Скачать ГОСТ 34019-2016 Краны грузоподъемные. Методы и процедура оценки и снижения рискаДата актуализации: 01.01.2021
|
| Обозначение: | ГОСТ 34019-2016 |
| Обозначение англ: | GOST 34019-2016 |
| Статус: | введен впервые |
| Название рус.: | Краны грузоподъемные. Методы и процедура оценки и снижения риска |
| Название англ.: | Cranes. Methods and procedures for assessment and reduction of risk |
| Дата добавления в базу: | 01.01.2018 |
| Дата актуализации: | 01.01.2021 |
| Дата введения: | 01.01.2018 |
| Область применения: | Стандарт устанавливает методы и процедуры оценки и снижения риска в процессе эксплуатации кранов. Стандарт распространяется на все виды грузоподъемных кранов в соответствии с ГОСТ 33709.1, а также на плавучие и оффшорные краны. Стандарт применим ко всем новым кранам, изготовленным после истечения одного года после его утверждения. Целью стандарта не является замена или модернизация существующей документации. |
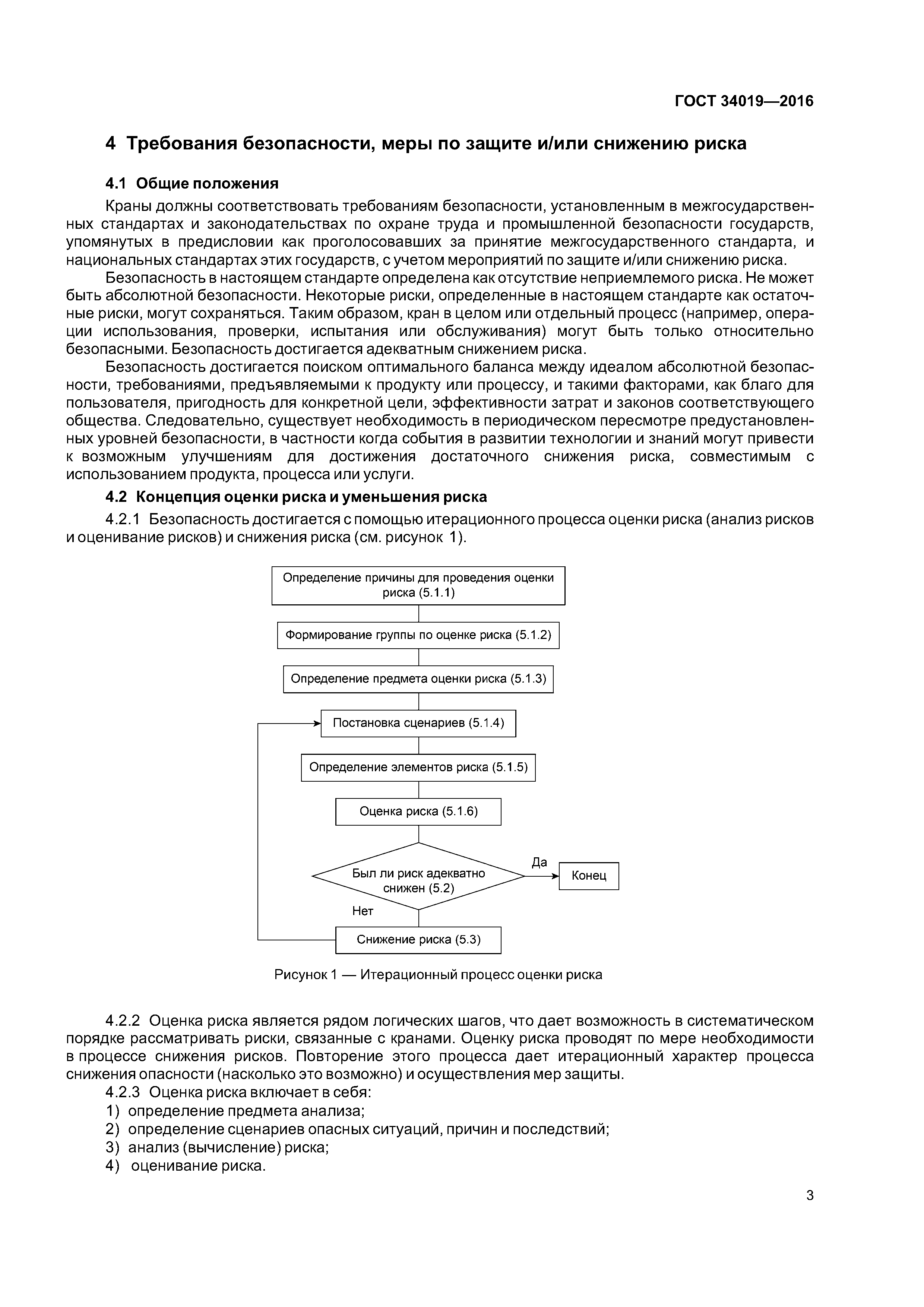
| Оглавление: | 1 Область применения 2 Нормативные ссылки 3 Термины и определения 4 Требования безопасности, меры по защите и/или снижению риска 4.1 Общие положения 4.2 Концепция оценки риска и уменьшения риска 5 Проверка требований безопасности, мер защиты/снижения риска 5.1 Процедура оценки риска 5.2 Оценка адекватности снижения риска 5.3 Снижение риска (защитные меры) 6 Документация Приложение А (рекомендуемое) Роль лидера группы (модератора) Приложение Б (обязательное) Определение элементов риска Приложение В (рекомендуемое) Перечень ссылок на виды опасностей, опасных ситуаций, причин, последствий и вреда Приложение Г (рекомендуемое) Шаблон для оценки риска Приложение Д (обязательное) Вычисление и оценивание риска |
| Разработан: | АО РАТТЕ |
| Утверждён: | 22.11.2016 Межгосударственный Совет по стандартизации, метрологии и сертификации (Inter-Governmental Council on Standardization, Metrology, and Certification 93-П) 17.03.2017 Федеральное агентство по техническому регулированию и метрологии (153-ст) |
| Издан: | Стандартинформ (2017 г. ) |
| Нормативные ссылки: |



























