Скачать Сборник 5. Реставрация и воссоздание конструкций и изделий из дерева. Отраслевые элементные сметные нормы на ремонтно-реставрационные работы по памятникам истории и культуры

Дата актуализации: 01.01.2021

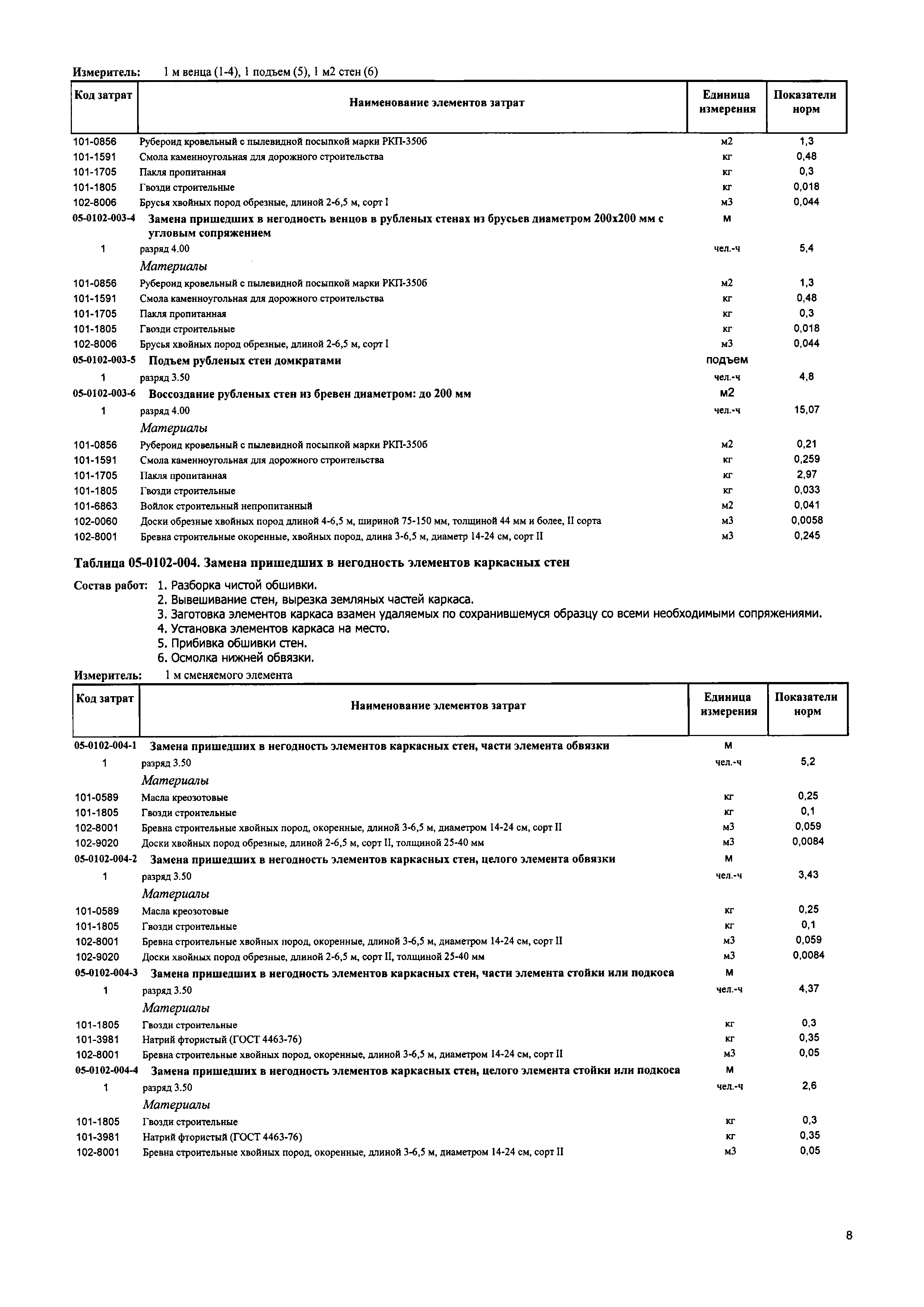
Сборник 5. Реставрация и воссоздание конструкций и изделий из дерева. Отраслевые элементные сметные нормы на ремонтно-реставрационные работы по памятникам истории и культуры

Статус:действует
Название рус.:Сборник 5. Реставрация и воссоздание конструкций и изделий из дерева. Отраслевые элементные сметные нормы на ремонтно-реставрационные работы по памятникам истории и культуры
Дата добавления в базу:01.01.2018
Дата актуализации:01.01.2021
Дата введения:31.07.2017
Область применения:Нормы предусматривают специфические условия работ по реставрации и воссозданию деревянных конструкций и деталей памятников истории и культуры
Утверждён:31.07.2017 Министерство строительства и жилищно-коммунального хозяйства Российской Федерации (1084/пр)
Издан: С сайта: (2017 г. )
Нормативные ссылки: