Скачать Сборник 6. Реставрация и воссоздание кровель. Отраслевые единичные расценки на ремонтно-реставрационные работы по памятникам истории и культуры

Дата актуализации: 01.01.2021

Сборник 6. Реставрация и воссоздание кровель. Отраслевые единичные расценки на ремонтно-реставрационные работы по памятникам истории и культуры

Статус:действует
Название рус.:Сборник 6. Реставрация и воссоздание кровель. Отраслевые единичные расценки на ремонтно-реставрационные работы по памятникам истории и культуры
Дата добавления в базу:01.01.2018
Дата актуализации:01.01.2021
Дата введения:31.07.2017
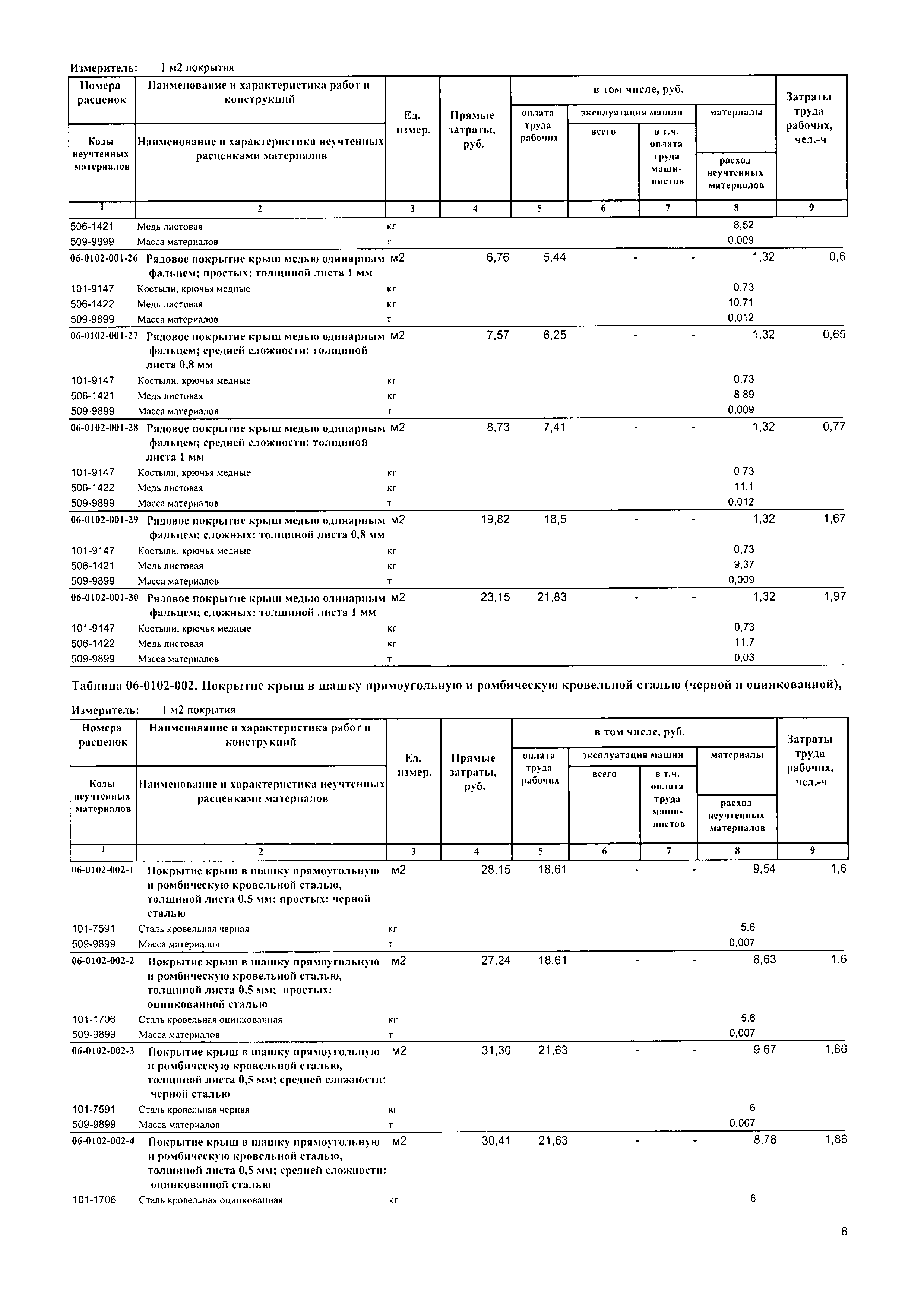
Область применения:Расценки сборника предусматривают реставрацию и воссоздание кровель памятников культуры, отличающихся от современных сложностью форм, материалом покрытия, способом крепления.
Оглавление:Техническая часть
Раздел 1. Разборка кровель
Раздел 2. Реставрация и воссоздание металлических кровель
Раздел 3. Реставрация и воссоздание деревянных и черепичных кровель
Утверждён:31.07.2017 Минстрой России (Russian Federation Minstroy 1057/пр)
Издан: С сайта: (2017 г. )
Нормативные ссылки: