Скачать ГОСТ Р 57400-2017 Клеи и герметики силиконовые. КлассификацияДата актуализации: 01.01.2021
|
| Обозначение: | ГОСТ Р 57400-2017 |
| Обозначение англ: | GOST R 57400-2017 |
| Статус: | введен впервые |
| Название рус.: | Клеи и герметики силиконовые. Классификация |
| Название англ.: | Silicone adhesives and sealants. Classification |
| Дата добавления в базу: | 05.05.2017 |
| Дата актуализации: | 01.01.2021 |
| Дата введения: | 01.01.2018 |
| Область применения: | Стандарт устанавливает классификацию силиконовых клеев и герметиков, в том числе предназначенных для герметизации и скрепления металлических и неметаллических сборочных узлов, используемых в транспортных средствах. Материалы вулканизуются до эластомерного состояния с использованием соответствующей вулканизующей системы и механизма вулканизации. |
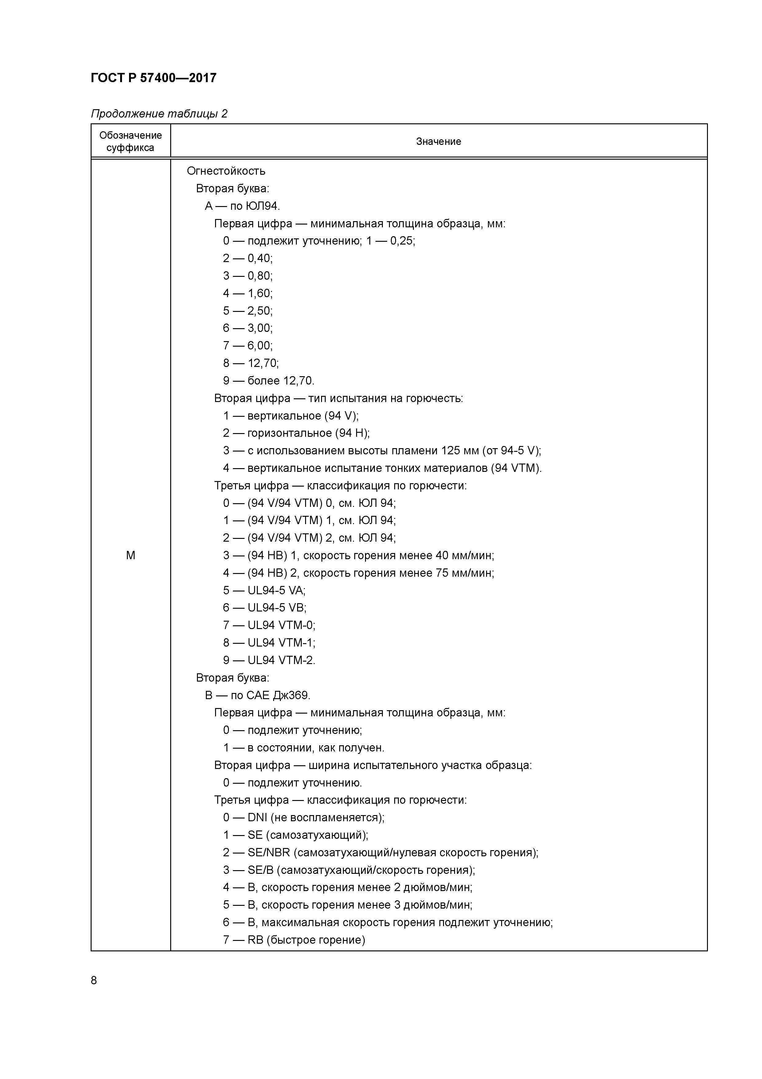
| Оглавление: | 1 Область применения 2 Нормативные ссылки 3 Термины и определения 4 Назначение и применение 5 Классификация 6 Линейное обозначение 7 Общие требования 8 Методы испытаний 9 Отбор образцов 10 Приготовление образцов 11 Кондиционирование 12 Суффиксы Приложение ДА (справочное) Сведения о соответствии ссылочных стандартов национальным и межгосударственным стандартам |
| Разработан: | ФГУП ВНИИ СМТ |
| Утверждён: | 28.02.2017 Федеральное агентство по техническому регулированию и метрологии (85-ст) |
| Издан: | Стандартинформ (2017 г. ) |
| Нормативные ссылки: |

















