Скачать ГОСТ Р ИСО 23717-2017 Проволока стальная и изделия из нее. Проволока для армирования рукавовДата актуализации: 01.01.2021
|
| Обозначение: | ГОСТ Р ИСО 23717-2017 |
| Обозначение англ: | GOST R ISO 23717-2017 |
| Статус: | введен впервые |
| Название рус.: | Проволока стальная и изделия из нее. Проволока для армирования рукавов |
| Название англ.: | Steel wire and wire products. Hose reinforcement wire |
| Дата добавления в базу: | 01.01.2018 |
| Дата актуализации: | 01.01.2021 |
| Дата введения: | 01.01.2019 |
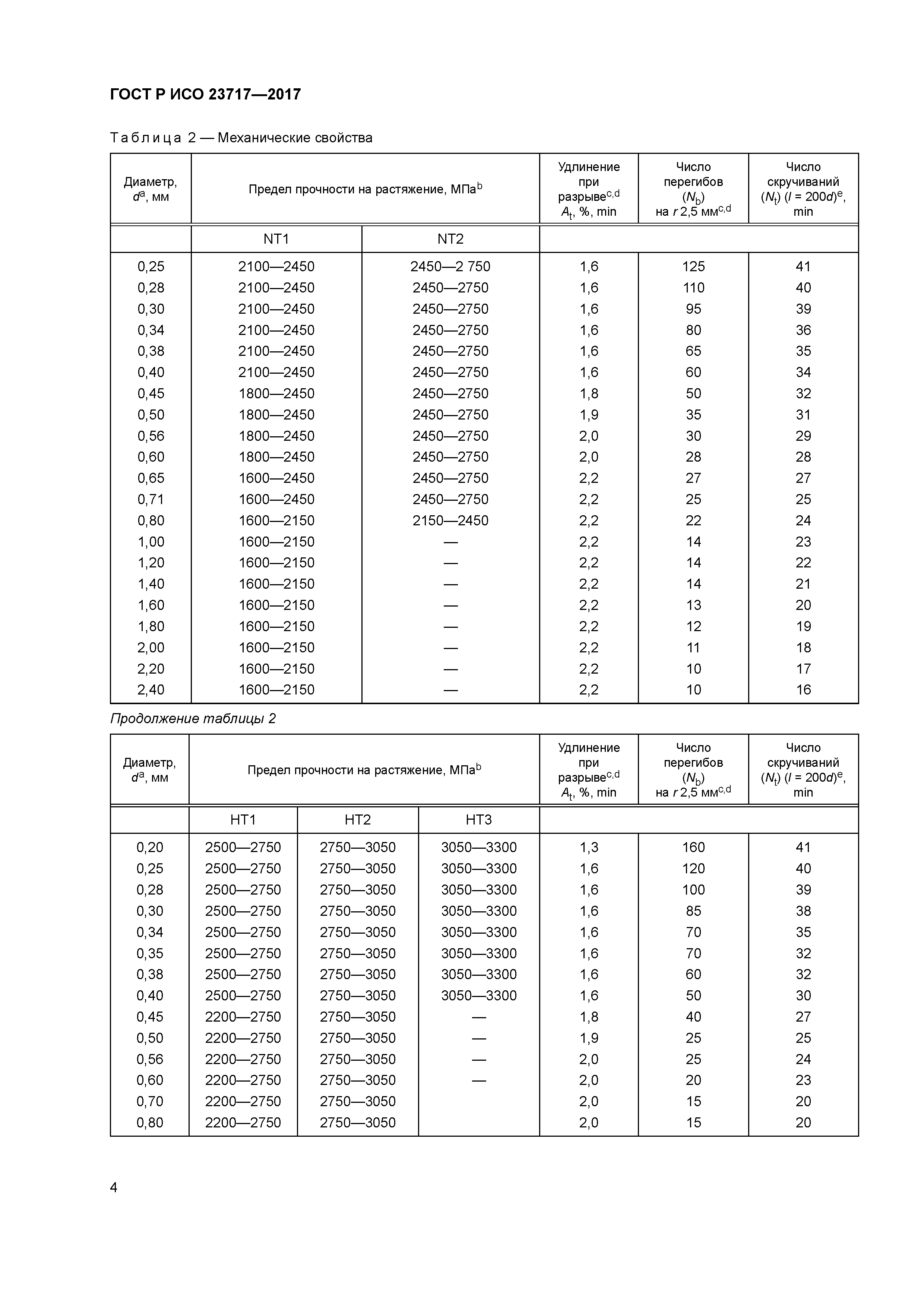
| Область применения: | Стандарт устанавливает химический состав стали, размеры и механические свойства стальной проволоки из высокоуглеродистых марок стали, как правило, с латунным покрытием, предназначенной для армирования рукавов (шлангов) высокого давления. Стандарт распространяется на проволоку, образующую параллельную или спиральную оплетку для армирования резинового или синтетического рукава (шланга), для того, чтобы он мог выдерживать относительно высокое разрывное давление. |
| Оглавление: | 1 Область применения 2 Нормативные ссылки 3 Термины и определения 4 Классификация 5 Обозначение и оформление заказа 6 Требования 7 Испытание и контроль 8 Маркировка и упаковка Приложение ДА (справочное) Сведения о соответствии ссылочных международных стандартов межгосударственным стандартам |
| Разработан: | ФГУП ВНИИ СМТ |
| Утверждён: | 04.07.2017 Федеральное агентство по техническому регулированию и метрологии (629-ст) |
| Издан: | Стандартинформ (2017 г. ) |
| Нормативные ссылки: |










