Скачать Административный регламент по предоставлению Федеральным архивным агентством государственной услуги Организация информационного обеспечения граждан, организаций и общественных объединений на основе документов Архивного фонда Российской Федерации и других архивных документовДата актуализации: 01.01.2021 |
| Статус: | действует |
| Название рус.: | Административный регламент по предоставлению Федеральным архивным агентством государственной услуги "Организация информационного обеспечения граждан, организаций и общественных объединений на основе документов Архивного фонда Российской Федерации и других архивных документов" |
| Дата добавления в базу: | 01.01.2018 |
| Дата актуализации: | 01.01.2021 |
| Дата введения: | 13.05.2017 |
| Область применения: | Административный регламент по предоставлению Федеральным архивным агентством государственной услуги "Организация информационного обеспечения граждан, организаций и общественных объединений, на основе документов Архивного фонда Российской Федерации и других архивных документов" разработан в целях повышения качества информационного обеспечения ретроспективной документной информацией физических и юридических лиц и определяет стандарт и последовательность действий (административных процедур) Федерального архивного агентства, а также порядок взаимодействия Росархива с федеральными государственными архивами, федеральными органами государственной власти, уполномоченными органами исполнительной власти субъектов Российской Федерации в области архивного дела, иными органами государственной власти, органами местного самоуправления и при предоставлении государственной услуги |
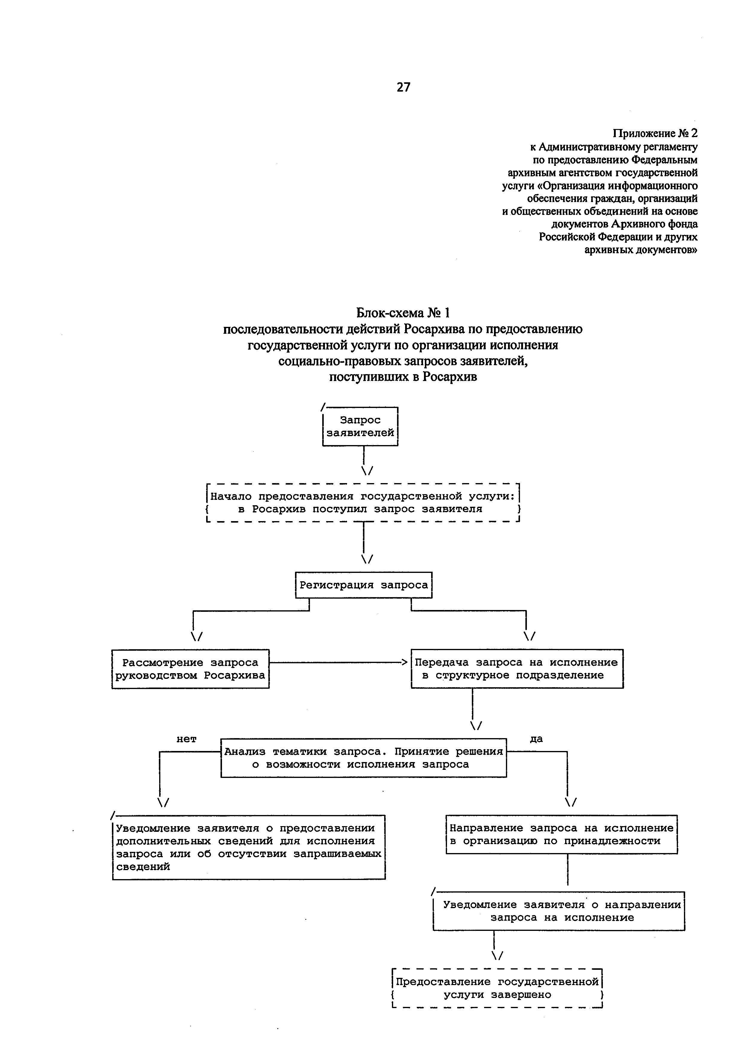
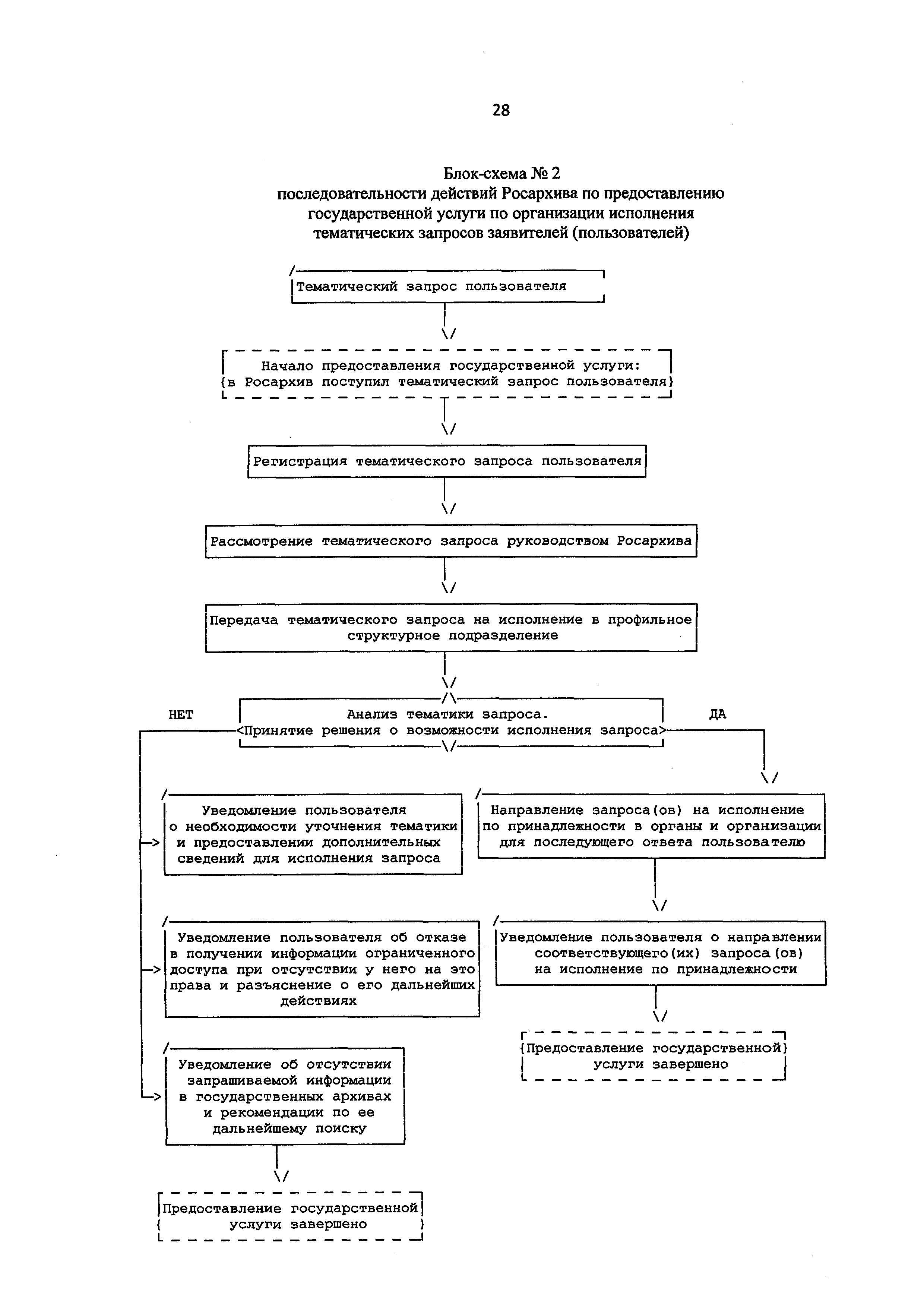
| Оглавление: | I. Общие положения II. Стандарт предоставления государственной услуги III. Состав, последовательность и сроки выполнения административных процедур (действий), требования к порядку их выполнения, в том числе особенности выполнения административных процедур (действий) в электронной форме IV. Формы контроля за предоставлением государственной услуги V. Досудебный (внесудебный) порядок обжалования решений и действий (бездействия) Росархива, предоставляющего государственную услугу, а также его должностных лиц Приложение № 1. Сведения о местах нахождения, контактных телефонах и адресах федеральных государственных архивов, осуществляющих информационное обеспечение заявителей на основе документов Архивного фонда Российской Федерации и других архивных документов Приложение № 2. Блок-схема Приложение № 3. Запрос (для физического лица). Подтверждение трудового стажа, заработной платы Приложение № 4. Запрос (для юридического лица). Подтверждение трудового стажа, заработной платы Приложение № 5. Запрос (для физического лица). Подтверждение социальных льгот Приложение № 6. Запрос (для юридического лица). Подтверждение социальных льгот Приложение № 7. Запрос (для физического лица). Подтверждение службы в вооруженных силах, участия в боевых действиях Приложение № 8. Запрос (для юридического лица). Подтверждение службы в вооруженных силах, участия в боевых действиях Приложение № 9. Запрос (для физического лица). Подтверждение награждений Приложение № 10. Запрос (для юридического лица). Подтверждение награждений Приложение № 11. Запрос (для физического лица). Репрессии и реабилитация Приложение № 12. Запрос (для юридического лица). Репрессии и реабилитация Приложение № 13. Запрос (для физического лица). Подтверждение образования Приложение № 14. Запрос (для юридического лица). Подтверждение образования Приложение № 15. Запрос (для физического лица). Подтверждение записей актов гражданского состояния Приложение № 16. Запрос (для юридического лица). Подтверждение записей актов гражданского состояния Приложение № 17. Запрос (для физического лица). Тематический запрос Приложение № 18. Запрос (для юридического лица). Тематический запрос |
| Утверждён: | 09.01.2017 Федеральное архивное агентство (1) |
| Издан: | Официальный интернет-портал правовой информации (www.pravo.gov.ru) (от 02.05.2017 г. Номер опубликования: 0001201705020024) |
| Список изменений: |
|
| Нормативные ссылки: |
|




























































Текстовое изменение № 1 от 28.11.2017