Скачать Сборник 13. Реставрация и воссоздание резьбы по дереву. Отраслевые элементные сметные нормы на ремонтно-реставрационные работы по памятникам истории и культуры

Дата актуализации: 01.01.2021

Сборник 13. Реставрация и воссоздание резьбы по дереву. Отраслевые элементные сметные нормы на ремонтно-реставрационные работы по памятникам истории и культуры

Статус:действует
Название рус.:Сборник 13. Реставрация и воссоздание резьбы по дереву. Отраслевые элементные сметные нормы на ремонтно-реставрационные работы по памятникам истории и культуры
Дата добавления в базу:01.01.2018
Дата актуализации:01.01.2021
Дата введения:31.07.2017
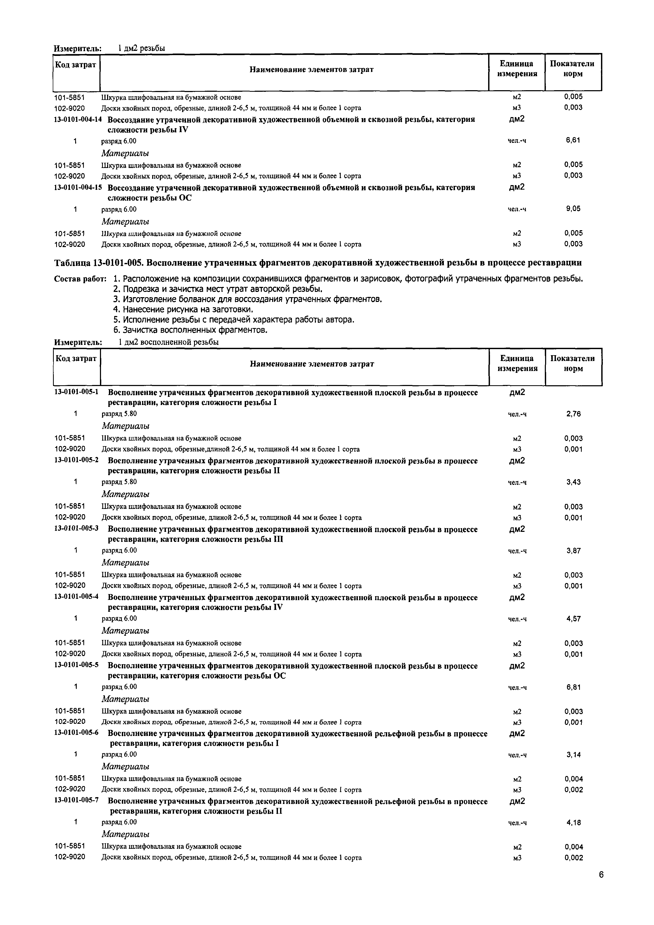
Область применения:Сборником предусмотрены работы по реставрации и воссозданию резьбы по дереву в памятниках культуры
Утверждён:31.07.2017 Министерство строительства и жилищно-коммунального хозяйства Российской Федерации (1076/пр)
Издан: С сайта: (2017 г. )
Нормативные ссылки: