Скачать НЦС 81-02-11-2017 Сборник № 11. Наружные сети связи. Государственные сметные нормативы. Укрупненные нормативы цены строительстваДата актуализации: 01.01.2021
|
| Обозначение: | НЦС 81-02-11-2017 |
| Обозначение англ: | 81-02-11-2017 |
| Статус: | заменен |
| Название рус.: | Сборник № 11. Наружные сети связи. Государственные сметные нормативы. Укрупненные нормативы цены строительства |
| Дата добавления в базу: | 01.01.2018 |
| Дата актуализации: | 01.01.2021 |
| Дата введения: | 02.08.2017 |
| Дата окончания срока действия: | 01.01.2020 |
| Область применения: | Укрупненные нормативы цены строительства предназначены для определения потребности в финансовых ресурсах, необходимых для создания единицы мощности строительной продукции, оценки эффективности использования средств, направляемых на капитальные вложения, подготовки технико-экономических показателей в задании на проектирование, планирования инвестиций (капитальных вложений), иных целей, установленных законодательством Российской Федерации, наружных сетей связи, строительство которых финансируется с привлечением средств бюджетов бюджетной системы Российской Федерации, средств юридических лиц, созданных Российской Федерацией, субъектами Российской Федерации, муниципальными образованиями, юридических лиц, доля в уставных (складочных) капиталах которых Российской Федерации, субъектов Российской Федерации, муниципальных образований составляет более 50 процентов. |
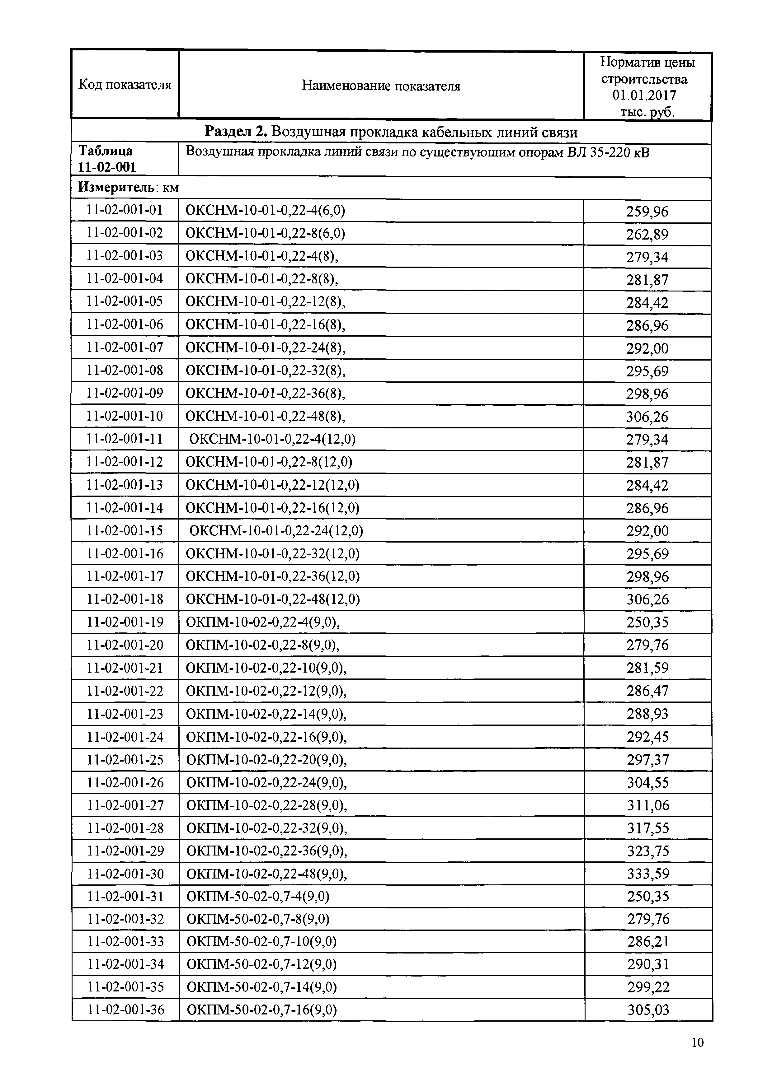
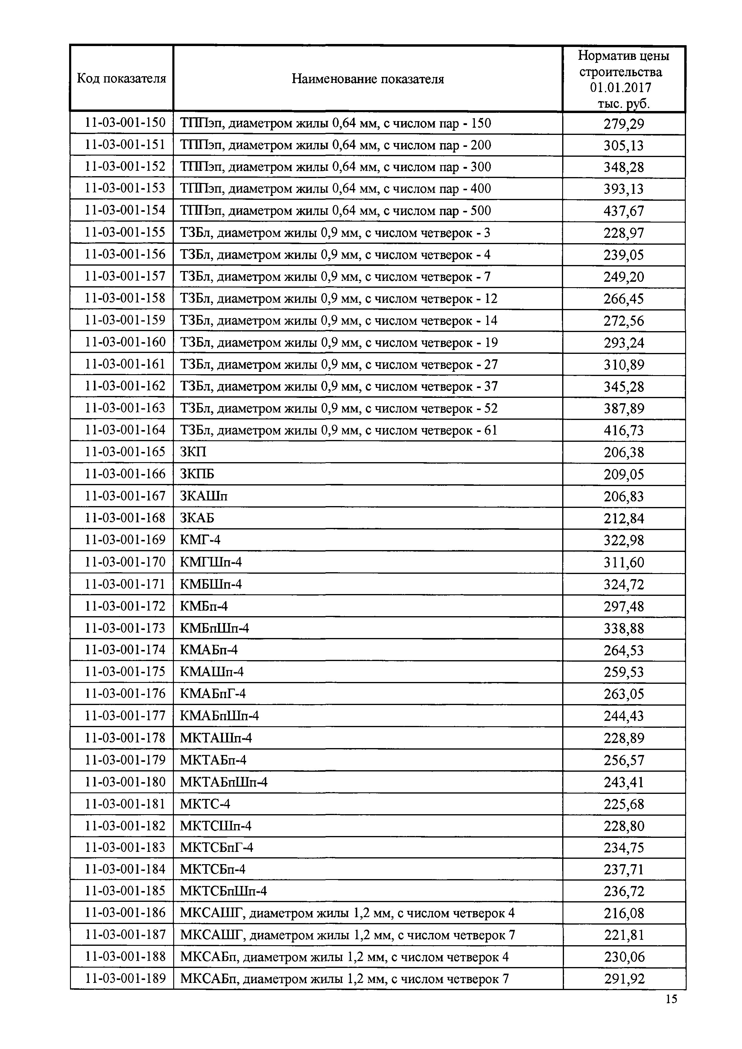
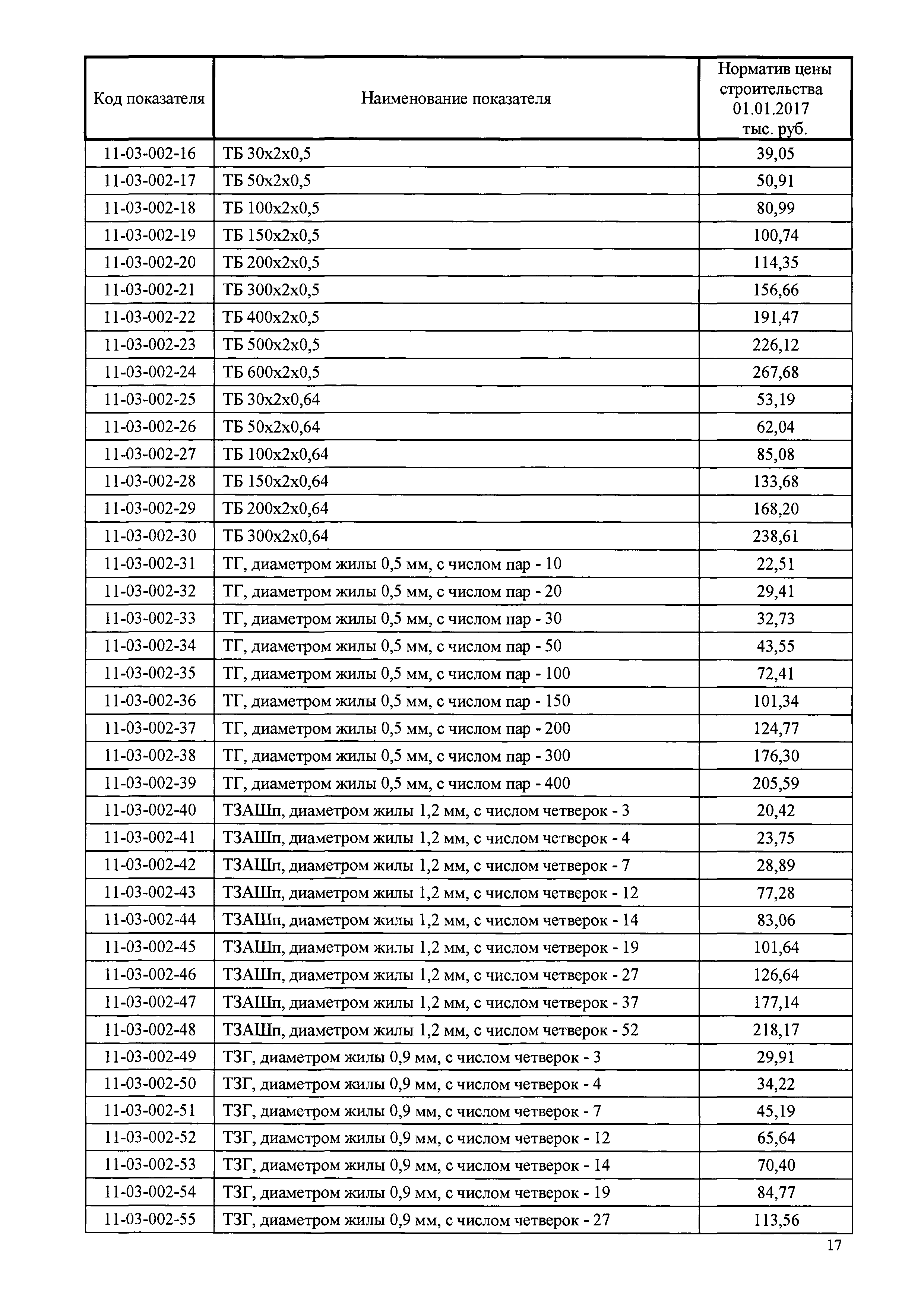
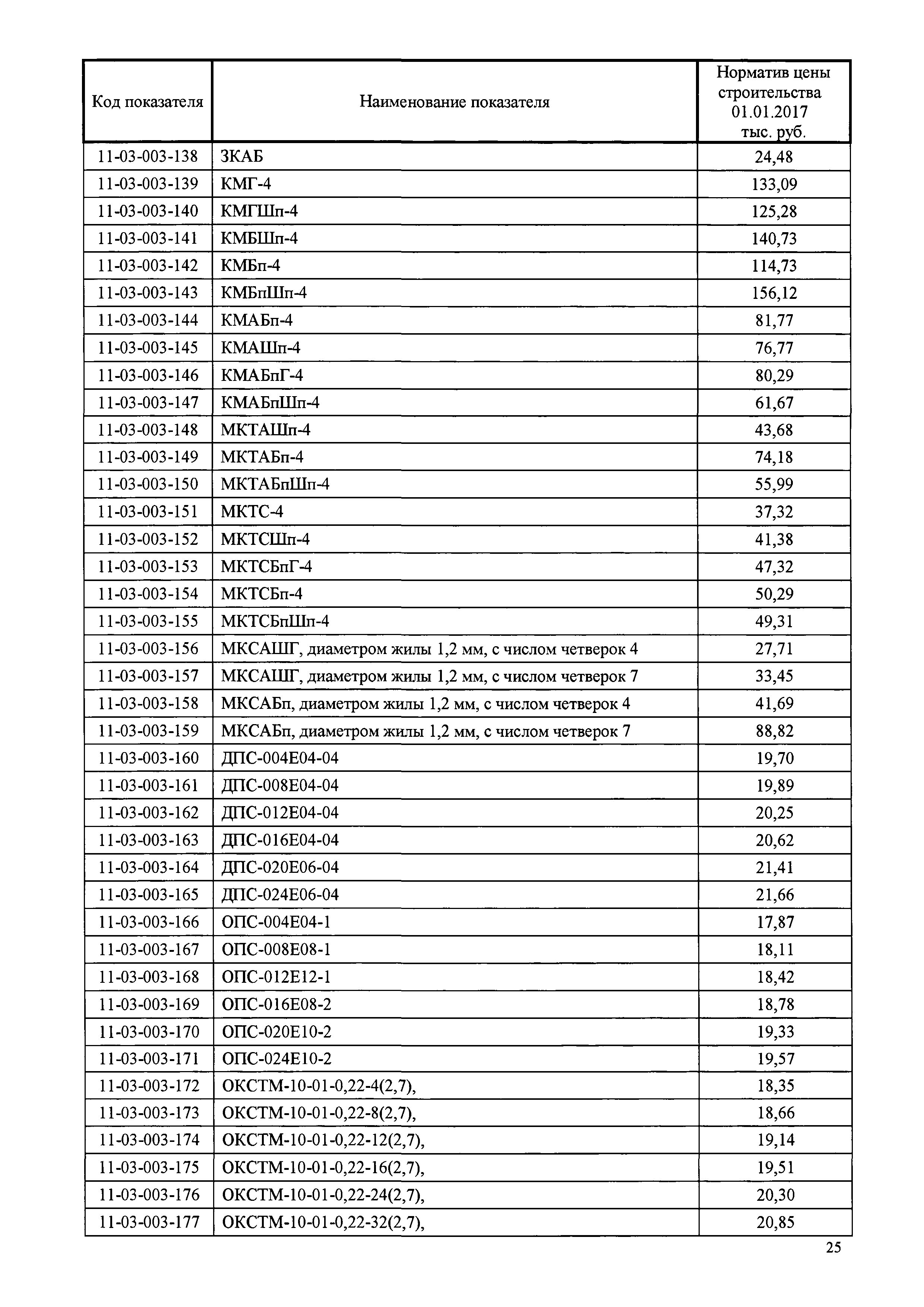
| Оглавление: | 1. Общие указания Отдел 1. Показатели укрупненные норматива цены строительства. Наружные сети связи Раздел 1. Подземная прокладка кабельных линий связи Раздел 2. Воздушная прокладка кабельных линий связи Раздел 3. Переход кабельной линии связи под автомобильной дорогой, железнодорожными путями |
| Утверждён: | 21.07.2017 Министерство строительства и жилищно-коммунального хозяйства Российской Федерации (1010/пр) |
| Издан: | С сайта: (2017 г. ) |
| Нормативные ссылки: |



























