Скачать Книга 12: Материалы и изделия кровельные рулонные, гидроизоляционные и теплоизоляционные, звукоизоляционные, черепица. Федеральные сметные цены на материалы изделия, конструкции и оборудование, применяемые в строительстве. Федеральный сборник сметных цен на материалы, изделия и конструкции, применяемые в строительствеДата актуализации: 01.01.2021 |
| Статус: | действует |
| Название рус.: | Книга 12: Материалы и изделия кровельные рулонные, гидроизоляционные и теплоизоляционные, звукоизоляционные, черепица. Федеральные сметные цены на материалы изделия, конструкции и оборудование, применяемые в строительстве. Федеральный сборник сметных цен на материалы, изделия и конструкции, применяемые в строительстве |
| Дата добавления в базу: | 05.05.2017 |
| Дата актуализации: | 01.01.2021 |
| Дата введения: | 28.04.2017 |
| Область применения: | Государственные сметные нормативы "Федеральные сметные цены на материалы, изделия, конструкции и оборудование, применяемые в строительстве" предназначены для определения сметной стоимости строительства, реконструкции и капитального ремонта объектов капитального строительства. |
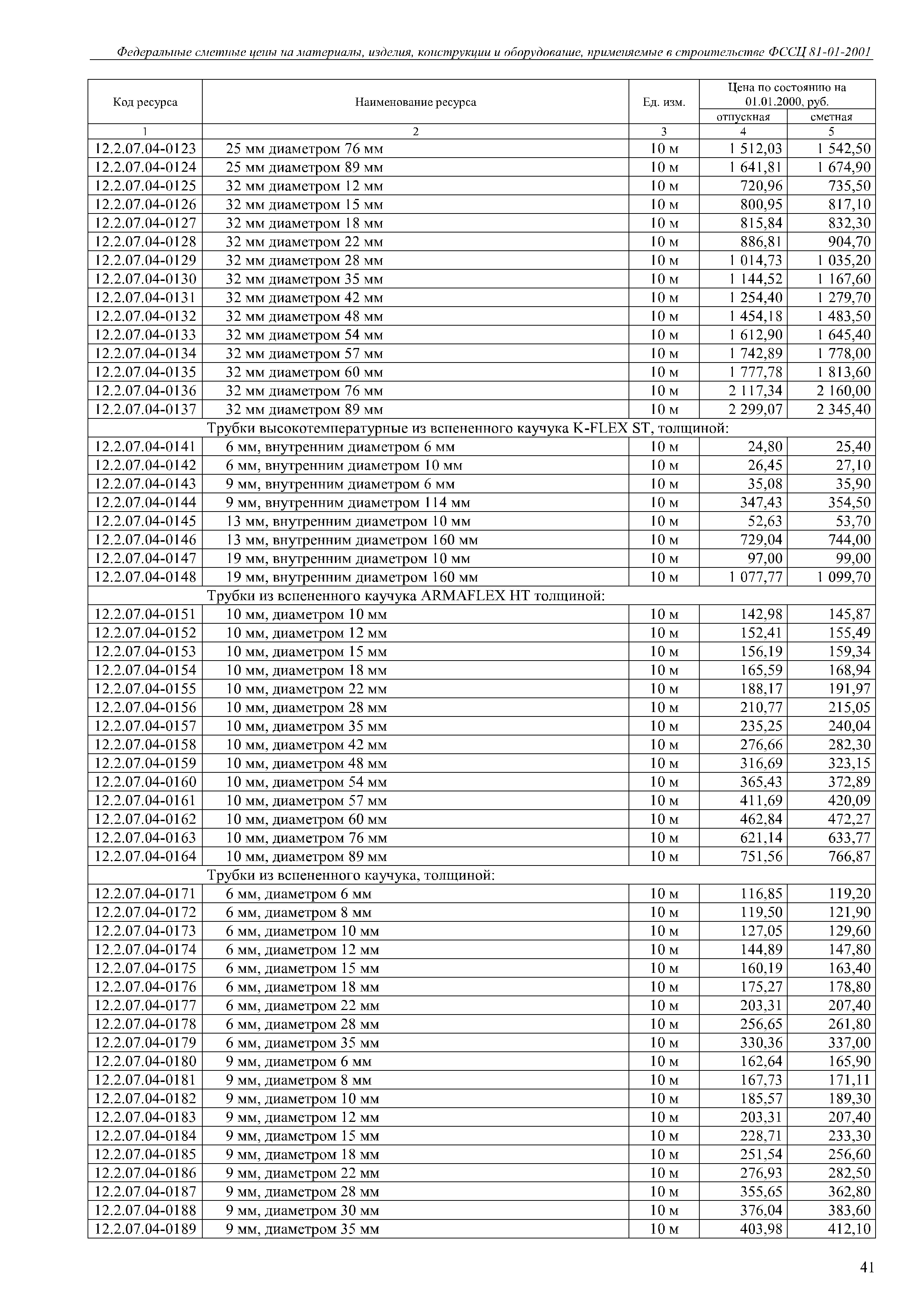
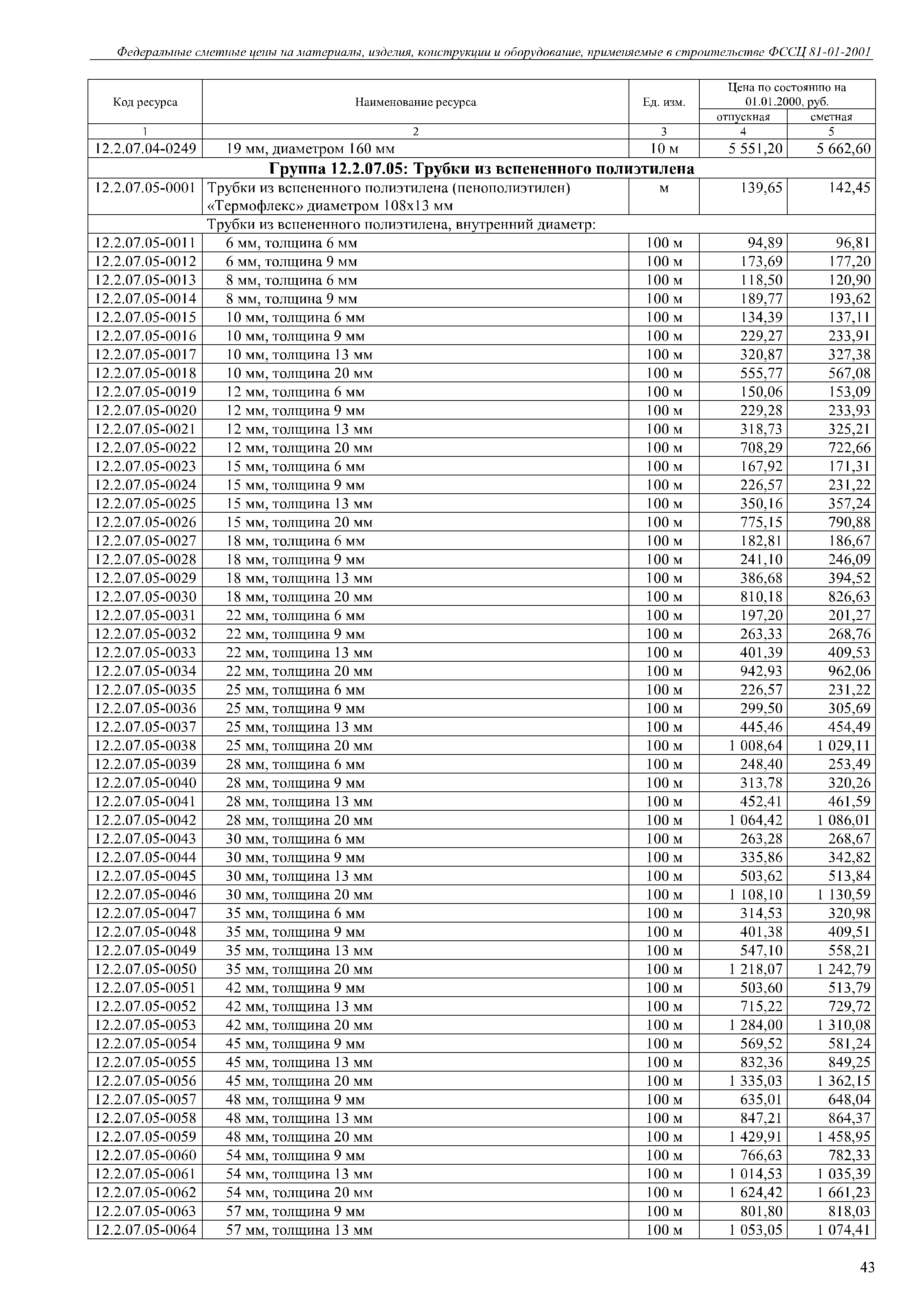
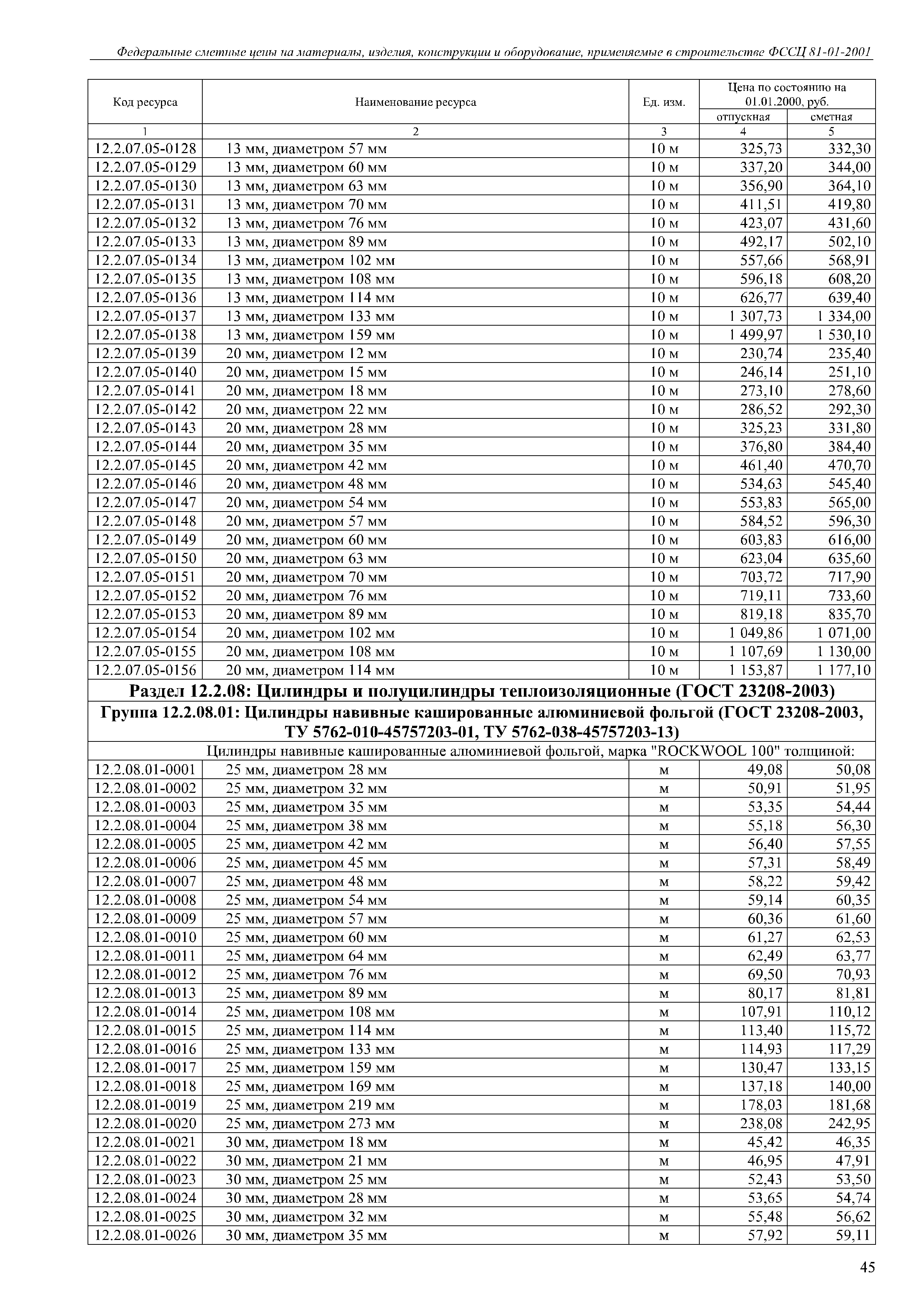
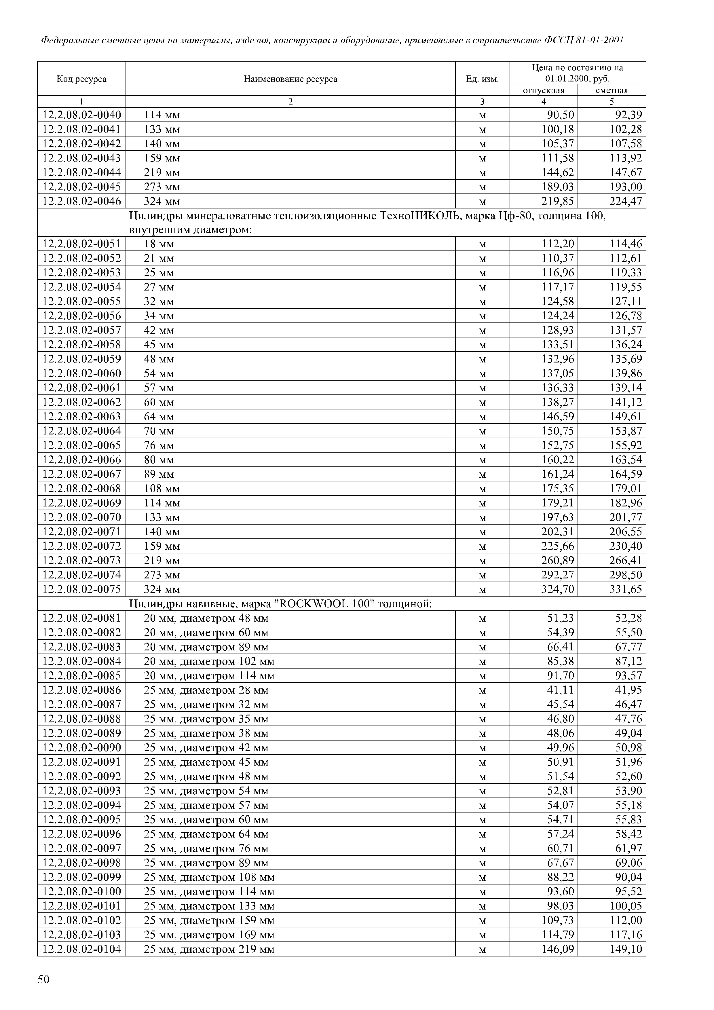
| Оглавление: | Часть 12.1: Материалы и изделия кровельные, гидро- и пароизоляционные Раздел 12.1.01: Материалы и изделия для кровли Раздел 12.1.02: Материалы рулонные Раздел 12.1.03: Черепица Часть 12.2: Материалы и изделия тепло-и звукоизоляционные Раздел 12.2.01: Конструкции и изделия теплоизоляционные Раздел 12.2.02: Материалы и изделия звукоизоляционные Раздел 12.2.03: Материалы теплоизоляционные Раздел 12.2.04: Маты изоляционные Раздел 12.2.05: Плиты изоляционные Раздел 12.2.06: Скорлупы, сегменты Раздел 12.2.07: Трубки, рулоны Раздел 12.2.08: Цилиндры и полуцилиндры теплоизоляционные |
| Утверждён: | 30.12.2016 Минстрой России (Russian Federation Minstroy 1039/пр) |
| Нормативные ссылки: |
|


























































