Скачать Государственная программа Российской Федерации Развитие науки и технологий на 2013 - 2020 годыДата актуализации: 01.01.2021 |
| Статус: | утратил силу |
| Название рус.: | Государственная программа Российской Федерации "Развитие науки и технологий" на 2013 - 2020 годы |
| Дата добавления в базу: | 05.05.2017 |
| Дата актуализации: | 01.01.2021 |
| Дата введения: | 02.05.2014 |
| Дата окончания срока действия: | 16.04.2019 |
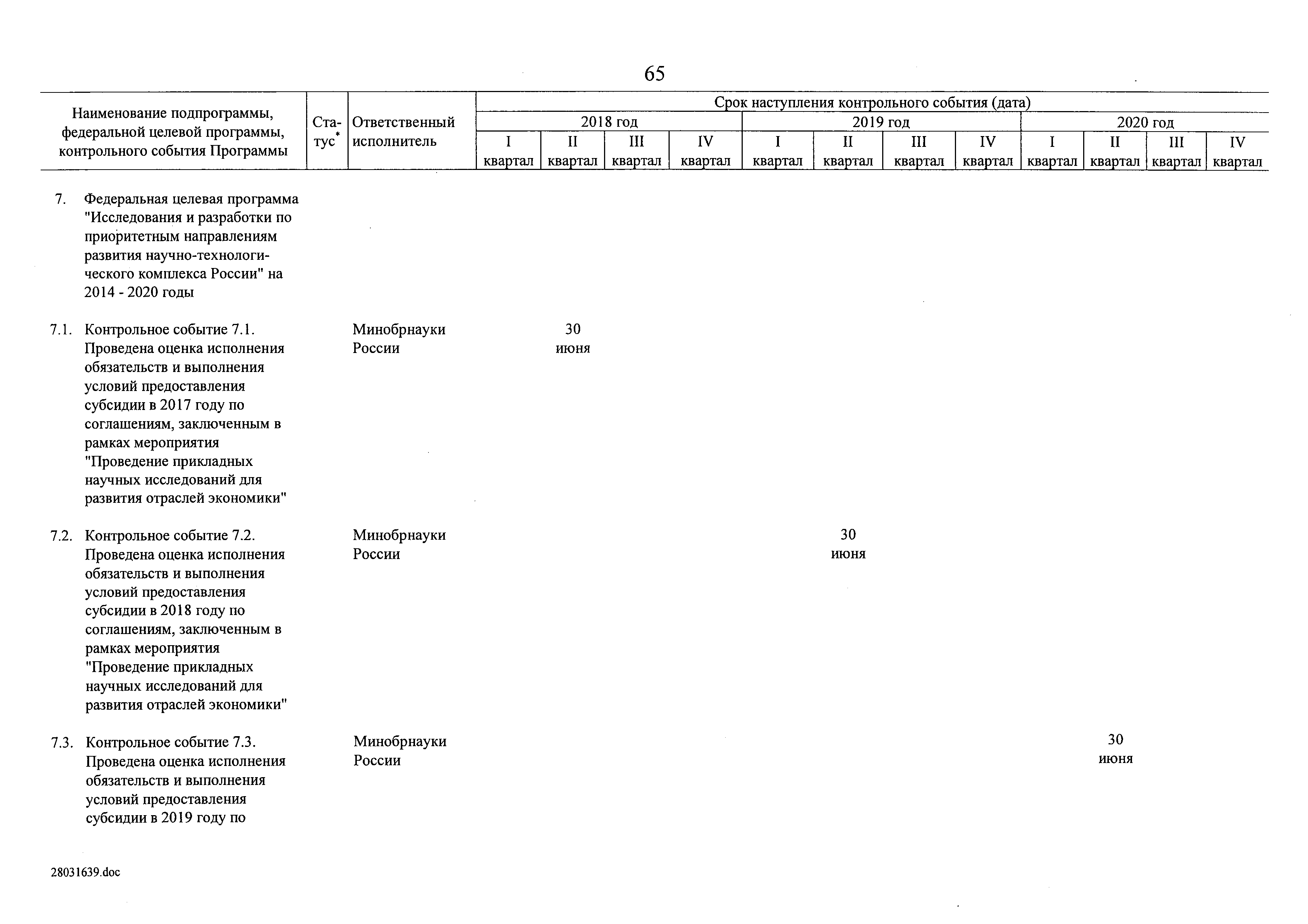
| Оглавление: | Паспорт государственной программы Российской Федерации "Развитие науки и технологий" на 2013 - 2020 годы Паспорт подпрограммы 1 "Фундаментальные научные исследования" государственной программы Российской Федерации "Развитие науки и технологий" на 2013 - 2020 годы Паспорт подпрограммы 2 "Прикладные проблемно ориентированные исследования и развитие научно-технологического задела в области перспективных технологий" государственной программы Российской Федерации "Развитие науки и технологий" на 2013 - 2020 годы Паспорт подпрограммы 3 "Институциональное развитие научно-исследовательского сектора" государственной программы Российской Федерации "Развитие науки и технологий" на 2013 - 2020 годы Паспорт подпрограммы 4 "Развитие межотраслевой инфраструктуры сектора исследований и разработок" государственной программы Российской Федерации "Развитие науки и технологий" на 2013 - 2020 годы Паспорт подпрограммы 5 "Международное сотрудничество в сфере науки" государственной программы Российской Федерации "Развитие науки и технологий" на 2013 - 2020 годы Паспорт подпрограммы 6 "Обеспечение реализации Государственной программы" государственной программы Российской Федерации "Развитие науки и технологий" на 2013 - 2020 годы Федеральная целевая программа "Исследования и разработки по приоритетным направлениям развития научно-технологического комплекса России на 2007 - 2013 годы" Паспорт федеральной целевой программы "Исследования и разработки по приоритетным направлениям развития научно-технологического комплекса России на 2007 - 2013 годы" Федеральная целевая программа "Исследования и разработки по приоритетным направлениям развития научно-технологического комплекса России на 2014 - 2020 годы" Паспорт федеральной целевой программы "Исследования и разработки по приоритетным направлениям развития научно-технологического комплекса России на 2014 - 2020 годы" Федеральная целевая программа "Научные и научно-педагогические кадры инновационной России" на 2009 - 2013 годы Паспорт федеральной целевой программы "Научные и научно-педагогические кадры инновационной России" на 2009 - 2013 годы Федеральная целевая программа "Научные и научно-педагогические кадры инновационной России" на 2014 - 2020 годы Паспорт федеральной целевой программы "Научные и научно-педагогические кадры инновационной России" на 2014 - 2020 годы Федеральная целевая программа "Мировой океан" Паспорт федеральной целевой программы "Мировой океан" Приоритеты и цели государственной политики в сфере реализации государственной программы Российской Федерации "Развитие науки и технологий" на 2013 - 2020 годы Приложение № 1. Сведения о показателях (индикаторах) государственной программы Российской Федерации "Развитие науки и технологий" на 2013 - 2020 годы, подпрограмм государственной программы Российской Федерации "Развитие науки и технологий" на 2013 - 2020 годы, федеральных целевых программ (подпрограмм федеральных целевых программ) Приложение № 2. Перечень основных мероприятий государственной программы Российской Федерации "Развитие науки и технологий" на 2013 - 2020 годы Приложение № 3. Сведения об основных мерах правового регулирования в сфере реализации государственной программы Российской Федерации "Развитие науки и технологий" на 2013 - 2020 годы Приложение № 4. Ресурсное обеспечение реализации государственной программы Российской Федерации "Развитие науки и технологий" на 2013 - 2014 годы за счет бюджетных ассигнований федерального бюджета |
| Утверждён: | 15.04.2014 Правительство Российской Федерации (301) |
| Издан: | Официальный интернет-портал правовой информации (www.pravo.gov.ru) (от 24.04.2014 г. Номер опубликования: 0001201404240027) |
| Список изменений: |
|
| Нормативные ссылки: |











































































































































Текстовое изменение № 1 от 13.04.2017


































































































































































Текстовое изменение № 2 от 10.04.2018

































































