Скачать ГОСТ Р ИСО 17832-2017 Проволока и корды стальные непараллельные для армирования шинДата актуализации: 01.01.2021
|
| Обозначение: | ГОСТ Р ИСО 17832-2017 |
| Обозначение англ: | GOST R ISO 17832-2017 |
| Статус: | введен впервые |
| Название рус.: | Проволока и корды стальные непараллельные для армирования шин |
| Название англ.: | Non-parallel steel wire and cords for tyre reinforcement |
| Дата добавления в базу: | 01.01.2018 |
| Дата актуализации: | 01.01.2021 |
| Дата введения: | 01.01.2019 |
| Область применения: | Стандарт устанавливает определение и требования к непараллельным стальным проволокам и кордам для армирования шин. |
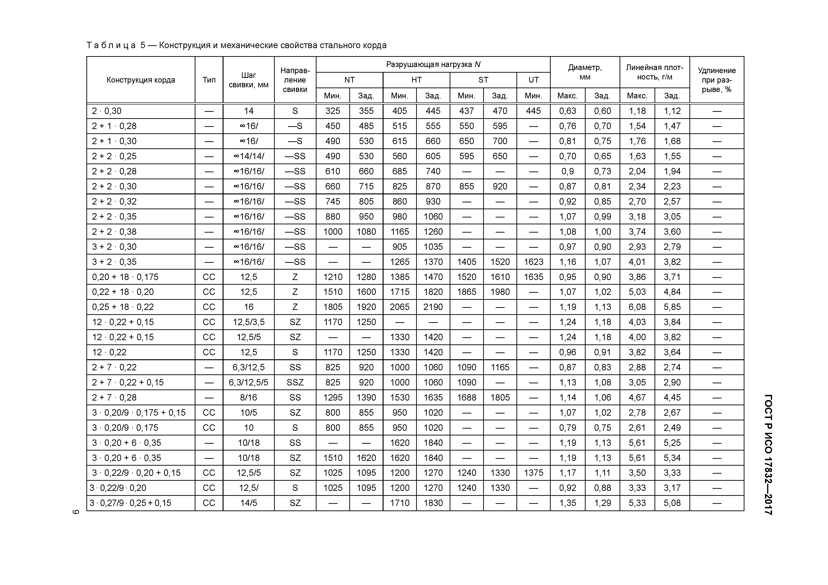
| Оглавление: | 1 Область применения 2 Нормативные ссылки 3 Термины и определения 4 Классификация 4.1 Классификация, основанная на прочности при растяжении 4.2 Классификация, основанная на структуре корда 4.3 Классификация, основанная на типе корда 5 Обозначение и заказ 5.1 Структура корда 5.2 Прочность корда при растяжении 5.3 Тип корда 5.4 Длина и направление шага свивки 5.5 Тип покрытия 6 Требования 6.1 Размеры, масса и допуски 6.2 Сварные швы и соединения 6.3 Механические свойства 6.4 Технологические свойства 6.5 Покрытие латунью 6.6 Прочность связи резины с покрытием 6.7 Конструкции и свойства 7 Отбор образцов для испытаний и уровни контроля 7.1 Отбор образцов для испытаний 7.2 Уровни контроля 8 Упаковка 8.1 Катушки 8.2 Упаковка в тару Приложение ДА (справочное) Сведения о соответствии ссылочных международных стандартов национальным стандартам Российской Федерации |
| Разработан: | ФГУП ВНИИ СМТ |
| Утверждён: | 04.07.2017 Федеральное агентство по техническому регулированию и метрологии (628-ст) |
| Издан: | Стандартинформ (2017 г. ) |
| Список изменений: |
|
















Текстовое изменение Поправка от 15.11.2017