Скачать Книга 61: Оборудование и устройства электронные связи, радиовещания, телевидения, охранно-пожарная сигнализация. Федеральные сметные цены на материалы изделия, конструкции и оборудование, применяемые в строительстве. Федеральный сборник сметных цен на материалы, изделия и конструкции, применяемые в строительствеДата актуализации: 01.01.2021
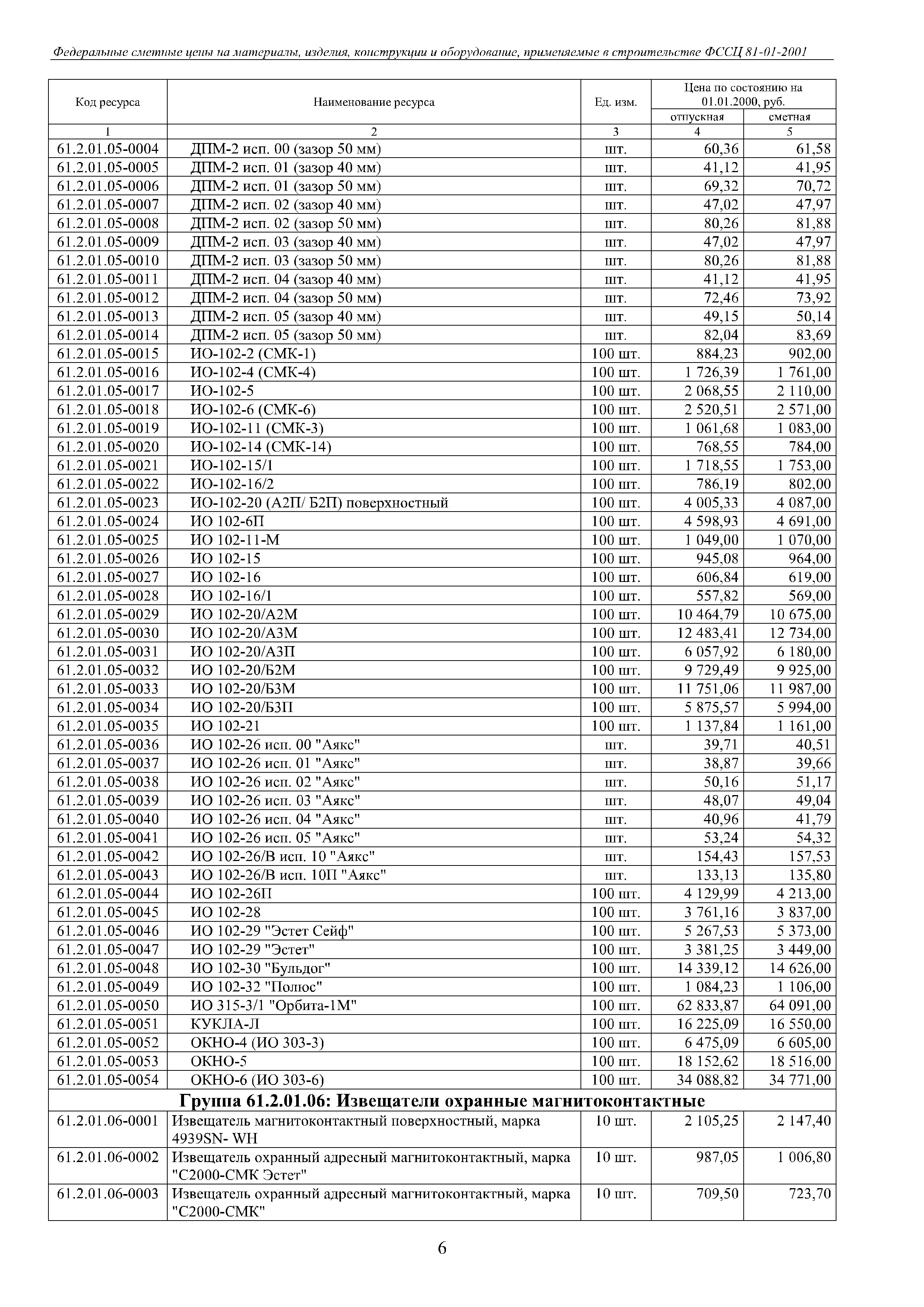
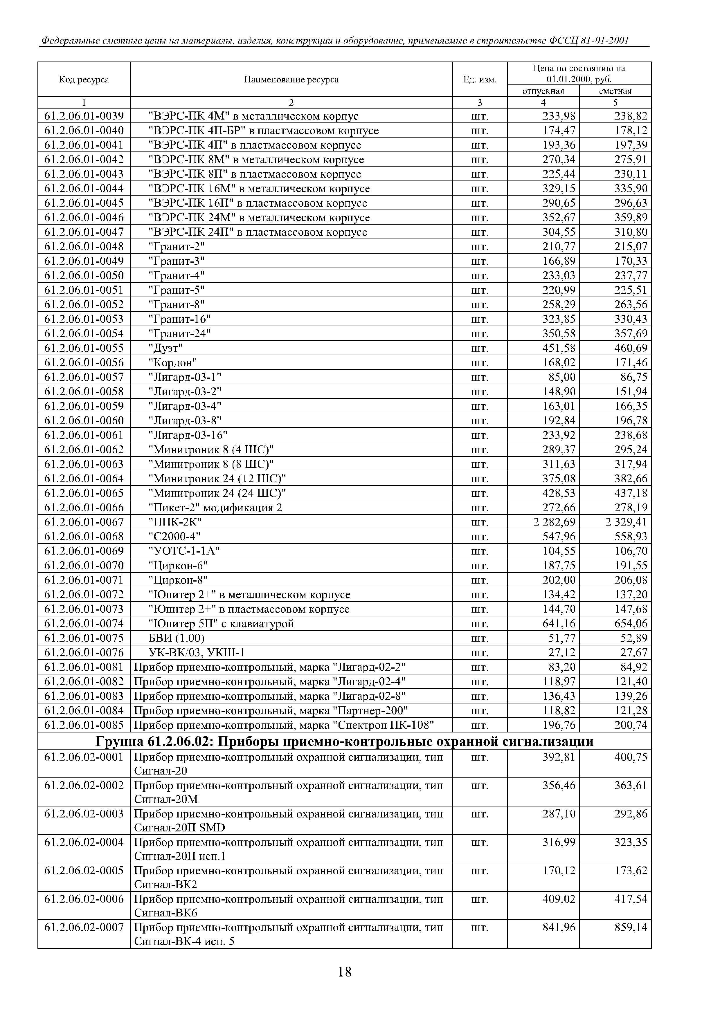
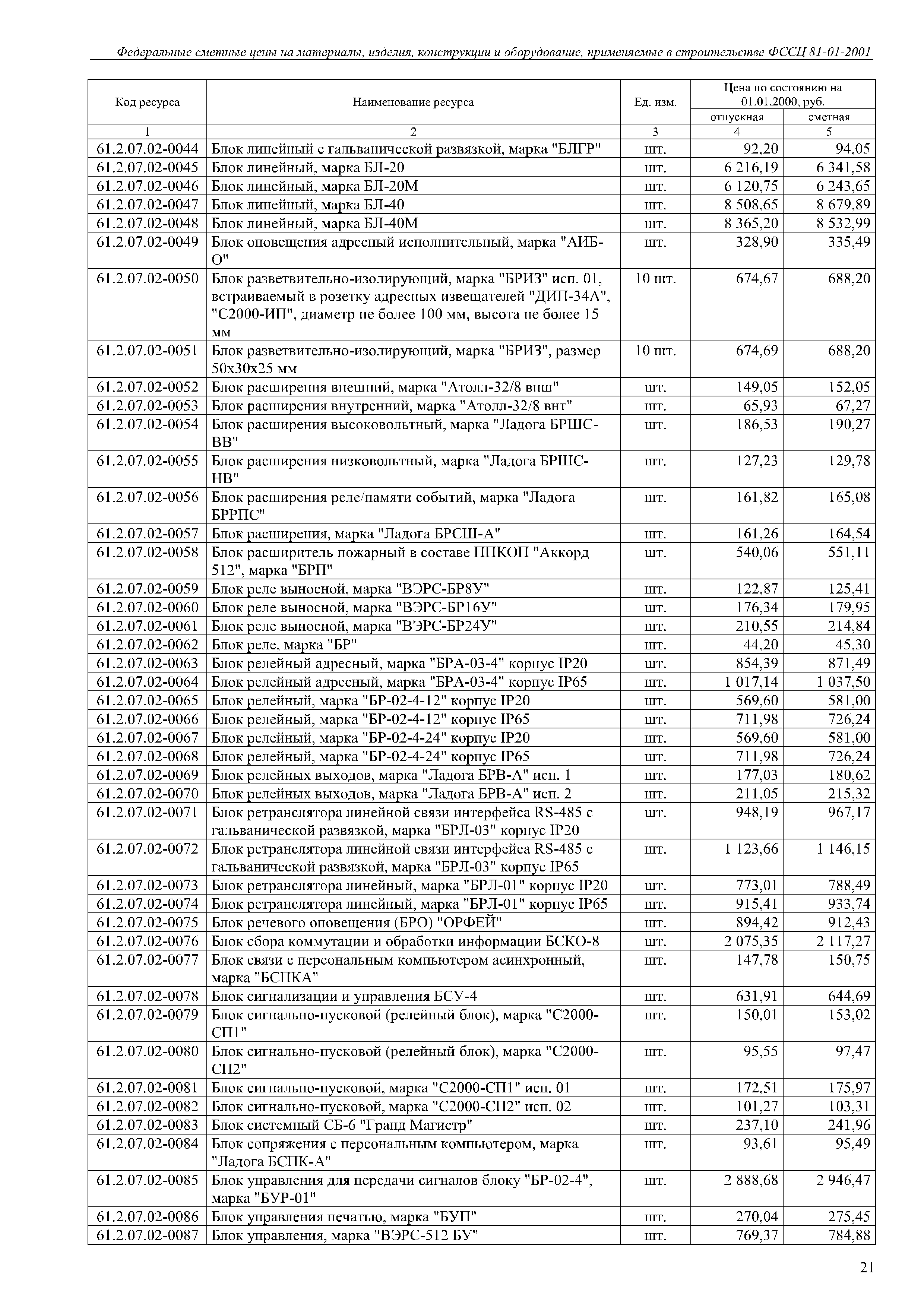
Книга 61: Оборудование и устройства электронные связи, радиовещания, телевидения, охранно-пожарная сигнализация. Федеральные сметные цены на материалы изделия, конструкции и оборудование, применяемые в строительстве. Федеральный сборник сметных цен на материалы, изделия и конструкции, применяемые в строительстве| Статус: | действует | | Название рус.: | Книга 61: Оборудование и устройства электронные связи, радиовещания, телевидения, охранно-пожарная сигнализация. Федеральные сметные цены на материалы изделия, конструкции и оборудование, применяемые в строительстве. Федеральный сборник сметных цен на материалы, изделия и конструкции, применяемые в строительстве | | Дата добавления в базу: | 05.05.2017 | | Дата актуализации: | 01.01.2021 | | Дата введения: | 28.04.2017 | | Область применения: | Государственные сметные нормативы "Федеральные сметные цены на материалы, изделия, конструкции и оборудование, применяемые в строительстве" предназначены для определения сметной стоимости строительства, реконструкции и капитального ремонта объектов капитального строительства. | | Оглавление: | Часть 61.1: Оборудование и устройства коммуникационные связи, радиовещания и телевидения Раздел 61.1.01: Антенны Раздел 61.1.02: Телефония Раздел 61.1.03: Устройства для передачи данных Раздел 61.1.04: Части и комплектующие коммуникационного оборудования Часть 61.2: Приборы и аппаратура для систем охранной и пожарной сигнализации и автоматического пожаротушения Раздел 61.2.01: Извещатели охранные Раздел 61.2.02: Извещатели пожарные Раздел 61.2.03: Модули для системы автоматического пожаротушения Раздел 61.2.04: Приборы управления, оповещатели Раздел 61.2.05: Радиомодули охранной сигнализации Раздел 61.2.06: Устройства приемно-контрольные Раздел 61.2.07: Части устройств охранной и пожарной сигнализации Часть 61.3: Оборудование, устройства и приборы электронные Раздел 61.3.01: Видеокамеры и дополнительные устройства к ним Раздел 61.3.02: Громкоговорители Раздел 61.3.03: Домофоны и устройства домофонные Раздел 61.3.04: Компоненты электронные и платы Раздел 61.3.05: Компьютеры, их части и принадлежности Раздел 61.3.06: Микрофоны и устройства микрофонные | | Утверждён: | 30.12.2016 Минстрой России (Russian Federation Minstroy 1039/пр)
| | Нормативные ссылки: | |
                            
|