Скачать Книга 13: Изделия из природного камня (23.70.1 ОКПД2 Камень разрезанный, обработанный и отделанный). Федеральные сметные цены на материалы изделия, конструкции и оборудование, применяемые в строительстве. Федеральный сборник сметных цен на материалы, изделия и конструкции, применяемые в строительствеДата актуализации: 01.01.2021 |
| Статус: | действует |
| Название рус.: | Книга 13: Изделия из природного камня (23.70.1 ОКПД2 Камень разрезанный, обработанный и отделанный). Федеральные сметные цены на материалы изделия, конструкции и оборудование, применяемые в строительстве. Федеральный сборник сметных цен на материалы, изделия и конструкции, применяемые в строительстве |
| Дата добавления в базу: | 05.05.2017 |
| Дата актуализации: | 01.01.2021 |
| Дата введения: | 28.04.2017 |
| Область применения: | Государственные сметные нормативы "Федеральные сметные цены на материалы, изделия, конструкции и оборудование, применяемые в строительстве" предназначены для определения сметной стоимости строительства, реконструкции и капитального ремонта объектов капитального строительства. |
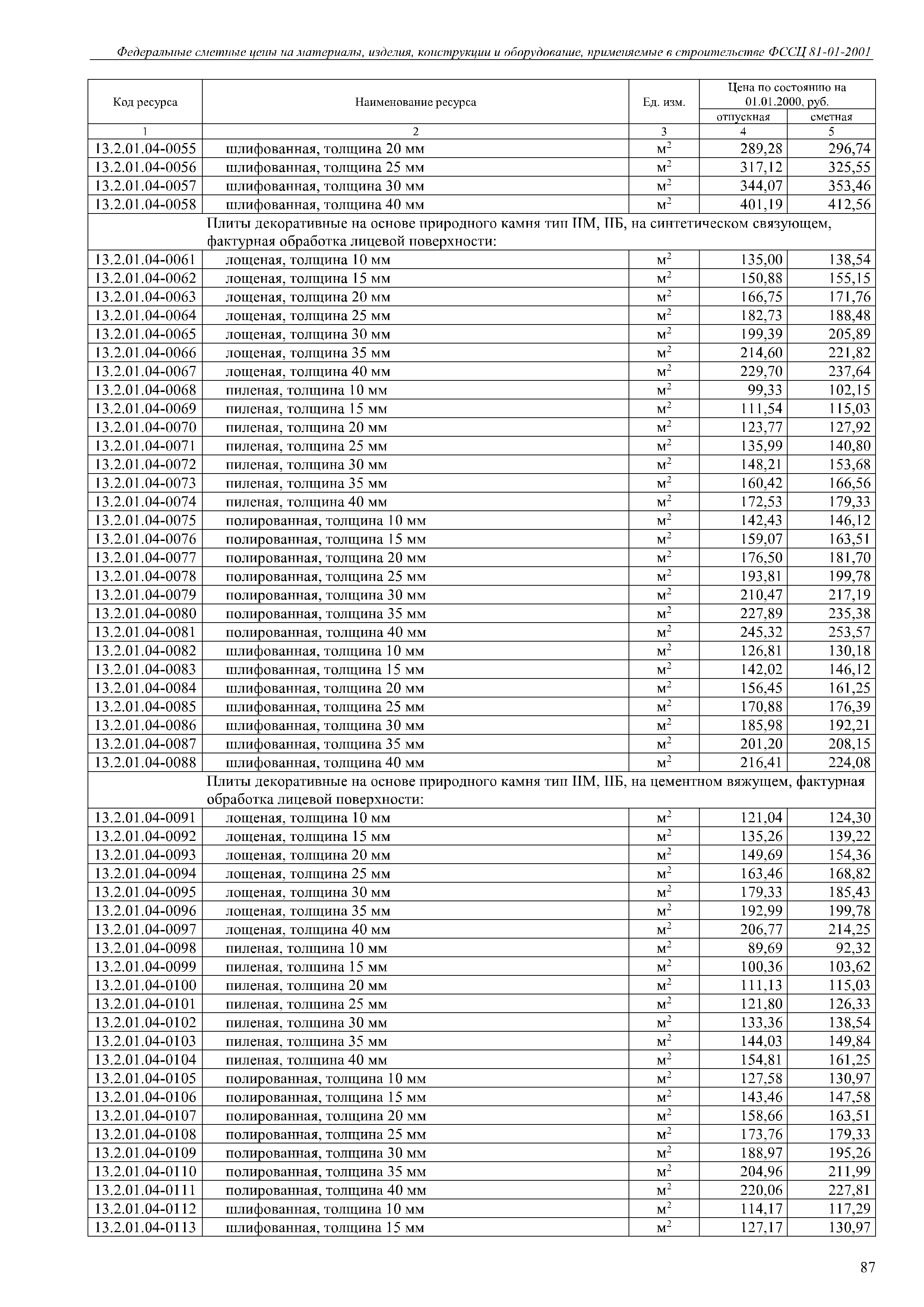
| Оглавление: | Часть 13.1: Мрамор, травертин, алебастр, обработанные, и изделия из них Раздел 13.1.01: Гранулы и порошок из мрамора, травертина и алебастра, искусственно окрашенные Раздел 13.1.02: Мрамор обработанный и изделия из него Раздел 13.1.03: Травертин, известняк, доломит, гипсовые камни и изделия из них Часть 13.2: Камни декоративные или строительные обработанные прочие и изделия из них Раздел 13.2.01: Гранит и прочие породы и изделия из них Раздел 13.2.02: Гранулы и порошок из природного камня, искусственно окрашенные прочие Раздел 13.2.03: Камни бортовые, мостовые и стеновые из природного камня Раздел 13.2.04: Изделия и материалы из камня прочие |
| Утверждён: | 30.12.2016 Минстрой России (Russian Federation Minstroy 1039/пр) |
| Нормативные ссылки: |
|


































