Скачать Сборник 23. Реставрация и воссоздание тканей и шпалер. Отраслевые единичные расценки на ремонтно-реставрационные работы по памятникам истории и культуры

Дата актуализации: 01.01.2021

Сборник 23. Реставрация и воссоздание тканей и шпалер. Отраслевые единичные расценки на ремонтно-реставрационные работы по памятникам истории и культуры

Статус:действует
Название рус.:Сборник 23. Реставрация и воссоздание тканей и шпалер. Отраслевые единичные расценки на ремонтно-реставрационные работы по памятникам истории и культуры
Дата добавления в базу:01.01.2018
Дата актуализации:01.01.2021
Дата введения:31.07.2017
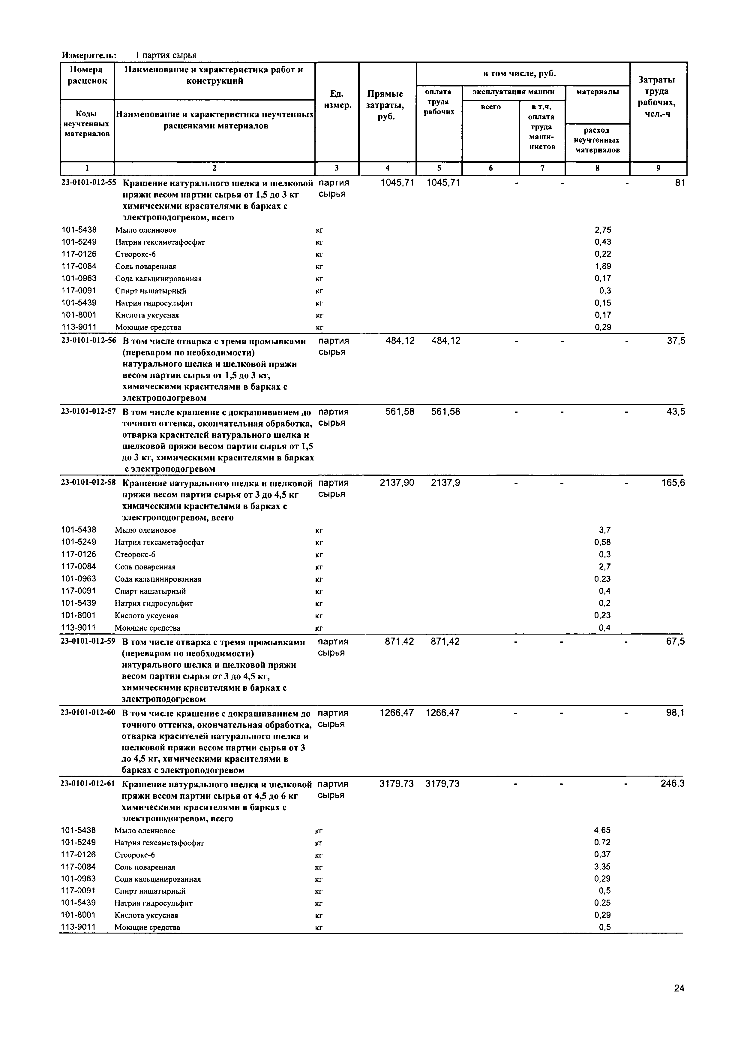
Область применения:Расценками раздела 1 сборника предусмотрены реставрация и воссоздание тканей гобеленов по сохранившимся образцам и историко-архивным документам.
Оглавление:Техническая часть
Раздел 1. Реставрация и воссоздание тканей, гобеленов
Утверждён:31.07.2017 Минстрой России (Russian Federation Minstroy 1066/пр)
Издан: С сайта: (2017 г. )
Нормативные ссылки: