|


























