Скачать ГОСТ 33984.1-2016 Лифты. Общие требования безопасности к устройству и установке. Лифты для транспортирования людей или людей и грузовДата актуализации: 01.01.2021
|
| Обозначение: | ГОСТ 33984.1-2016 |
| Обозначение англ: | GOST 33984.1-2016 |
| Статус: | введен впервые |
| Название рус.: | Лифты. Общие требования безопасности к устройству и установке. Лифты для транспортирования людей или людей и грузов |
| Название англ.: | Lifts. General safety requirements for the construction and installation. Lifts for the transport of persons and persons and goods |
| Дата добавления в базу: | 01.01.2018 |
| Дата актуализации: | 01.01.2021 |
| Дата введения: | 01.11.2018 |
| Область применения: | Стандарт устанавливает общие требования безопасности к устройству и установке в зданиях, сооружениях новых пассажирских и грузопассажирских лифтов (грузовых лифтов, в которых транспортирование грузов осуществляется в сопровождении людей) с приводом трения, приводом с барабаном или звездочкой и гидравлических лифтов. В тех случаях, когда лифты предназначены для работы в специальных условиях (обеспечение доступности для инвалидов и других маломобильных групп населения, транспортирование пожарных подразделений во время пожара, возможное преднамеренное повреждение лифтового оборудования в результате вандальных действий, при сейсмическом воздействии и т. п.) в дополнение к требованиям стандарта следует предусмотреть выполнение специальных требований, обеспечивающих безопасность, указанных в других стандартах. Стандарт не распространяется: - на лифты с приводом, отличающиеся от указанных в 1.1; - гидравлические лифты со скоростью движения более 1,0 м/с; - грузовые лифты, предназначенные для транспортирования грузов без сопровождения людьми; - лифты, устанавливаемые в шахтах горной и угольной промышленности; - лифты на судах и иных плавучих средствах; - лифты на платформах для разведки и бурения на море; - лифты на самолетах и летательных аппаратах; - лифты для строительства и технического обслуживания ветряных вышек; - театральные и тротуарные лифты; - новые пассажирские и грузопассажирские лифты, устанавливаемые в существующие здания, в которых из-за особенностей строительной части требования стандарта не могут быть выполнены полностью; - лифты на транспортных средствах; - лифты, изготовленные по ранее действующим нормативно-техническим документам (стандартам, техническим условиям и т.п.); - обеспечение безопасности при выполнении транспортирования, монтажа в здании, проведении ремонтных работ. Стандарт может быть использован в качестве нормативной базы для модернизации лифтов. Шум и вибрация в стандарте не рассматриваются в качестве опасных факторов работы лифта. Стандарт может быть использован на добровольной основе для соблюдения общих требований безопасности. |
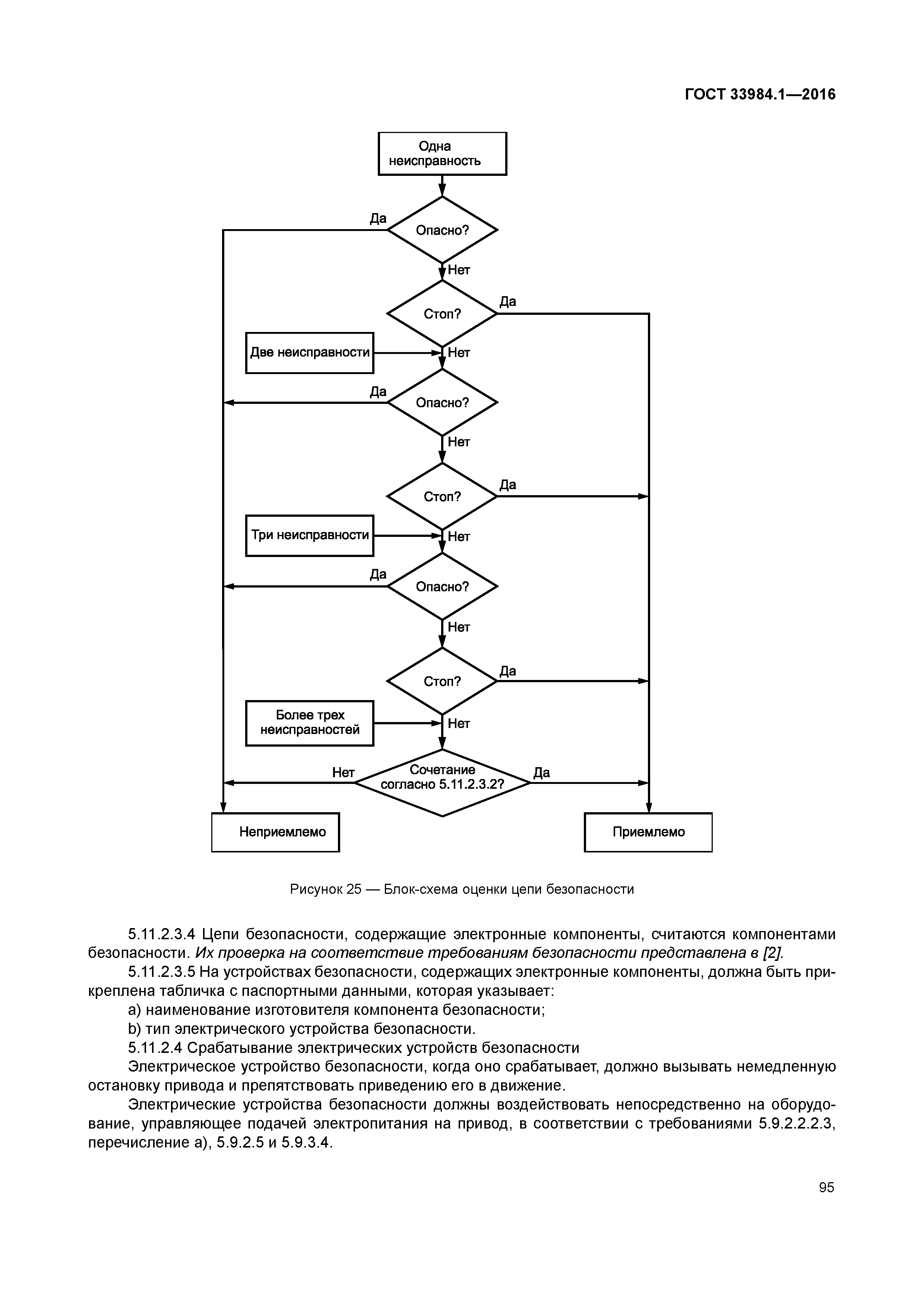
| Оглавление: | 1 Область применения 2 Нормативные ссылки 3 Термины и определения 4 Перечень существенных опасностей 5 Требования безопасности и/или защитные меры 5.1 Общие положения 5.2 Шахта, пространства для размещения машинного оборудования и места для расположения шкивов 5.3 Двери шахты и двери кабины 5.4 Кабина, противовес и уравновешивающий груз 5.5 Подвешивающие средства, компенсационные средства и соответствующие средства защиты 5.6 Устройства и меры для предотвращения свободного падения, превышения скорости, непреднамеренного передвижения кабины и сползания кабины 5.7 Направляющие 5.8 Буферы 5.9 Оборудование главного привода лифта и связанное с ним оборудование 5.10 Электрическое оборудование и устройства 5.11 Защита от электрических неисправностей; анализ неисправностей; электрические устройства безопасности 5.12 Органы управления. Концевые выключатели. Приоритеты 6 Документация Приложение А (обязательное) Перечень электрических устройств безопасности Приложение B (справочное) Схемы доступа в машинное (блочное) помещение, шахту и приямок лифта Приложение C (обязательное) Лестница для доступа в приямок Приложение D (обязательное) Требования к размерам отверстий в ограждении движущихся частей механизмов в зависимости от расстояния между ограждением и движущимися частями Приложение E (справочное) Паспорт электрического лифта Приложение F (справочное) Паспорт гидравлического лифта Приложение G (справочное) Пояснение к предварительной операции, выравниванию и повторному выравниванию Приложение ДА (справочное) Сопоставление структуры настоящего стандарта со структурой примененного в нем европейского стандарта Библиография |
| Разработан: | Ассоциация РЛО |
| Утверждён: | 22.11.2016 Межгосударственный Совет по стандартизации, метрологии и сертификации (Inter-Governmental Council on Standardization, Metrology, and Certification 93-П) 21.03.2017 Федеральное агентство по техническому регулированию и метрологии (163-ст) |
| Издан: | Стандартинформ (2017 г. ) Стандартинформ (2019 г. ) |
| Список изменений: |
|
| Нормативные ссылки: |
|












































































































































Текстовое изменение Поправка от 26.06.2018
Текстовое изменение Поправка от 14.08.2019
Текстовое изменение Поправка от 27.08.2019
Текстовое изменение Поправка от 03.12.2019