Скачать ГОСТ Р 57470-2017 Материалы текстильные. Методы испытаний нетканых материалов. Часть 9. Определение драпируемости, включая коэффициент драпируемостиДата актуализации: 01.01.2021
|
| Обозначение: | ГОСТ Р 57470-2017 |
| Обозначение англ: | GOST R 57470-2017 |
| Статус: | введен впервые |
| Название рус.: | Материалы текстильные. Методы испытаний нетканых материалов. Часть 9. Определение драпируемости, включая коэффициент драпируемости |
| Название англ.: | Textiles. Test methods for nonwovens. Part 9. Determination of drapability including drape coefficient |
| Дата добавления в базу: | 01.01.2018 |
| Дата актуализации: | 01.01.2021 |
| Дата введения: | 01.03.2018 |
| Область применения: | Стандарт устанавливает методы испытаний, используемые для определения коэффициента драпируемости полотен (нетканых, тканых и трикотажных). |
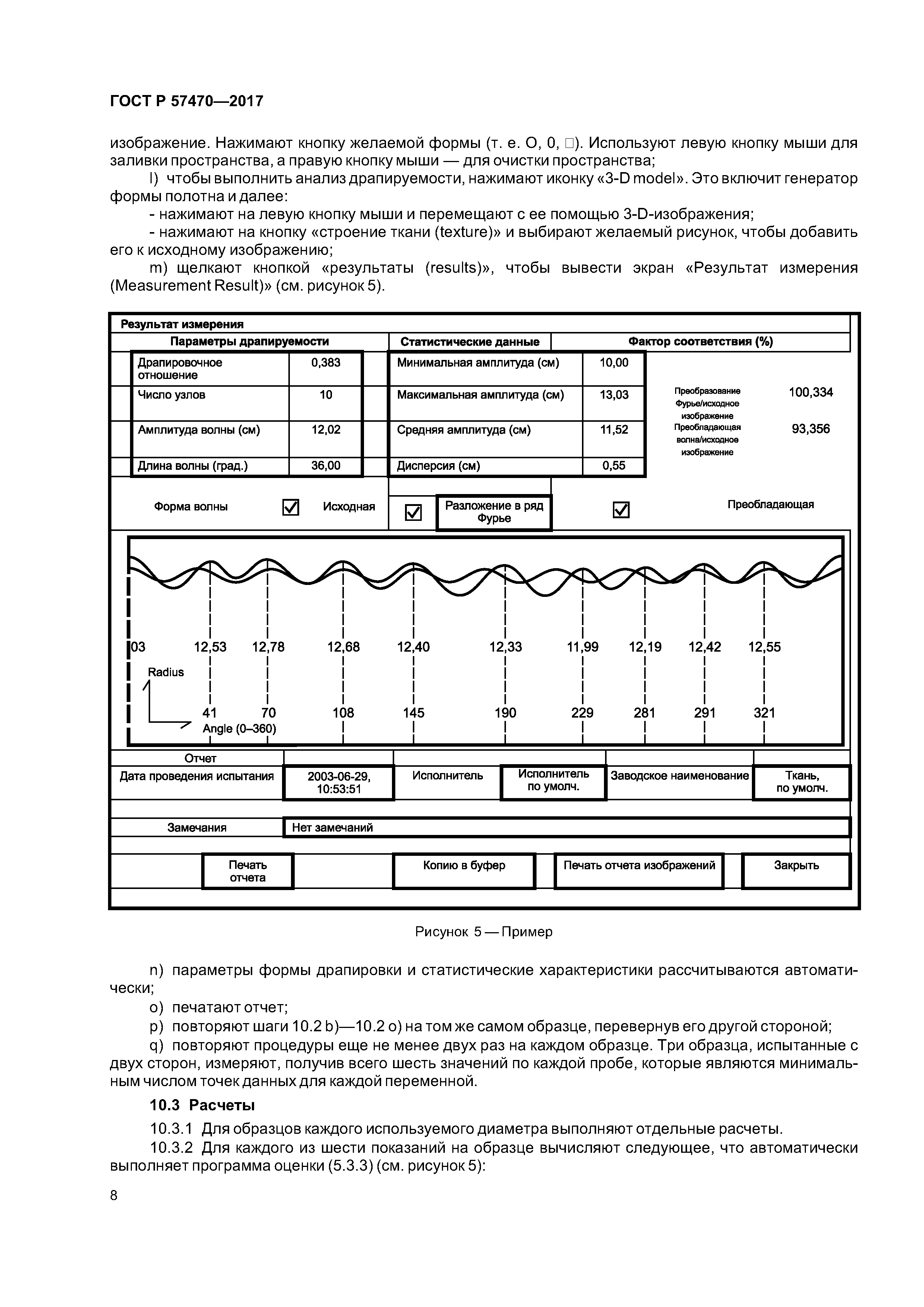
| Оглавление: | 1 Область применения 2 Нормативные ссылки 3 Термины и определения 4 Сущность метода 5 Аппаратура 6 Отбор проб 7 Подготовка и кондиционирование образцов для испытаний 8 Предварительные процедуры 9 Метод А, использующий бумажные кольца 10 Метод В, использующий технологию обработки изображений 11 Прецизионность Приложение ДА (справочное) Сведения о соответствии национальных и межгосударственных стандартов международным стандартам, использованным в качестве ссылочных в примененном международном стандарте |
| Разработан: | АО ВНИИС |
| Утверждён: | 16.05.2017 Федеральное агентство по техническому регулированию и метрологии (385-ст) |
| Издан: | Стандартинформ (2017 г. ) |
| Нормативные ссылки: |














