Скачать Сборник 10. Реставрация и воссоздание окрасок фасадов и интерьеров. Отраслевые элементные сметные нормы на ремонтно-реставрационные работы по памятникам истории и культуры

Дата актуализации: 01.01.2021

Сборник 10. Реставрация и воссоздание окрасок фасадов и интерьеров. Отраслевые элементные сметные нормы на ремонтно-реставрационные работы по памятникам истории и культуры

Статус:действует
Название рус.:Сборник 10. Реставрация и воссоздание окрасок фасадов и интерьеров. Отраслевые элементные сметные нормы на ремонтно-реставрационные работы по памятникам истории и культуры
Дата добавления в базу:01.01.2018
Дата актуализации:01.01.2021
Дата введения:31.07.2017
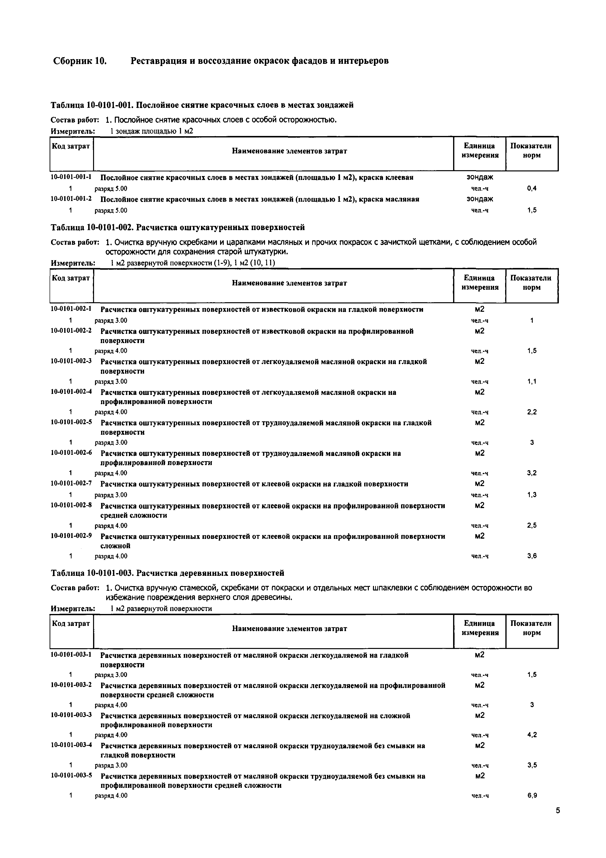
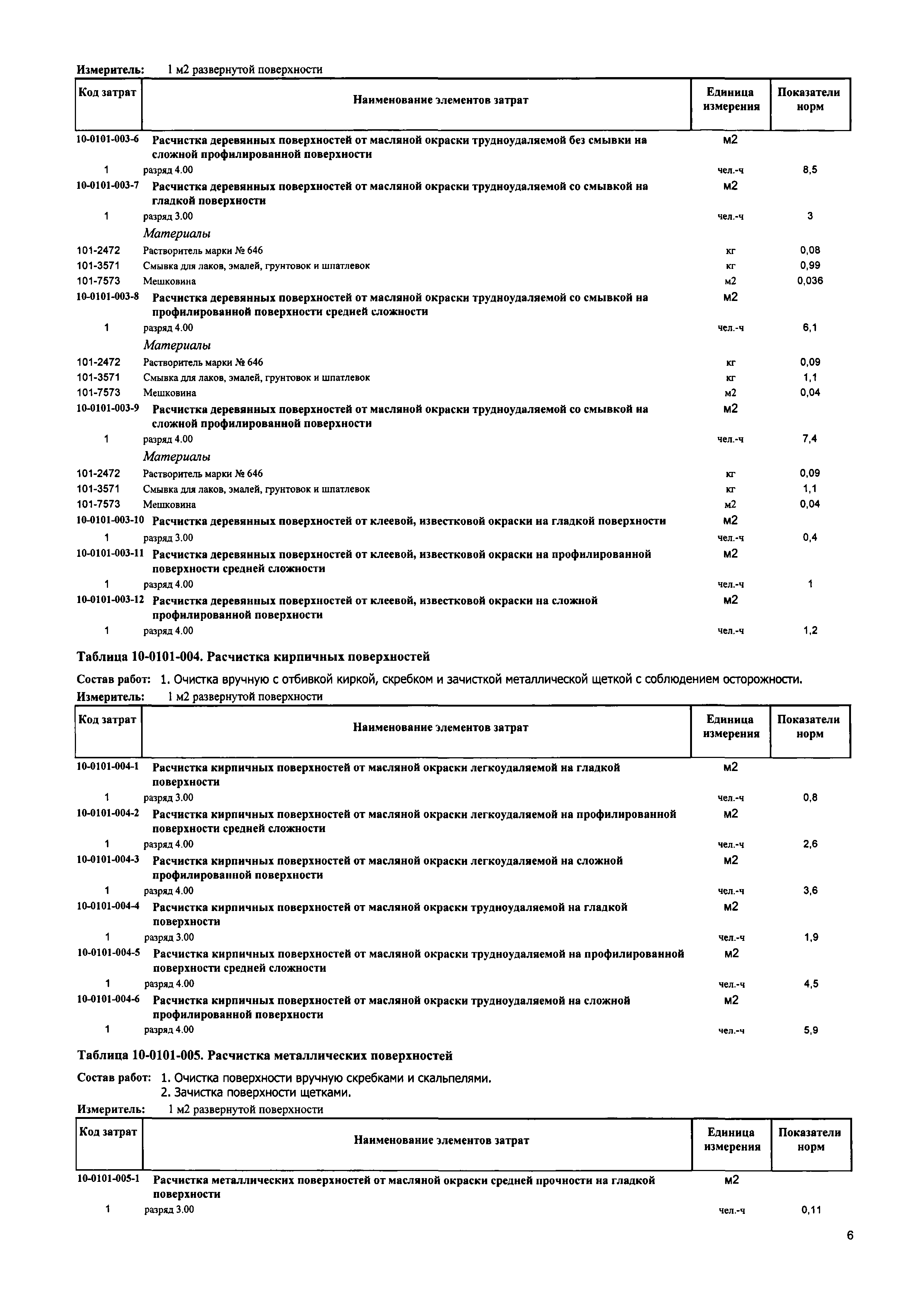
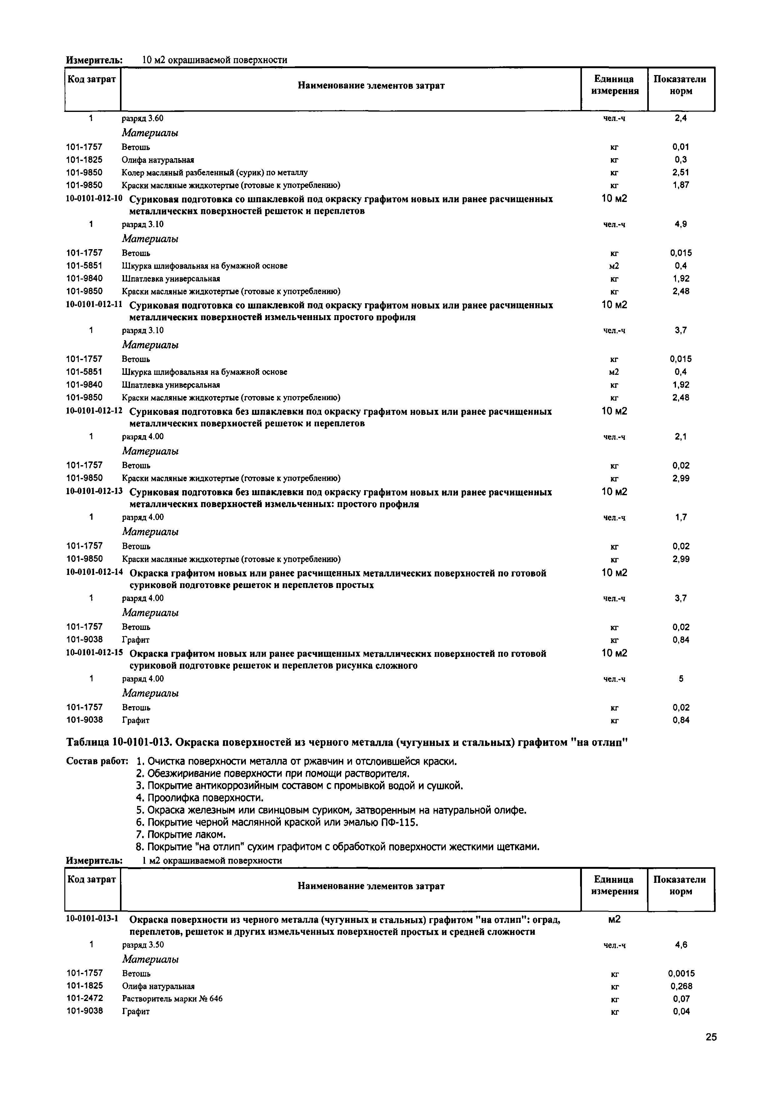
Область применения:Сборником предусматриваются малярные работы, выполняемые при реставрации и воссоздании памятников истории и культуры, представляющих особую историко-архитектурную и художественную ценность
Утверждён:31.07.2017 Министерство строительства и жилищно-коммунального хозяйства Российской Федерации (1079/пр)
Издан: С сайта: (2017 г. )
Нормативные ссылки: