Скачать Сборник 11. Реставрация и воссоздание керамического декора. Отраслевые элементные сметные нормы на ремонтно-реставрационные работы по памятникам истории и культуры

Дата актуализации: 01.01.2021

Сборник 11. Реставрация и воссоздание керамического декора. Отраслевые элементные сметные нормы на ремонтно-реставрационные работы по памятникам истории и культуры

Статус:действует
Название рус.:Сборник 11. Реставрация и воссоздание керамического декора. Отраслевые элементные сметные нормы на ремонтно-реставрационные работы по памятникам истории и культуры
Дата добавления в базу:01.01.2018
Дата актуализации:01.01.2021
Дата введения:31.07.2017
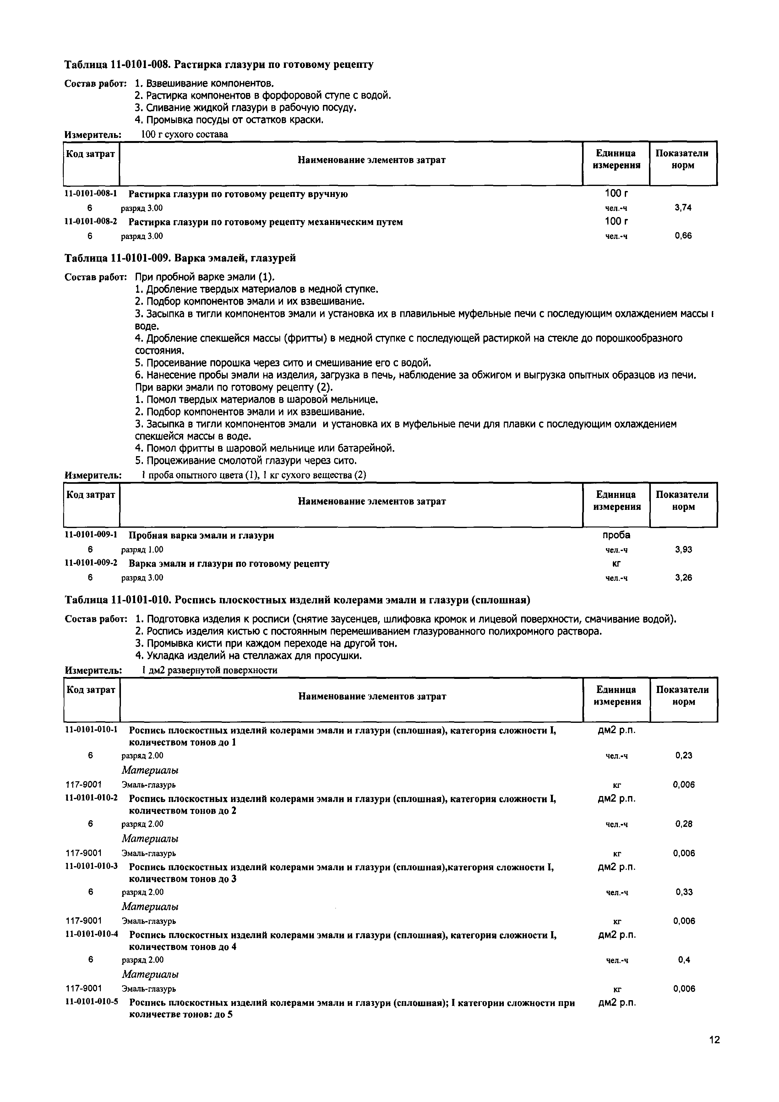
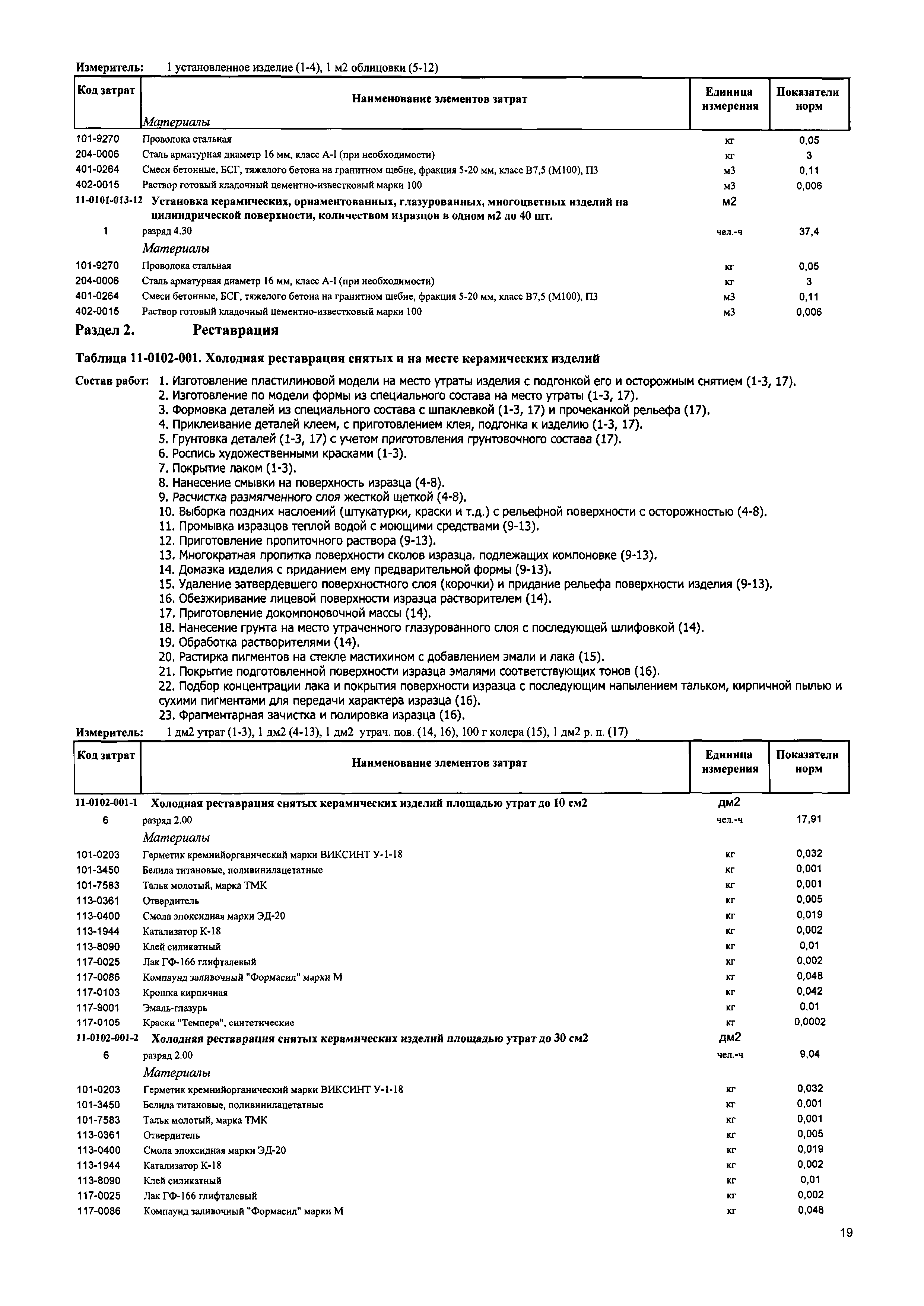
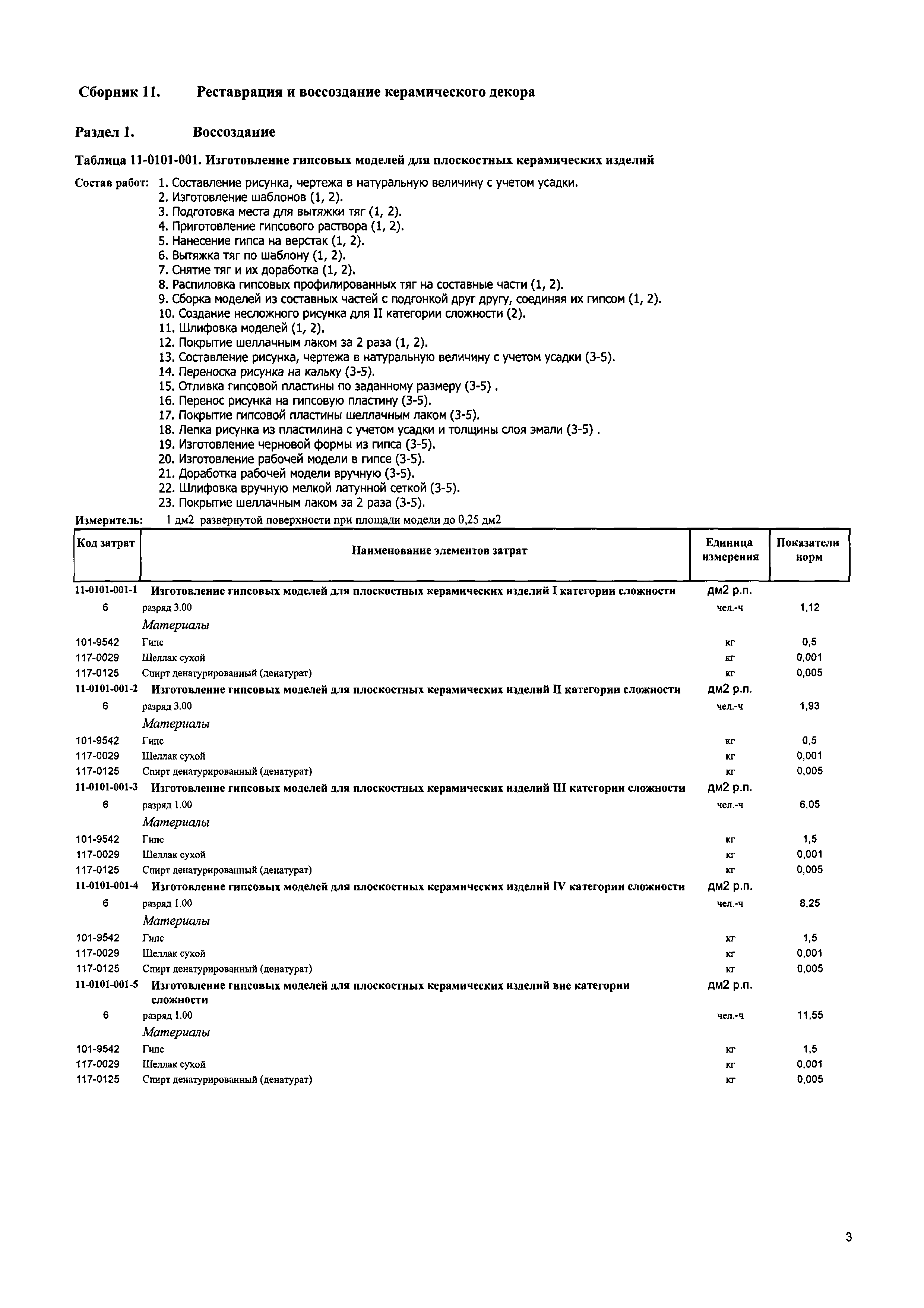
Область применения:Нормами сборника предусмотрены работы по воссозданию и реставрации керамического декора памятников истории и культуры (изразцы, плитки, черепица, керамические фигурные камни древнего образца)
Утверждён:31.07.2017 Министерство строительства и жилищно-коммунального хозяйства Российской Федерации (1078/пр)
Издан: С сайта: (2017 г. )
Нормативные ссылки: