Скачать Сборник 6. Реставрация и воссоздание кровель. Отраслевые элементные сметные нормы на ремонтно-реставрационные работы по памятникам истории и культуры

Дата актуализации: 01.01.2021

Сборник 6. Реставрация и воссоздание кровель. Отраслевые элементные сметные нормы на ремонтно-реставрационные работы по памятникам истории и культуры

Статус:действует
Название рус.:Сборник 6. Реставрация и воссоздание кровель. Отраслевые элементные сметные нормы на ремонтно-реставрационные работы по памятникам истории и культуры
Дата добавления в базу:01.01.2018
Дата актуализации:01.01.2021
Дата введения:31.07.2017
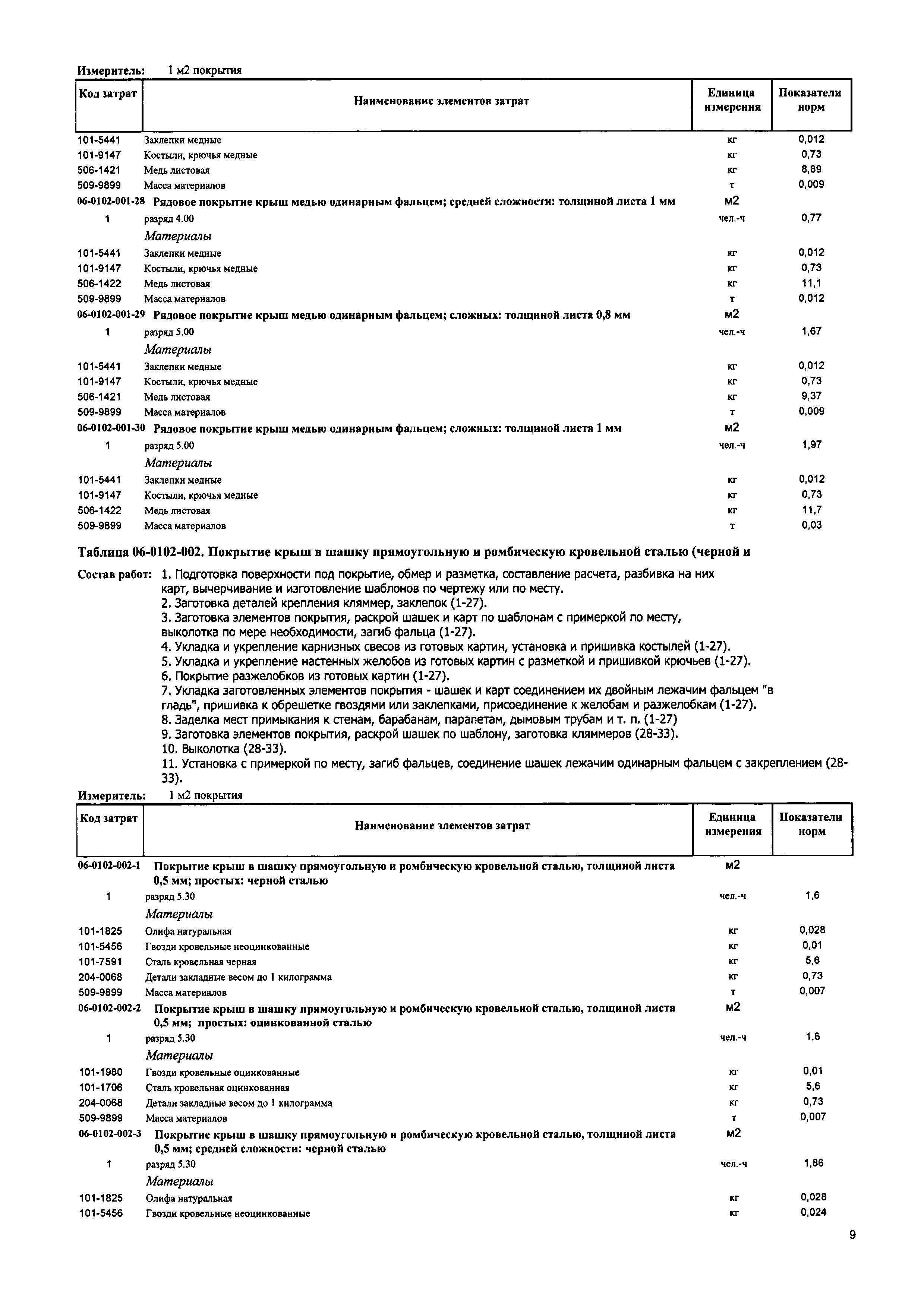
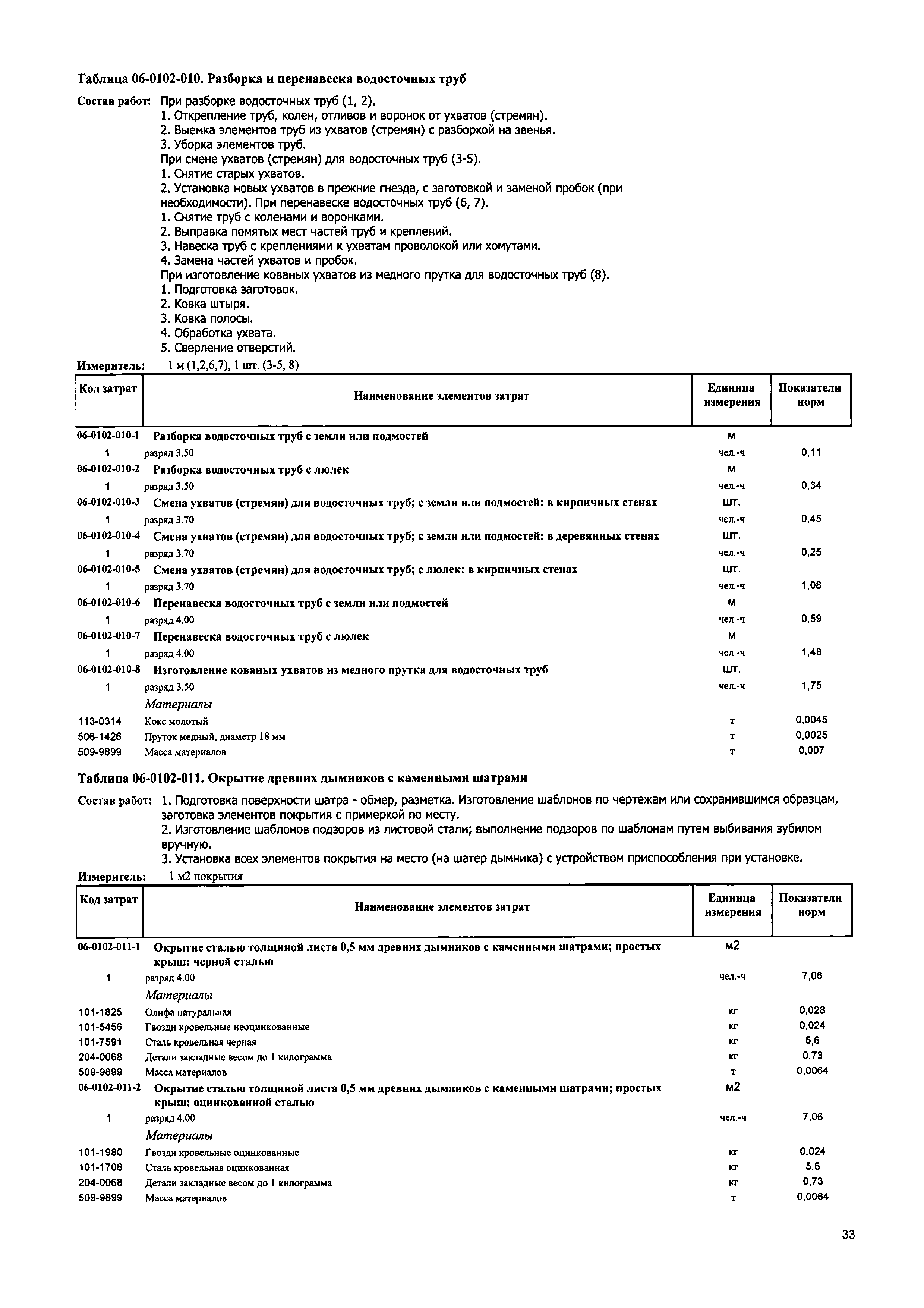
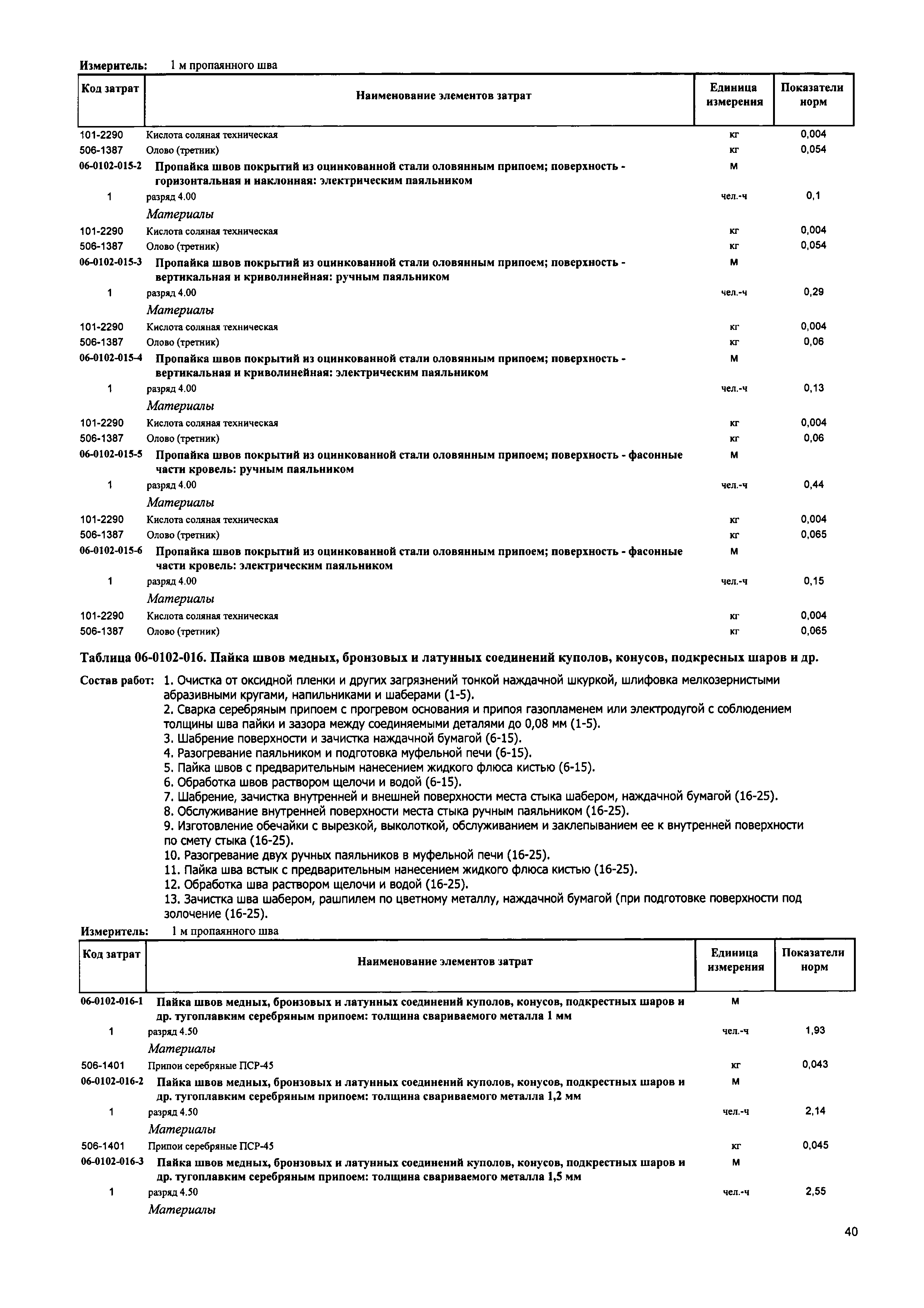
Область применения:Нормы сборника предусматривают реставрацию и воссоздание кровель памятников культуры, отличающихся от современных сложностью форм, материалом покрытия, способом крепления
Утверждён:31.07.2017 Министерство строительства и жилищно-коммунального хозяйства Российской Федерации (1083/пр)
Издан: С сайта: (2017 г. )
Нормативные ссылки: