Скачать Сборник 4. Реставрация и воссоздание конструкций и декора из естественного камня. Отраслевые элементные сметные нормы на ремонтно-реставрационные работы по памятникам истории и культуры

Дата актуализации: 01.01.2021

Сборник 4. Реставрация и воссоздание конструкций и декора из естественного камня. Отраслевые элементные сметные нормы на ремонтно-реставрационные работы по памятникам истории и культуры

Статус:действует
Название рус.:Сборник 4. Реставрация и воссоздание конструкций и декора из естественного камня. Отраслевые элементные сметные нормы на ремонтно-реставрационные работы по памятникам истории и культуры
Дата добавления в базу:01.01.2018
Дата актуализации:01.01.2021
Дата введения:31.07.2017
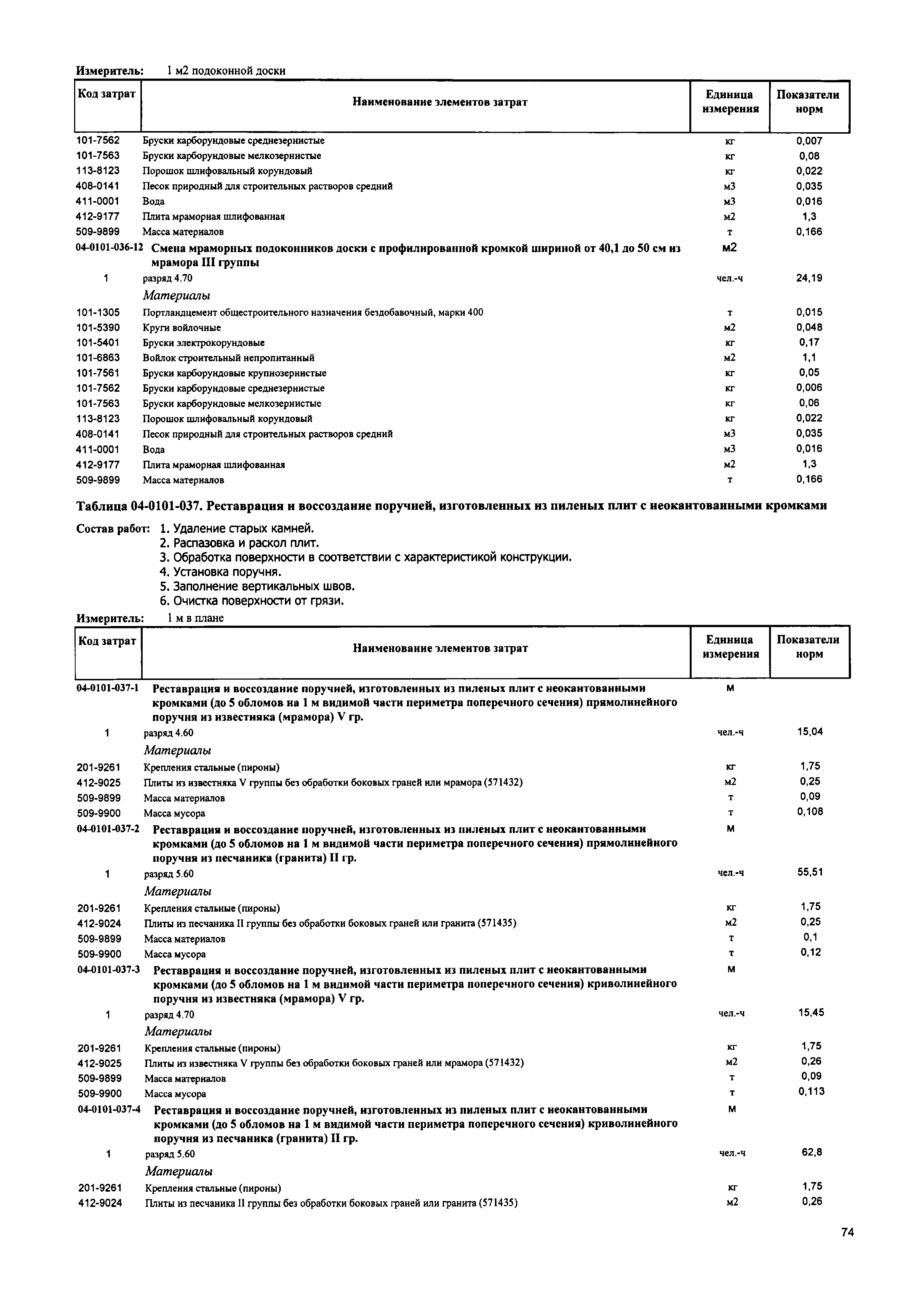
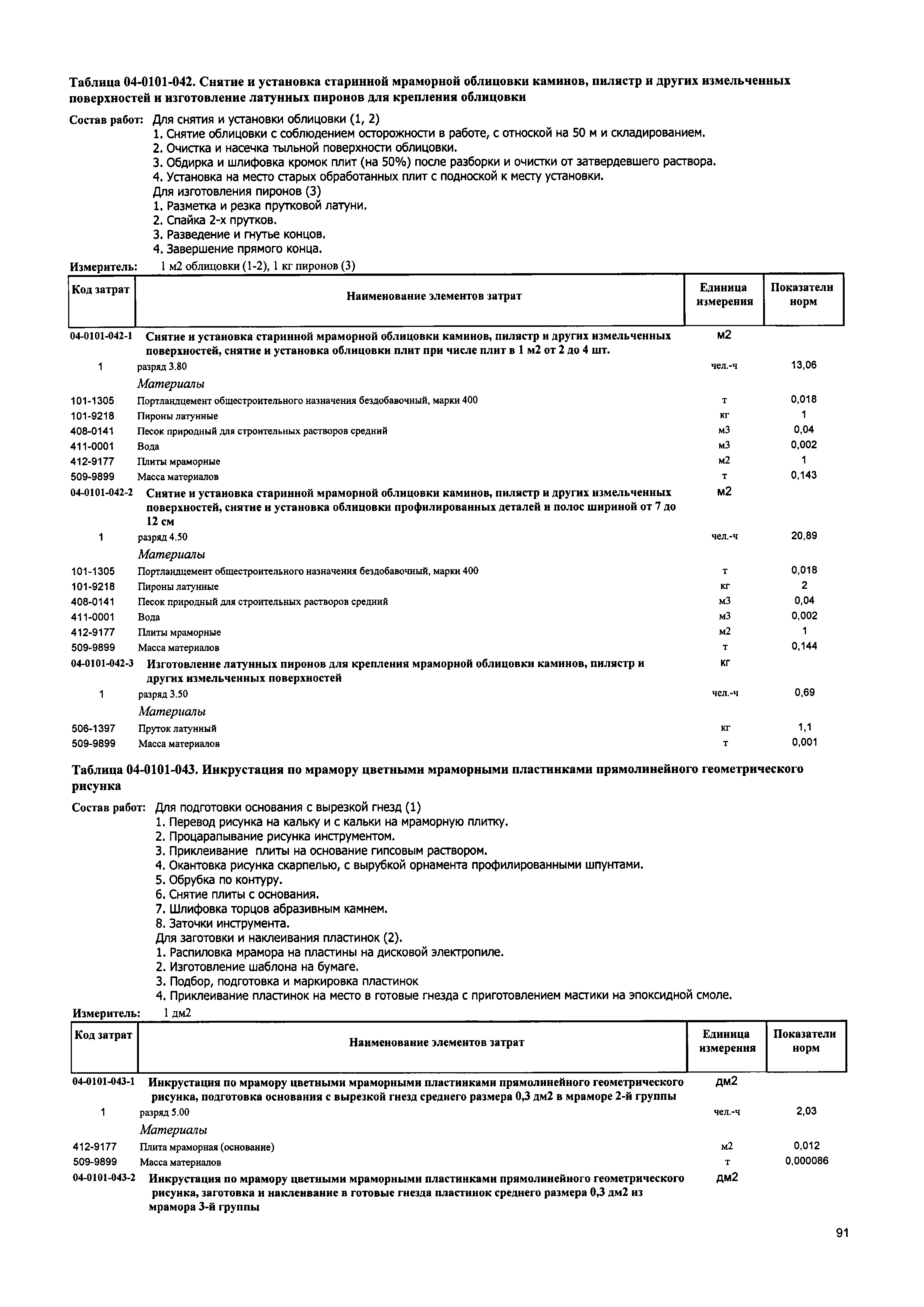
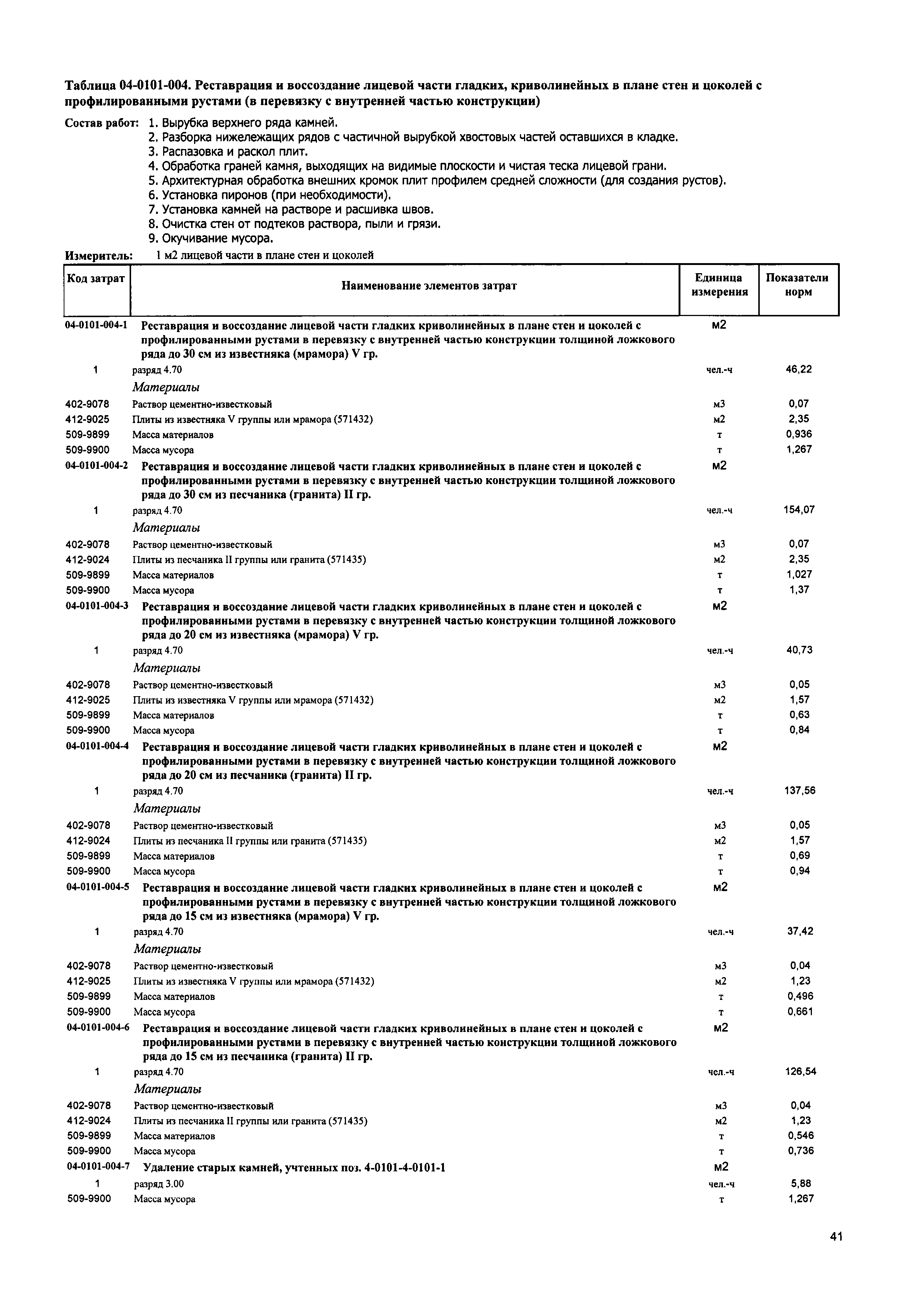
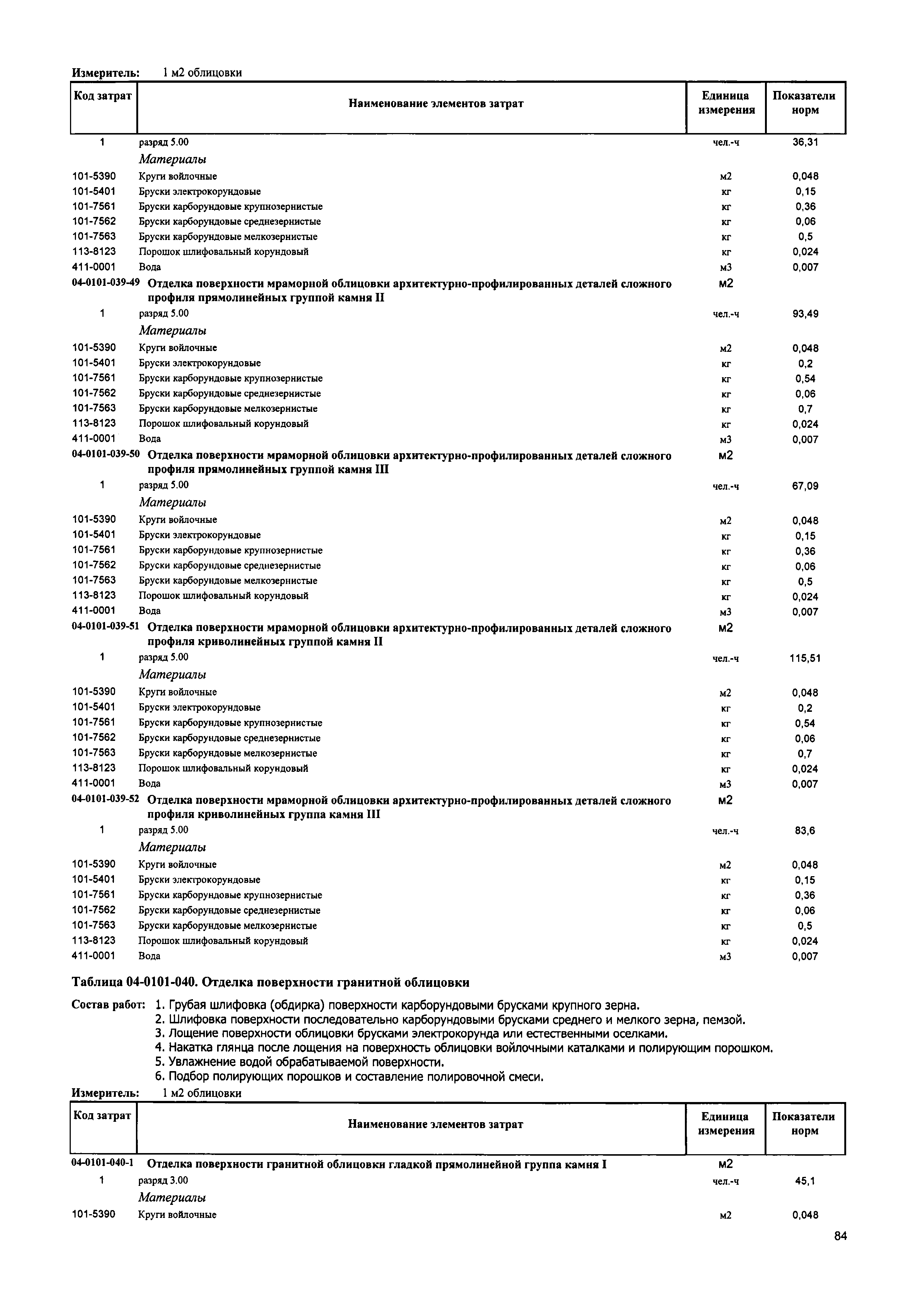
Область применения:Нормами сборника предусмотрены работы по восстановлению утраченных или пришедших в негодность облицовок, цоколей, колонн, полов, лестниц и элементов архитектурного декора из естественного камня
Утверждён:31.07.2017 Министерство строительства и жилищно-коммунального хозяйства Российской Федерации (1085/пр)
Издан: С сайта: (2017 г. )
Нормативные ссылки: