Скачать ГОСТ Р 57450-2017 Серверные домашние системы мультимедиа. Концептуальная модель цифрового управления правамиДата актуализации: 01.01.2021
|
| Обозначение: | ГОСТ Р 57450-2017 |
| Обозначение англ: | GOST R 57450-2017 |
| Статус: | введен впервые |
| Название рус.: | Серверные домашние системы мультимедиа. Концептуальная модель цифрового управления правами |
| Название англ.: | Multimedia home server systems. Conceptual model for digital rights management |
| Дата добавления в базу: | 01.01.2018 |
| Дата актуализации: | 01.01.2021 |
| Дата введения: | 01.03.2018 |
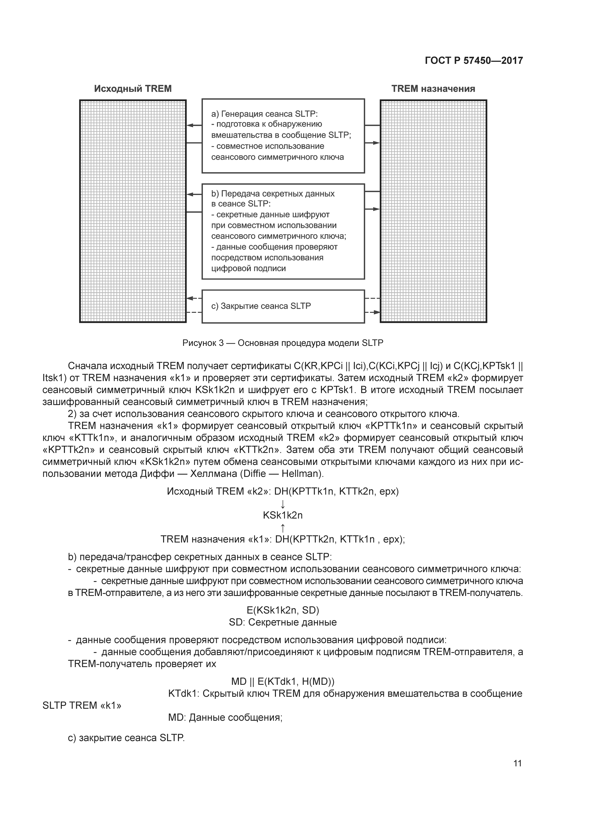
| Область применения: | Стандарт устанавливает концептуальную модель протокола спецификации для обмена лицензионной информацией между модулями цифрового управления правами (DRM). В стандарте рассмотрены модели, которые следует определять, как стандартные, а также приведены стандартные смысловые значения (в основном с точки зрения информационной безопасности в среде распространения, включая системы домашних серверов). |
| Оглавление: | 1 Область применения 2 Нормативные ссылки 3 Термины и определения 4 Сокращения 5 Условные обозначения 5.1 Цифровые значения (величины) 5.2 Перечень условных обозначений 6 Требования 6.1 Модель лицензионного обслуживания 7 Вопросы проектирования 7.1 Общие положения 7.2 Модель безопасности 7.3 Модель взаимодействия 7.4 Модель информации о лицензиях 8 Аспекты, подлежащие стандартизации Приложение А (справочное) Пример алгоритмов для криптографической системы и случайных данных (хэш) Приложение В (справочное) Пример преобразования информации о правах в DRM, основанном на SLTP, в информацию существующего DRM Приложение ДА (справочное) Сведения о соответствии ссылочных международных стандартов национальным стандартам Библиография |
| Разработан: | АНО НТЦ СЭ ИСЭП |
| Утверждён: | 21.04.2017 Федеральное агентство по техническому регулированию и метрологии (296-ст) |
| Издан: | Стандартинформ (2017 г. ) Стандартинформ (2018 г. ) |
| Нормативные ссылки: |
|



























