Скачать ГОСТ 34022-2016 Краны грузоподъемные. Эксплуатационные документыДата актуализации: 01.01.2021
|
| Обозначение: | ГОСТ 34022-2016 |
| Обозначение англ: | GOST 34022-2016 |
| Статус: | введен впервые |
| Название рус.: | Краны грузоподъемные. Эксплуатационные документы |
| Название англ.: | Cranes. Operational documents |
| Дата добавления в базу: | 01.01.2018 |
| Дата актуализации: | 01.01.2021 |
| Дата введения: | 01.01.2018 |
| Область применения: | Стандарт устанавливает требования к номенклатуре, содержанию и форме документов, которые должен представить изготовитель вместе с грузоподъемными кранами. |
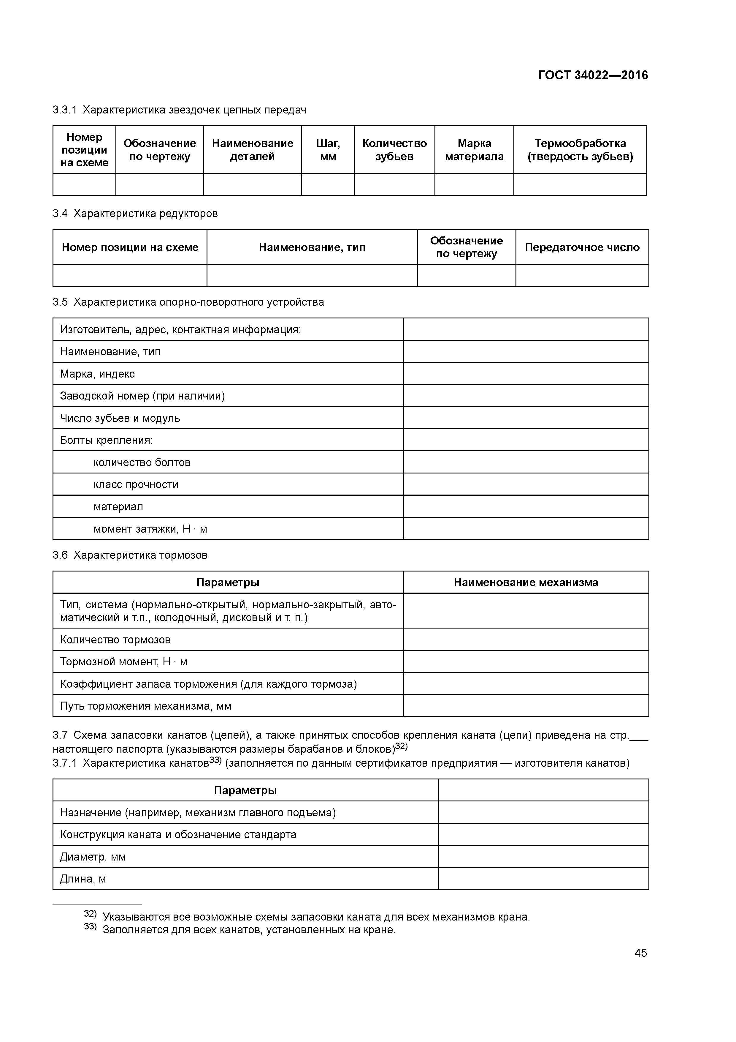
| Оглавление: | 1 Область применения 2 Нормативные ссылки 3 Термины и определения 4 Общие требования 5 Руководство по эксплуатации 6 Паспорт Приложение А (рекомендуемое) Формы паспортов оборудования |
| Разработан: | АО РАТТЕ |
| Утверждён: | 22.11.2016 Межгосударственный Совет по стандартизации, метрологии и сертификации (Inter-Governmental Council on Standardization, Metrology, and Certification 93-П) 17.03.2017 Федеральное агентство по техническому регулированию и метрологии (156-ст) |
| Издан: | Стандартинформ (2017 г. ) |
| Нормативные ссылки: |
|

















































































