Скачать Книга 64: Оборудование, устройства и аппаратура для систем вентиляции и кондиционирования воздуха. Федеральные сметные цены на материалы изделия, конструкции и оборудование, применяемые в строительстве. Федеральный сборник сметных цен на материалы, изделия и конструкции, применяемые в строительствеДата актуализации: 01.01.2021
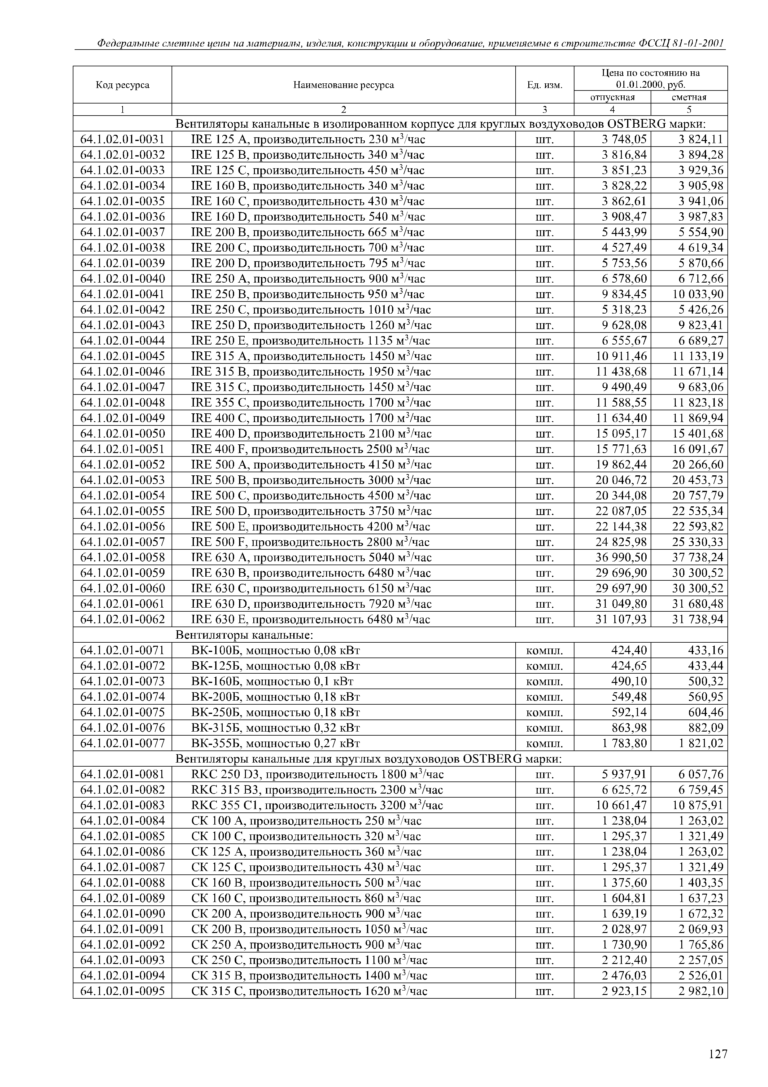
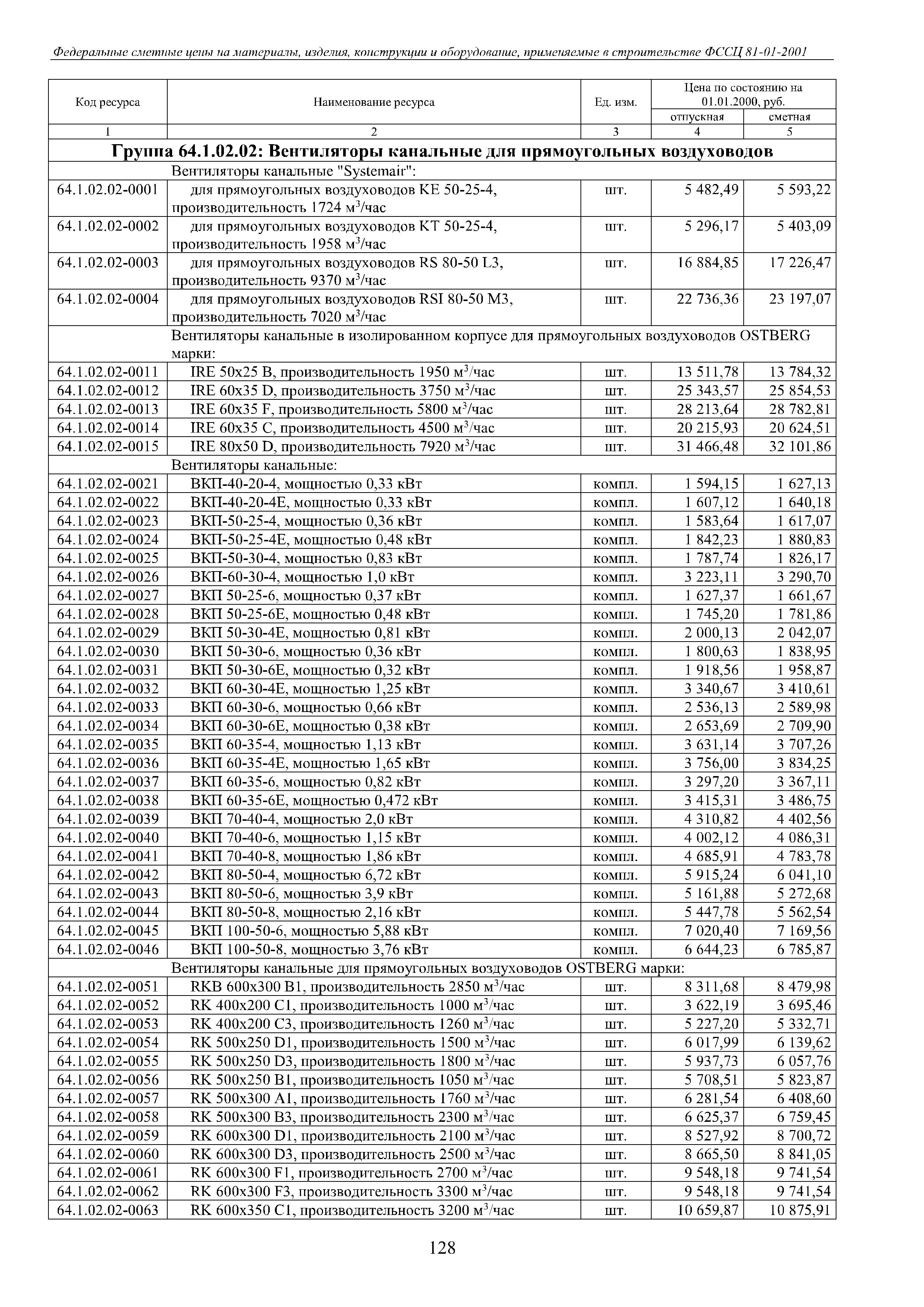
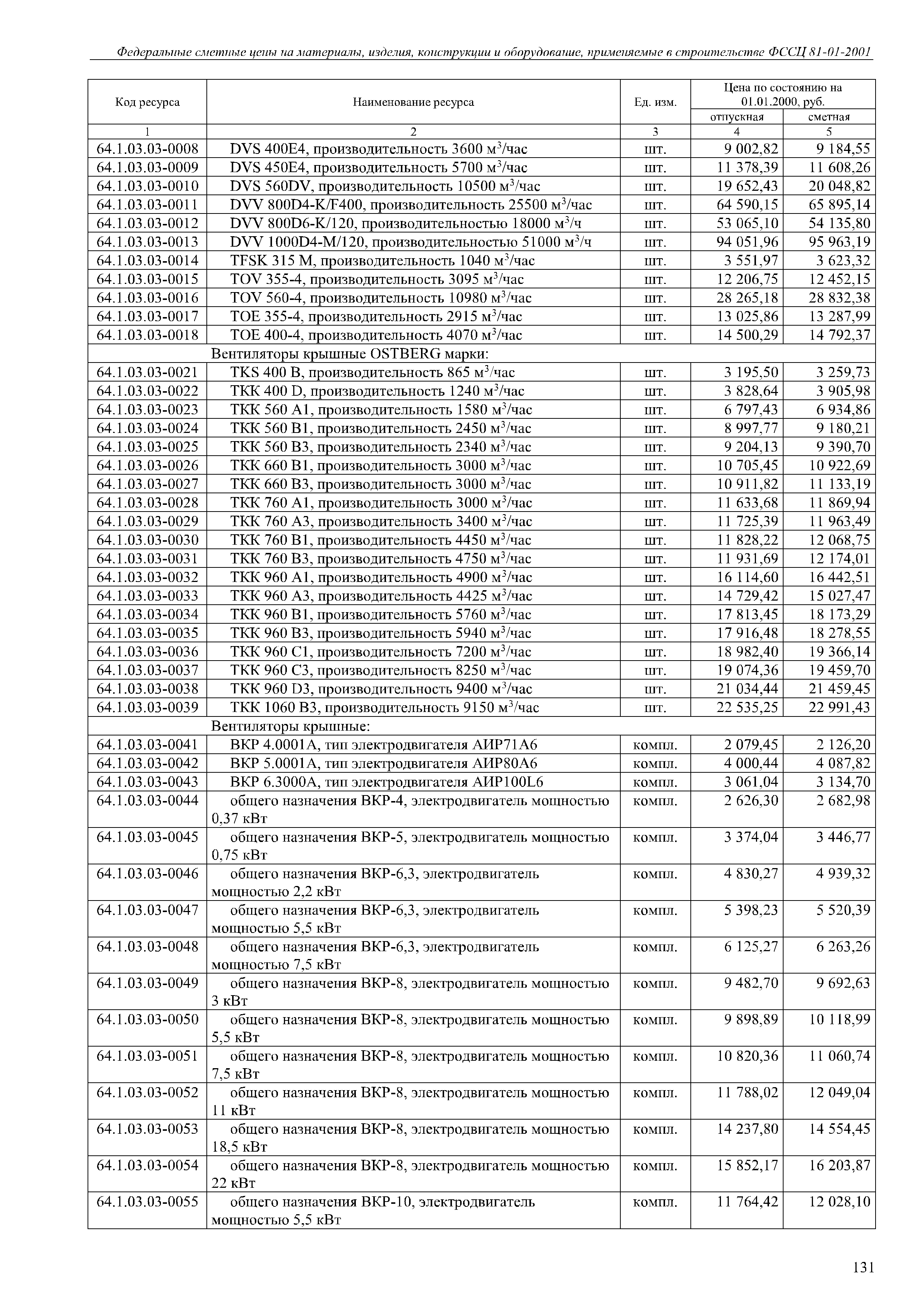
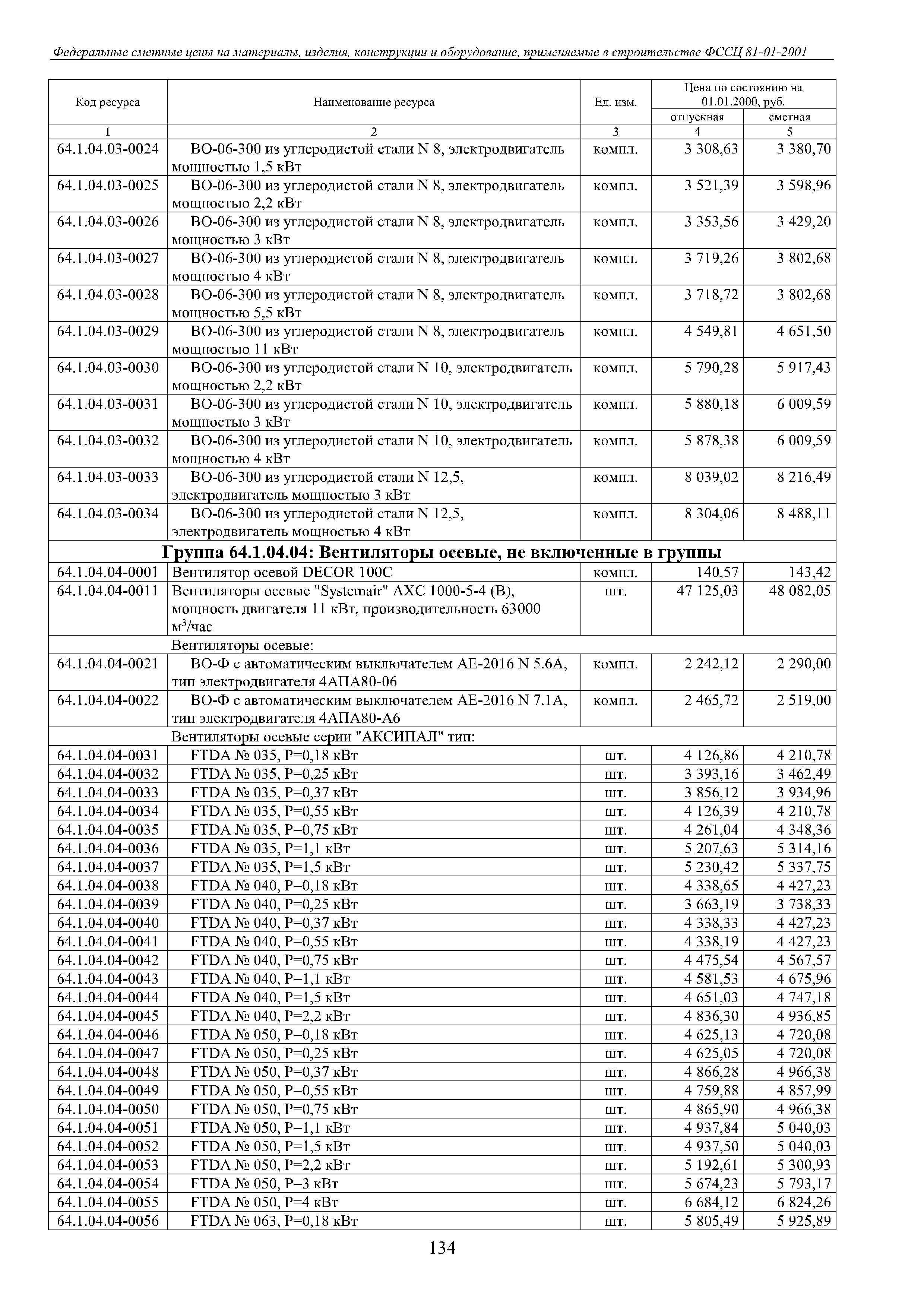
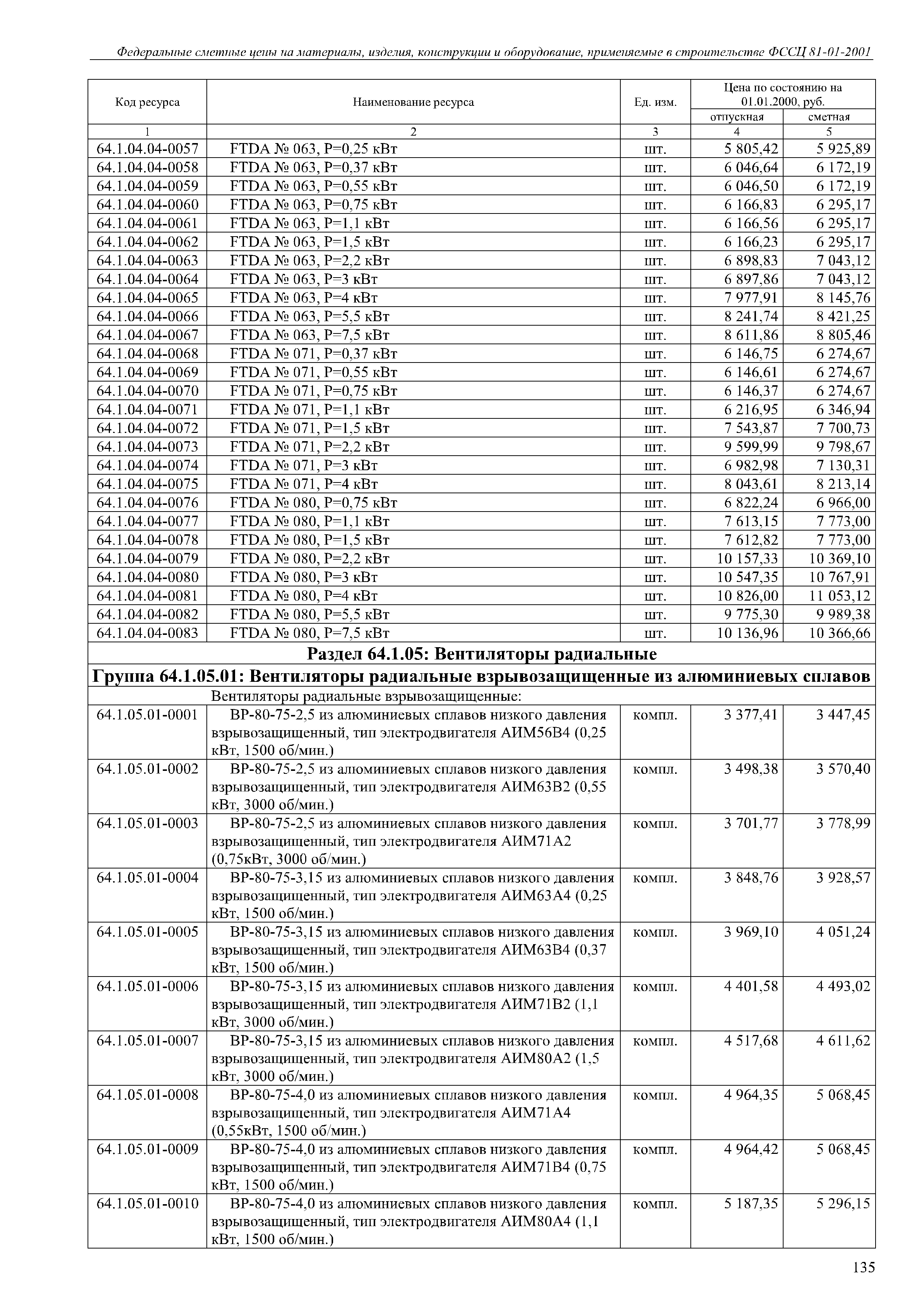
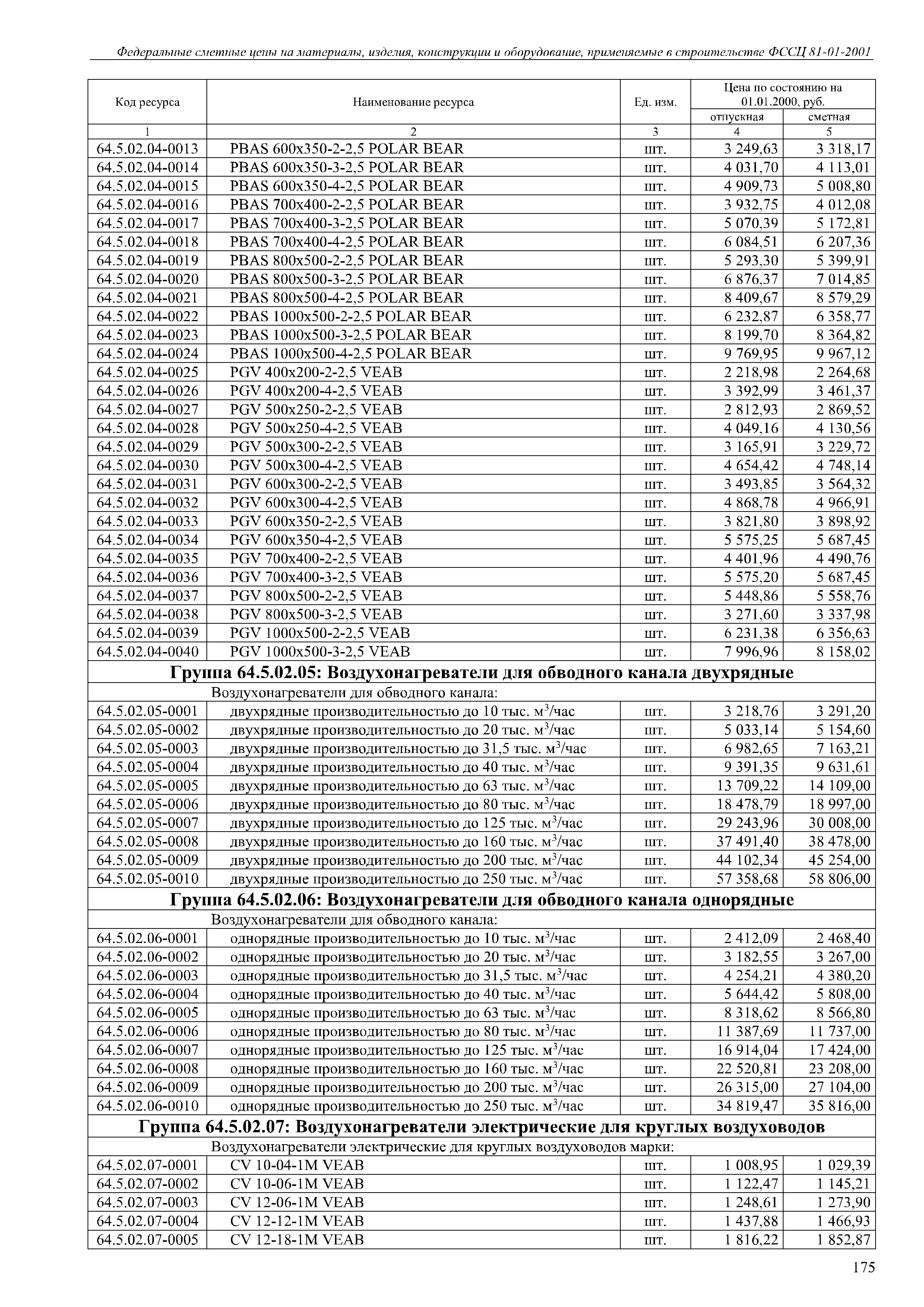
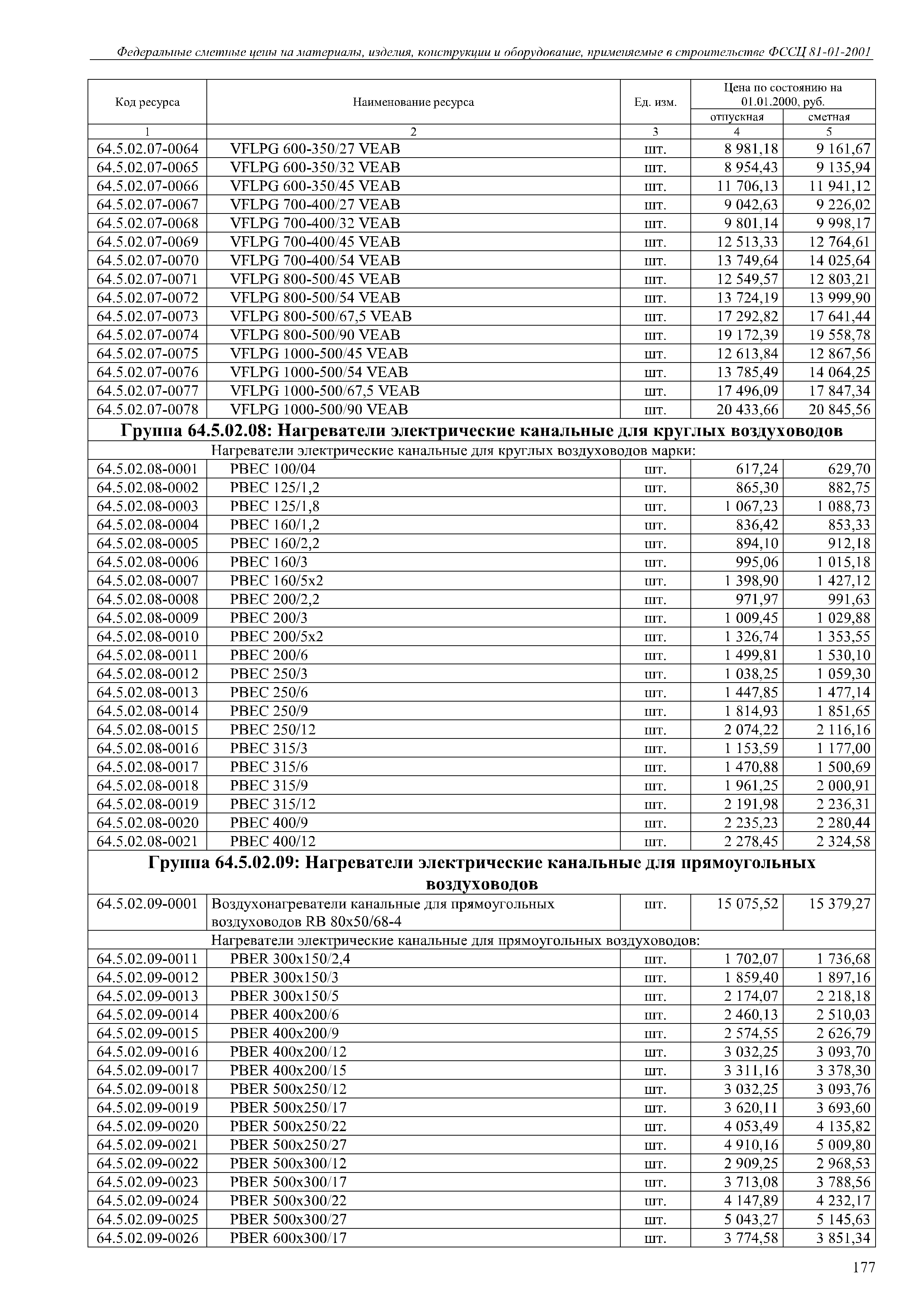
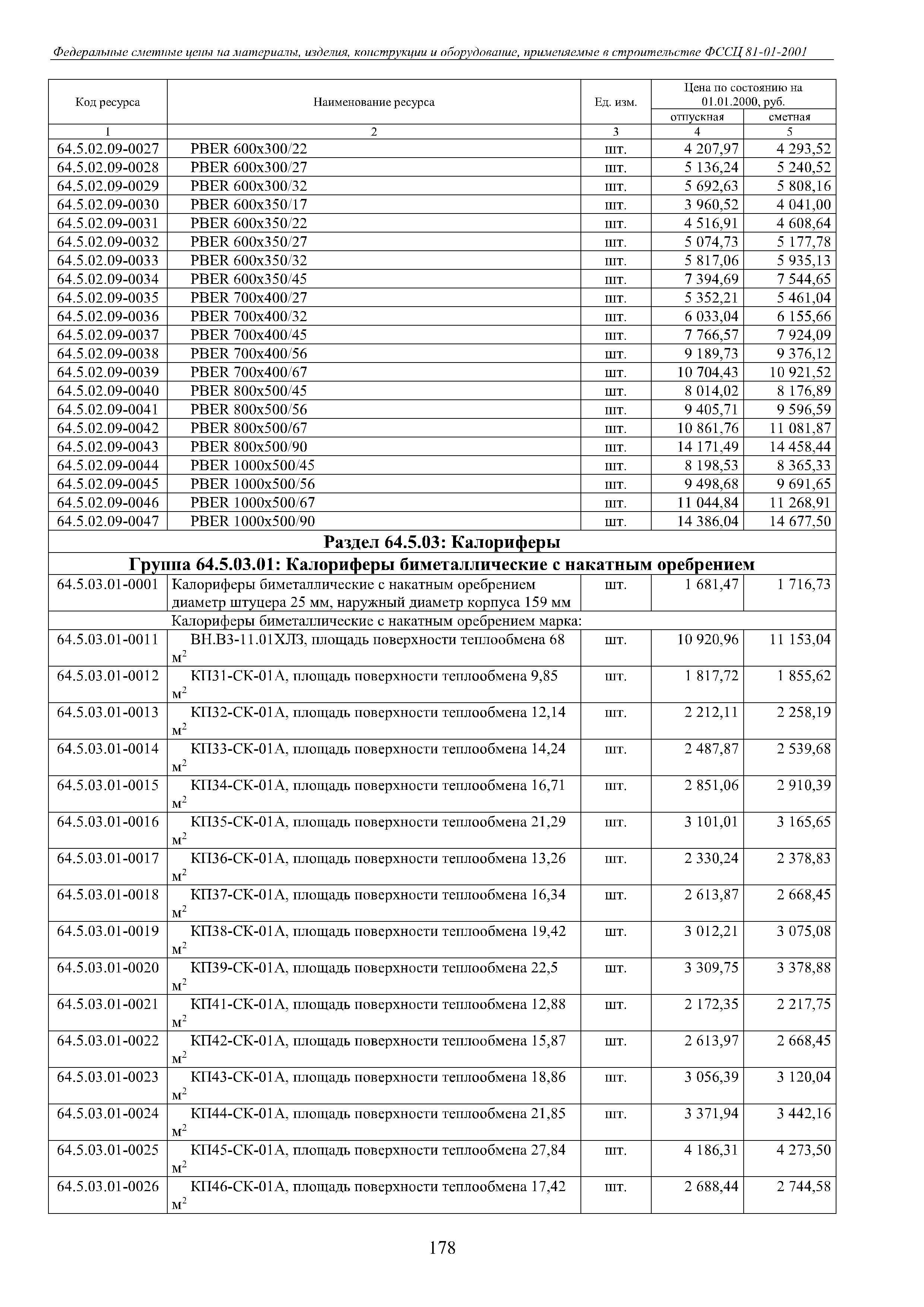
Книга 64: Оборудование, устройства и аппаратура для систем вентиляции и кондиционирования воздуха. Федеральные сметные цены на материалы изделия, конструкции и оборудование, применяемые в строительстве. Федеральный сборник сметных цен на материалы, изделия и конструкции, применяемые в строительстве| Статус: | действует | | Название рус.: | Книга 64: Оборудование, устройства и аппаратура для систем вентиляции и кондиционирования воздуха. Федеральные сметные цены на материалы изделия, конструкции и оборудование, применяемые в строительстве. Федеральный сборник сметных цен на материалы, изделия и конструкции, применяемые в строительстве | | Дата добавления в базу: | 05.05.2017 | | Дата актуализации: | 01.01.2021 | | Дата введения: | 28.04.2017 | | Область применения: | Государственные сметные нормативы "Федеральные сметные цены на материалы, изделия, конструкции и оборудование, применяемые в строительстве" предназначены для определения сметной стоимости строительства, реконструкции и капитального ремонта объектов капитального строительства. | | Оглавление: | Часть 64.1: Агрегаты вентиляторные и вентиляторы Раздел 64.1.0 1: Агрегаты вентиляторные Раздел 64.1.02: Вентиляторы канальные Раздел 64.1.03: Вентиляторы крышные Раздел 64.1.04: Вентиляторы осевые Раздел 64.1.05: Вентиляторы радиальные Часть 64.2: Оборудование для кондиционирования воздуха Раздел 64.2.01: Блоки вентиляционные Раздел 64.2.02: Камеры Раздел 64.2.03: Кондиционеры и сплит-системы Часть 64.3: Оборудование для очитки воздуха Раздел 64.3.01: Агрегаты пылеулавливающие Раздел 64.3.02: Скрубберы, циклоны Часть 64.4: Агрегаты и установки вентиляционные Раздел 64.4.01: Агрегаты вентиляционные Раздел 64.4.02: Блоки управления автоматические Раздел 64.4.03: Установки вентиляционные Часть 64.5: Агрегаты отопительные и воздухонагреватели Раздел 64.5.01: Агрегаты воздушно-отопительные Раздел 64.5.02: Воздухонагреватели Раздел 64.5.03: Калориферы Раздел 64.5.04: Теплообменники | | Утверждён: | 30.12.2016 Минстрой России (Russian Federation Minstroy 1039/пр)
| | Нормативные ссылки: | |
                                                         
|