Скачать Административный регламент Федеральной службы по экологическому, технологическому и атомному надзору по предоставлению государственной услуги по представлению сведений из Российского регистра гидротехнических сооруженийДата актуализации: 01.01.2021 |
| Статус: | действует |
| Название рус.: | Административный регламент Федеральной службы по экологическому, технологическому и атомному надзору по предоставлению государственной услуги по представлению сведений из Российского регистра гидротехнических сооружений |
| Дата добавления в базу: | 01.02.2017 |
| Дата актуализации: | 01.01.2021 |
| Дата введения: | 09.01.2017 |
| Область применения: | Административный регламент Федеральной службы по экологическому, технологическому и атомному надзору по предоставлению государственной услуги по представлению сведений из Российского регистра гидротехнических сооружений регулирует порядок предоставления государственной услуги по представлению сведений из Российского регистра гидротехнических сооружений, определяет порядок, сроки и последовательность административных процедур (действий) по предоставлению государственной услуги по представлению сведений о гидротехнических сооружениях из Российского регистра ГТС |
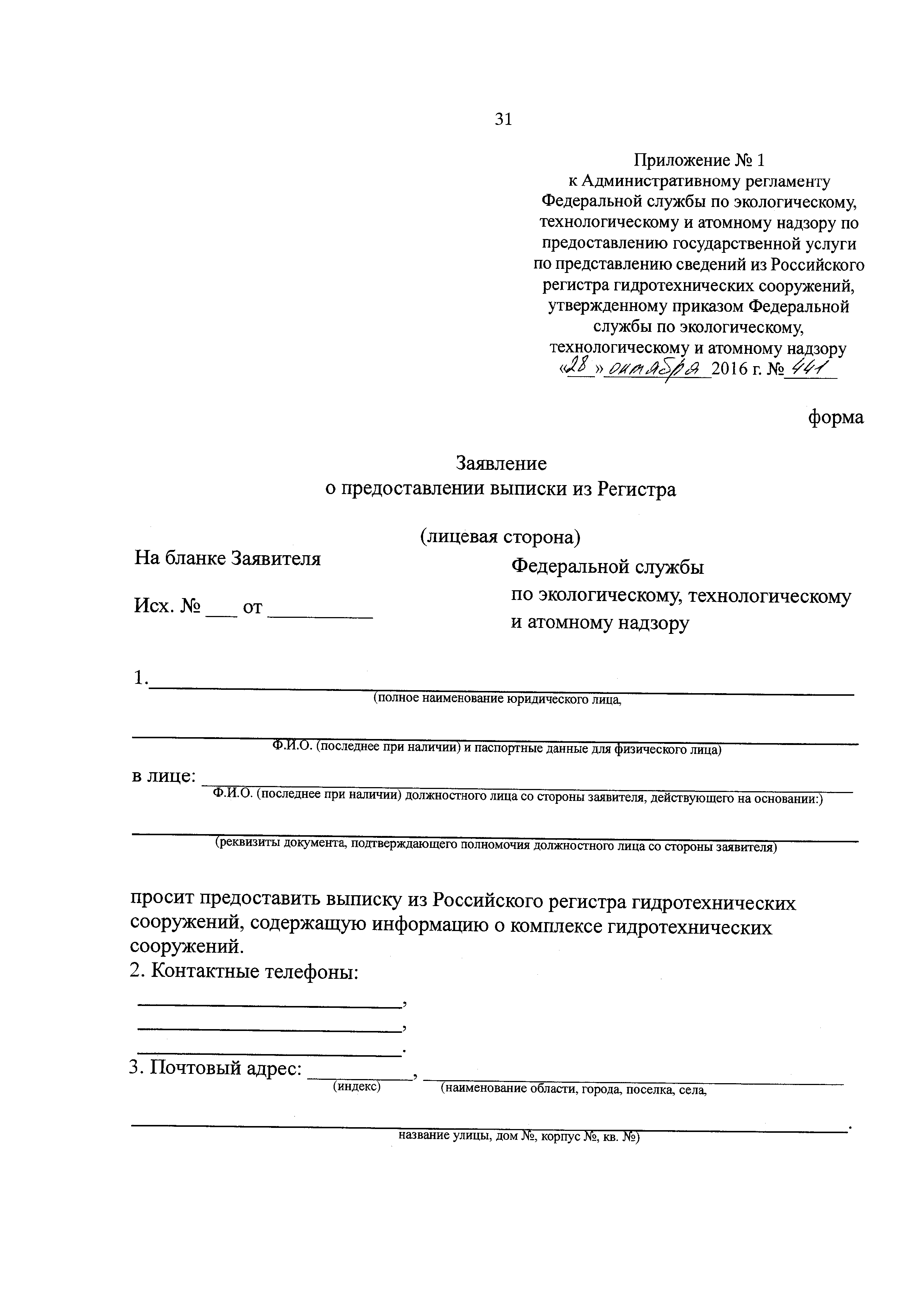
| Оглавление: | I. Общие положения II. Стандарт предоставления государственной услуги III. Состав, последовательность и сроки выполнения процедур, требования к порядку их выполнения, в том числе особенности выполнения административных процедур IV. Формы контроля за предоставлением государственной услуги V. Досудебный (внесудебный) порядок обжалования решений и действий (бездействия) органа, предоставляющего государственную услугу, а также его должностных лиц, государственных служащих Приложение № 1. Заявление о предоставлении выписки из Регистра Приложение № 2. Выписка из Российского регистра гидротехнических сооружений Приложение № 3. Блок-схема предоставления государственной услуги по предоставлению сведений из Российского регистра гидротехнических сооружений Приложение № 4. Журнал учета предоставления выписок из Российского регистра гидротехнических сооружений |
| Утверждён: | 28.10.2016 Федеральная служба по экологическому, технологическому и атомному надзору (441) |
| Издан: | Официальный интернет-портал правовой информации (www.pravo.gov.ru) (от 29.12.2016 г. Номер опубликования: 0001201612290109) |
| Нормативные ссылки: |
|




































