Скачать Федеральная целевая программа Снижение рисков и смягчение последствий чрезвычайных ситуаций природного и техногенного характера в Российской Федерации до 2015 годаДата актуализации: 01.01.2021 |
| Статус: | действует |
| Название рус.: | Федеральная целевая программа "Снижение рисков и смягчение последствий чрезвычайных ситуаций природного и техногенного характера в Российской Федерации до 2015 года" |
| Дата добавления в базу: | 05.05.2017 |
| Дата актуализации: | 01.01.2021 |
| Дата введения: | 02.08.2011 |
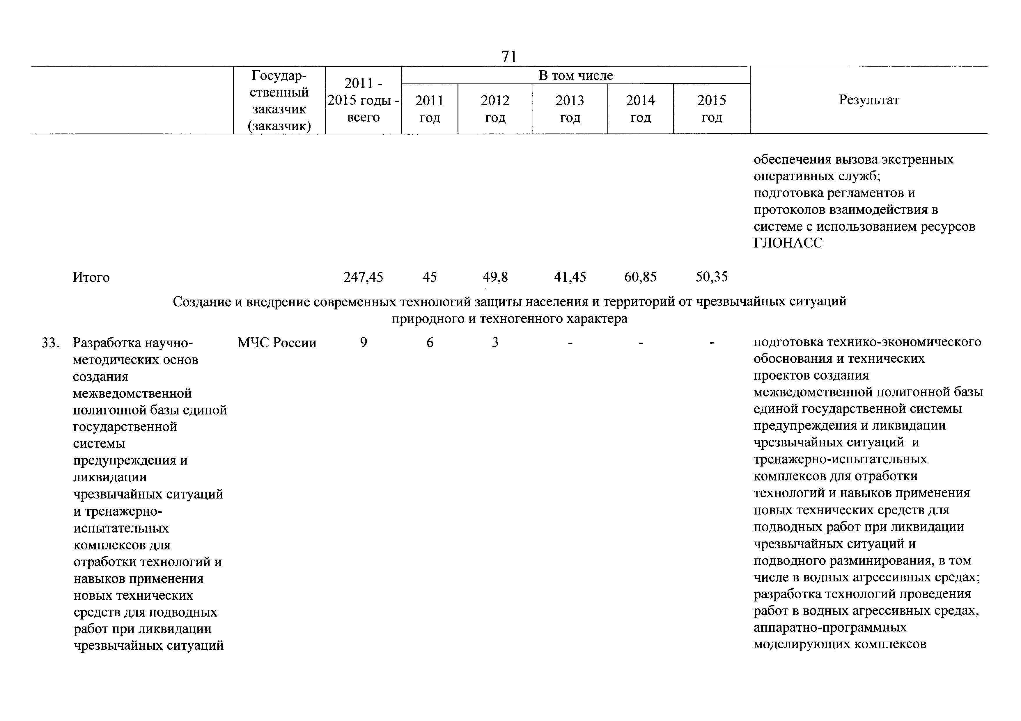
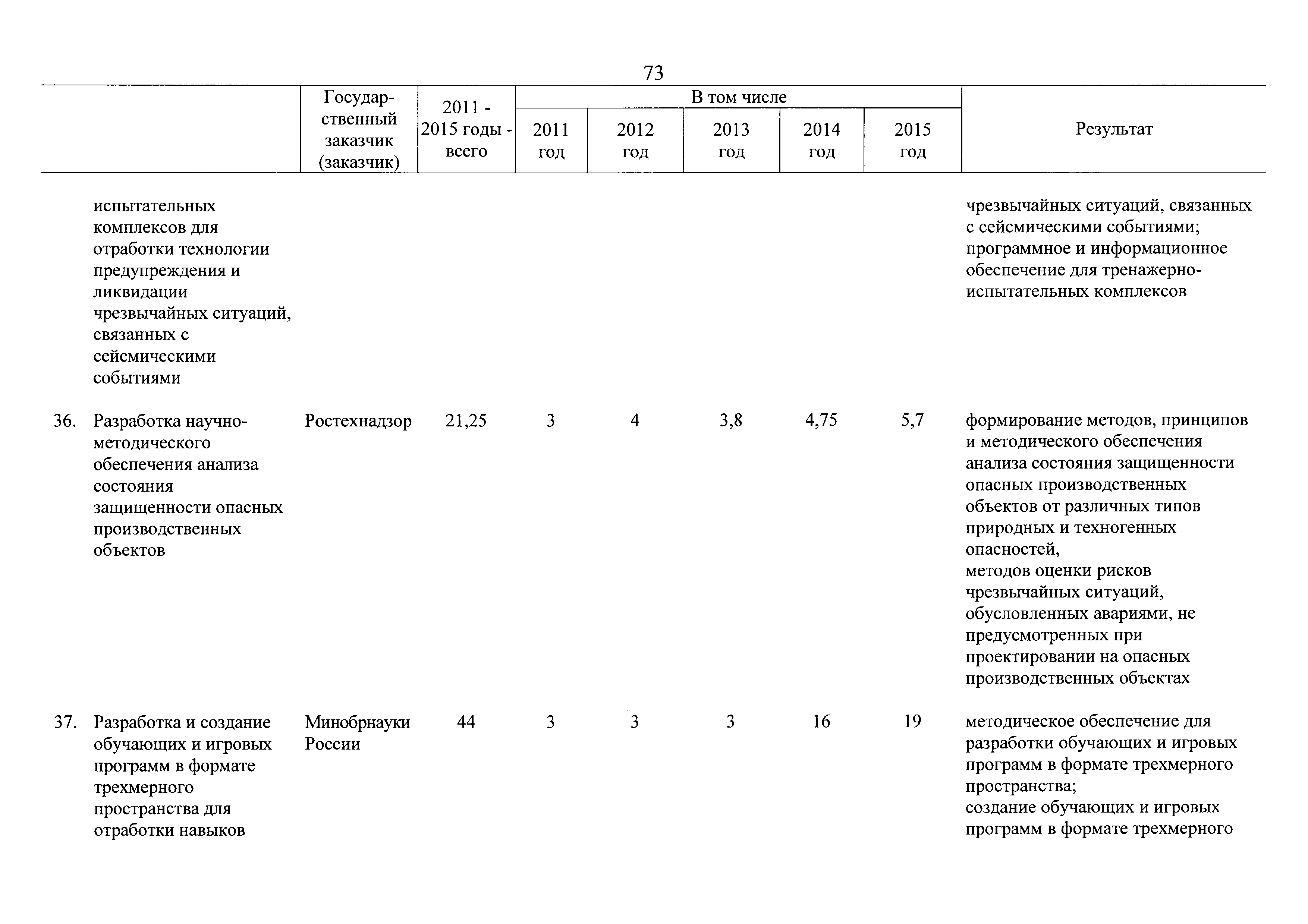
| Оглавление: | Паспорт федеральной целевой программы "Снижение рисков и смягчение последствий чрезвычайных ситуаций природного и техногенного характера в Российской Федерации до 2015 года" I. Характеристика проблемы, на решение которой направлена Программа II. Основные цели и задачи Программы с указанием сроков и этапов ее реализации, а также целевые индикаторы и показатели, отражающие ход ее выполнения III. Мероприятия Программы IV. Обоснование ресурсного обеспечения Программы V. Механизм реализации Программы, включающий в себя механизм управления ее выполнением, распределение сфер ответственности и механизм взаимодействия государственных заказчиков Программы VI. Оценка социально-экономической и экологической эффективности Программы Приложение № 1. Целевые индикаторы и показатели эффективности реализации федеральной целевой программы "Снижение рисков и смягчение последствий чрезвычайных ситуаций природного и техногенного характера в Российской Федерации до 2015 года" Приложение № 2. Мероприятия федеральной целевой программы "Снижение рисков и смягчение последствий чрезвычайных ситуаций природного и техногенного характера в Российской Федерации до 2015 года", осуществляемые за счет средств федерального бюджета Приложение № 3. Мероприятия федеральной целевой программы "Снижение рисков и смягчение последствий чрезвычайных ситуаций природного и техногенного характера в Российской Федерации до 2015 года", осуществляемые за счет средств федерального бюджета по направлениям финансирования Приложение № 4. Объемы финансирования федеральной целевой программы "Снижение рисков и смягчение последствий чрезвычайных ситуаций природного и техногенного характера в Российской Федерации до 2015 года" за счет средств федерального бюджета и бюджетов субъектов Российской Федерации Приложение № 5. Объемы финансирования федеральной целевой программы "Снижение рисков и смягчение последствий чрезвычайных ситуаций природного и техногенного характера в Российской Федерации до 2015 года" за счет средств федерального бюджета Приложение № 6. Объемы финансирования федеральной целевой программы "Снижение рисков и смягчение последствий чрезвычайных ситуаций природного и техногенного характера в Российской Федерации до 2015 года" за счет средств бюджетов субъектов Российской Федерации Приложение № 7. Методика детализации укрупненных инвестиционных проектов, реализуемых в рамках федеральной целевой программы "Снижение рисков и смягчение последствий чрезвычайных ситуаций природного и техногенного характера в Российской Федерации до 2015 года" I. Общие положения II. Порядок детализации проектов Программы Приложение № 1. Показатели, рекомендуемые для оценки качественных критериев, характеризующих мероприятия по развитию инфраструктуры по защите населения и территорий от угроз чрезвычайных ситуаций природного и техногенного характера Приложение № 2. Показатели, рекомендуемые для оценки количественных критериев, характеризующих мероприятия по развитию инфраструктуры по защите населения и территорий от угроз чрезвычайных ситуаций природного и техногенного характера Приложение № 8. Перечень строек и объектов для федеральных государственных нужд, финансируемых за счет государственных капитальных вложений, предусмотренных Российской академии наук на реализацию федеральной целевой программы "Снижение рисков и смягчение последствий чрезвычайных ситуаций природного и техногенного характера в Российской Федерации до 2015 года" Приложение № 9. Методика оценки эффективности реализации федеральной целевой программы "Снижение рисков и смягчение последствий чрезвычайных ситуаций природного и техногенного характера в Российской Федерации до 2015 года" Приложение. Основные показатели эффективности реализации Программы и методика их расчета Приложение № 10. Распределение средств между государственными заказчиками (заказчиками) федеральной целевой программы "Снижение рисков и смягчение последствий чрезвычайных ситуаций природного и техногенного характера в Российской Федерации до 2015 года" |
| Утверждён: | 07.07.2011 Правительство Российской Федерации (555) |
| Издан: | Собрание законодательства Российской Федерации (от 25.07.2011 г. № 30 (часть II), ст. 4633) |
| Список изменений: |
|
| Нормативные ссылки: |




























































































Текстовое изменение № 1 от 14.02.2012





Текстовое изменение № 2 от 17.10.2013



































































































































Текстовое изменение № 3 от 05.09.2014






Текстовое изменение № 4 от 07.01.2015

































































































































Текстовое изменение № 5 от 06.05.2015






























































































































