Скачать ФЕРм 81-03-23-2001 Сборник 23. Оборудование предприятий электротехнической промышленности (редакция 2017 г.). Оборудование предприятий электротехнической промышленности. Федеральные единичные расценки на монтаж оборудованияДата актуализации: 01.01.2021
|
| Обозначение: | ФЕРм 81-03-23-2001 |
| Обозначение англ: | FERm 81-03-23-2001 |
| Статус: | не действует |
| Название рус.: | Сборник 23. Оборудование предприятий электротехнической промышленности (редакция 2017 г.). Оборудование предприятий электротехнической промышленности. Федеральные единичные расценки на монтаж оборудования |
| Дата добавления в базу: | 05.05.2017 |
| Дата актуализации: | 01.01.2021 |
| Дата введения: | 28.04.2017 |
| Дата окончания срока действия: | 31.03.2020 |
| Область применения: | Сборник предназначен для определения затрат на монтаж оборудования предприятий электротехнической промышленности. |
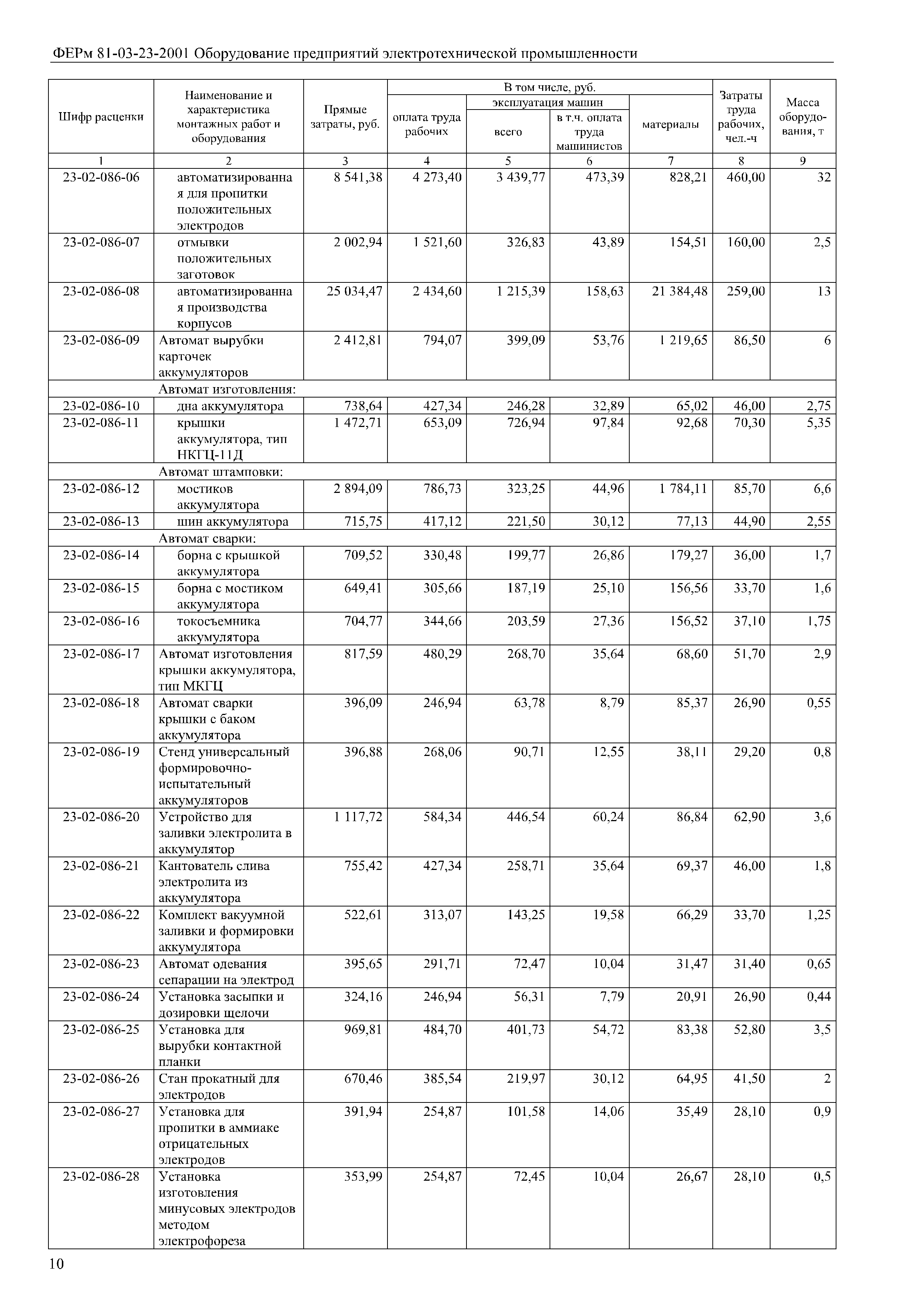
| Оглавление: | Отдел 1. Кабельное оборудование Раздел 1. Машины крутильные Раздел 2. Машины изолировочные Раздел 3. Разное оборудование Отдел 2. Оборудование для электромашиностроения Раздел 1. Оборудование заготовительное Раздел 2. Оборудование намоточное, бандажировочное, пазоизолировочное и формовочное Раздел 3. Оборудование для обработки листов ротора и статора и сборки пакетов Раздел 4. Оборудование для обработки коллекторов Раздел 5. Оборудование для опрессовки статорных и якорных секции Раздел 6. Линии автоматические и механизированные Раздел 7. Оборудование для производства химических источников тока Раздел 8. Оборудование для испытании Раздел 9. Оборудование для окраски изделий Отдел 3. Оборудование электрокерамической промышленности Раздел 1. Оборудование для производства изоляторов Отдел 4. Оборудование для производства электроизоляционных материалов Раздел 1. Оборудование пропиточное и лакировальное Отдел 5. Оборудование для производства источников света Раздел 1. Оборудование сборочное для массового и серийного производства источников света Раздел 2. Оборудование для выработки стеклянных детален Раздел 3. Оборудование для производства электродов, катодов и спиралей Раздел 4. Оборудование для производства цоколей и арматуры Раздел 5. Оборудование для производства технохимических полуфабрикатов и обработки колб Раздел 6. Оборудование испытательное |
| Утверждён: | 30.12.2016 Минстрой России (Russian Federation Minstroy 1039/пр) |
| Заменяет собой: |



















