Скачать Сборник 8. Реставрация и воссоздание штукатурной отделки. Отраслевые элементные сметные нормы на ремонтно-реставрационные работы по памятникам истории и культуры

Дата актуализации: 01.01.2021

Сборник 8. Реставрация и воссоздание штукатурной отделки. Отраслевые элементные сметные нормы на ремонтно-реставрационные работы по памятникам истории и культуры

Статус:действует
Название рус.:Сборник 8. Реставрация и воссоздание штукатурной отделки. Отраслевые элементные сметные нормы на ремонтно-реставрационные работы по памятникам истории и культуры
Дата добавления в базу:01.01.2018
Дата актуализации:01.01.2021
Дата введения:31.07.2017
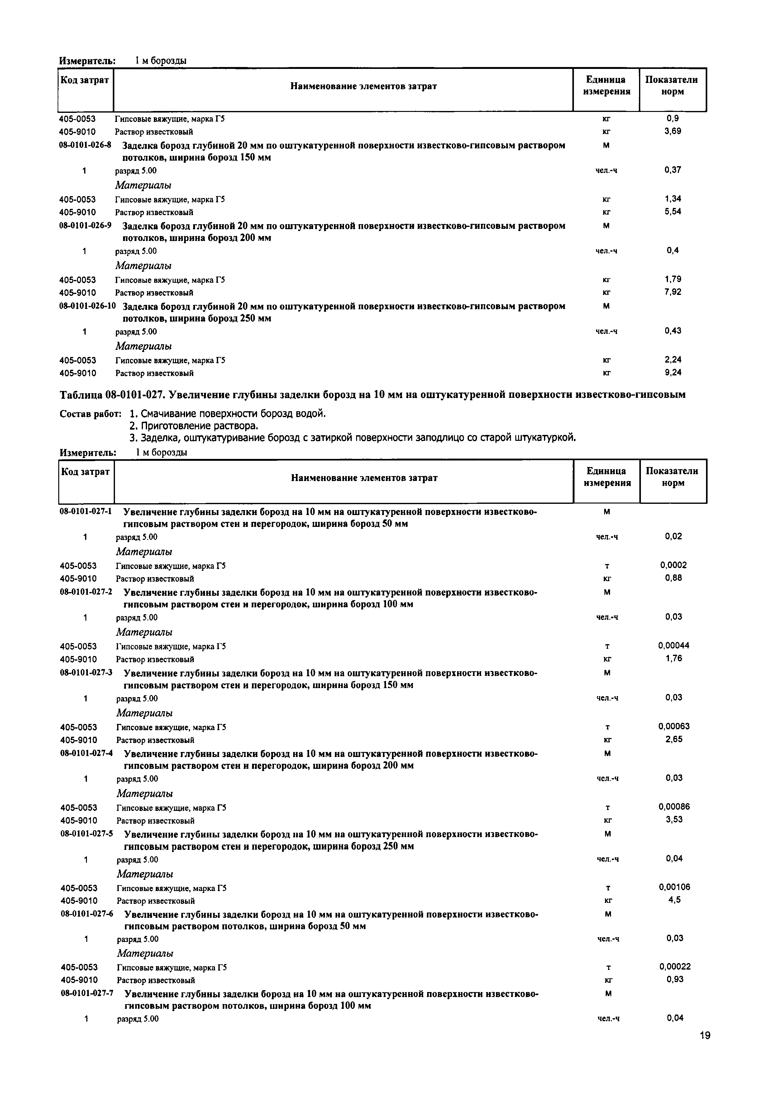
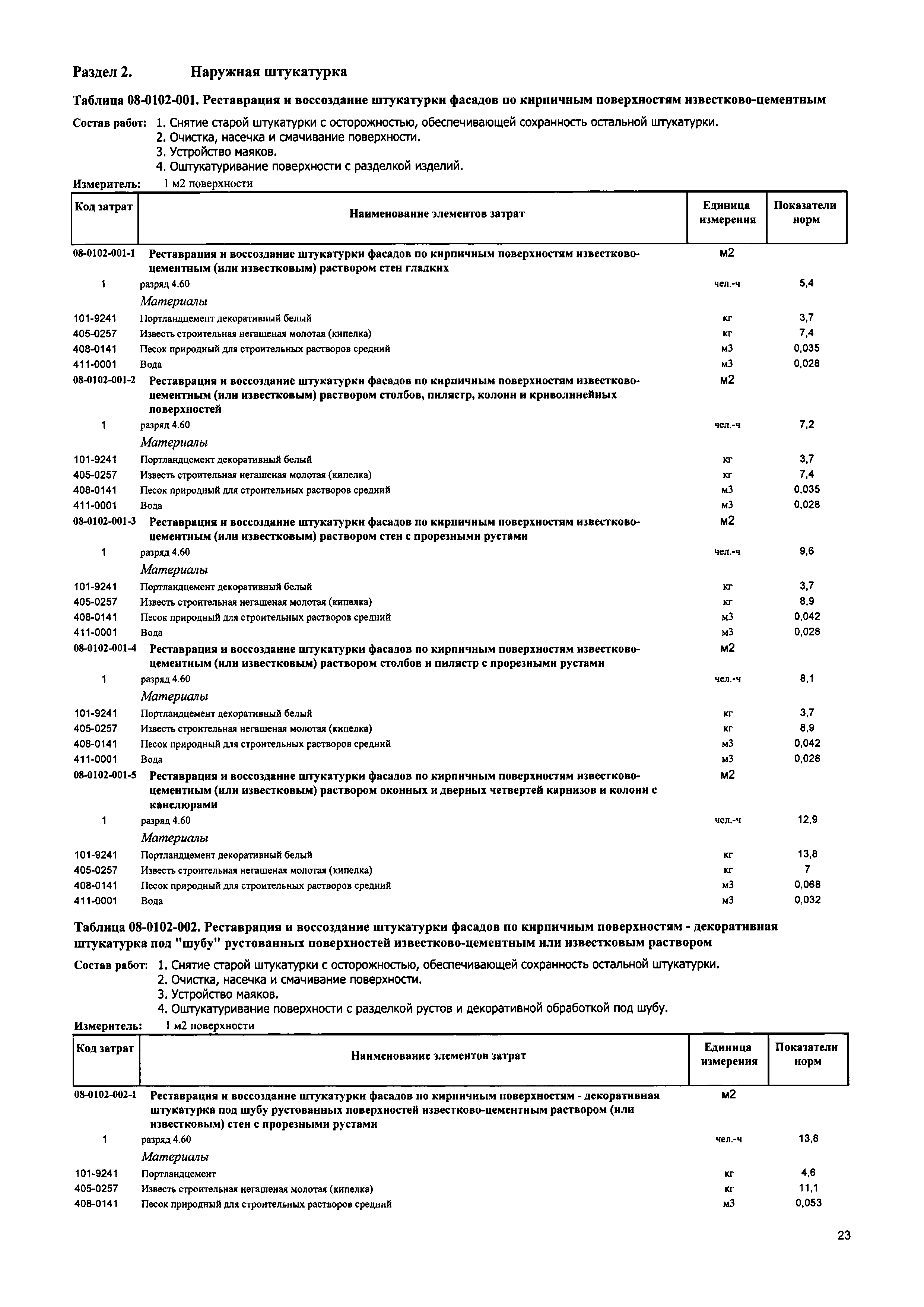
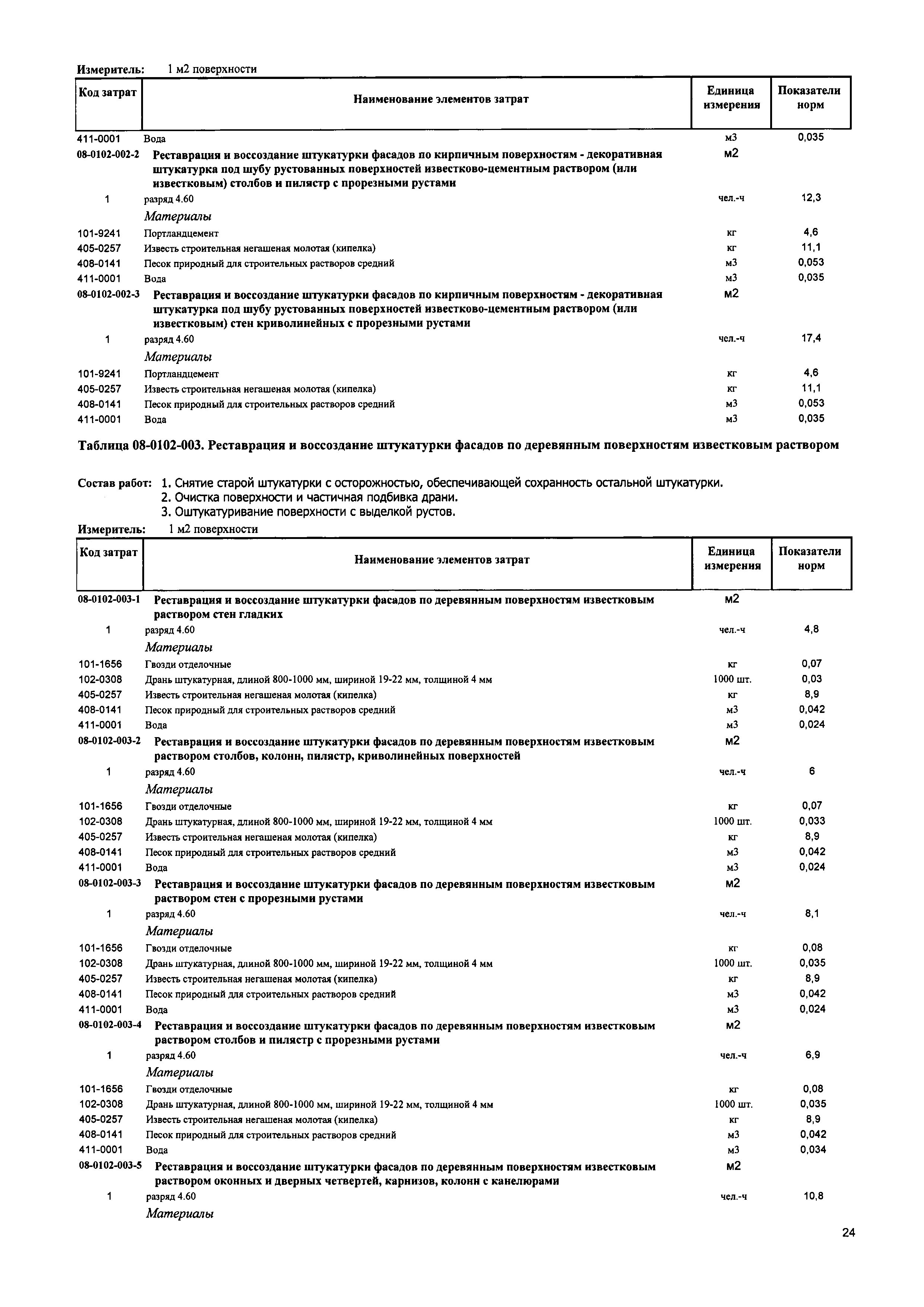
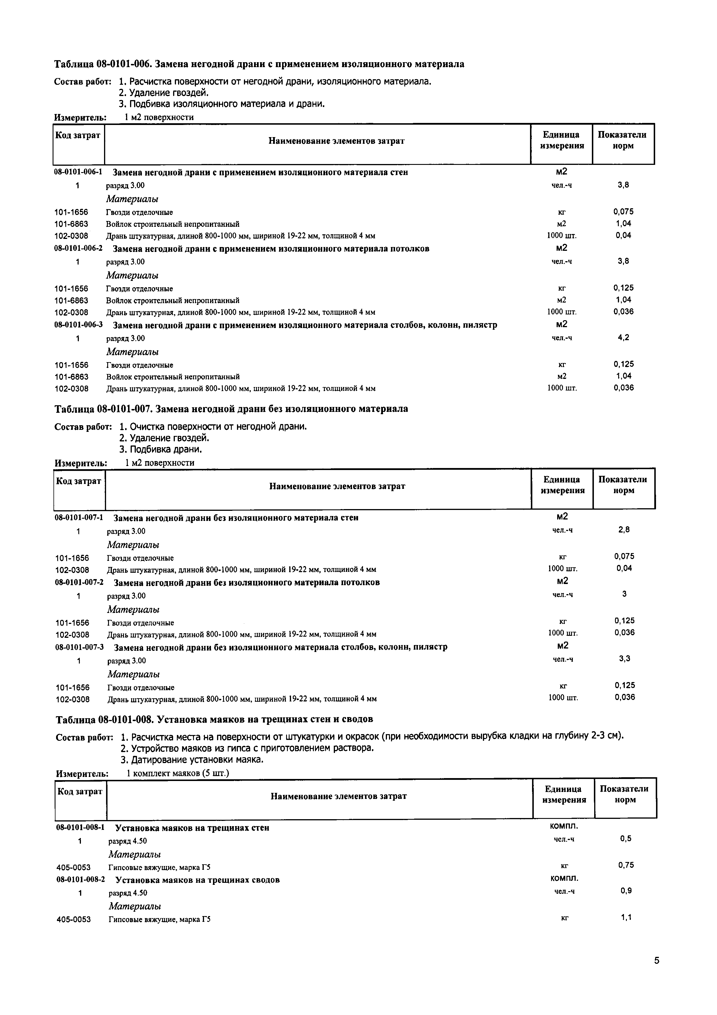
Область применения:Нормами сборника предусмотрены реставрация и воссоздание штукатурки в зданиях историко-архитектурных памятников. К реставрационным работам отнесено выполнение работ отдельными участками площадью до 10 м2, к воссозданию более - 10 м2
Утверждён:31.07.2017 Министерство строительства и жилищно-коммунального хозяйства Российской Федерации (1082/пр)
Издан: С сайта: (2017 г. )
Нормативные ссылки: