Скачать Сборник 14. Реставрация музейной мебели. Отраслевые элементные сметные нормы на ремонтно-реставрационные работы по памятникам истории и культуры

Дата актуализации: 01.01.2021

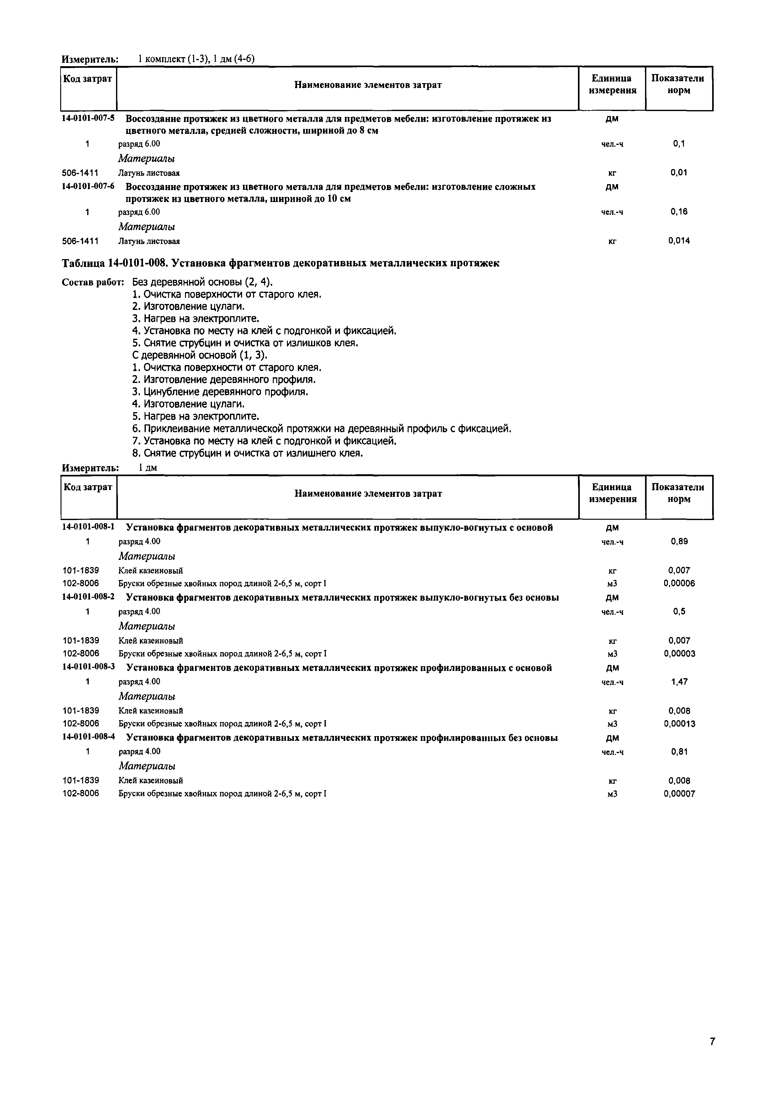
Сборник 14. Реставрация музейной мебели. Отраслевые элементные сметные нормы на ремонтно-реставрационные работы по памятникам истории и культуры

Статус:действует
Название рус.:Сборник 14. Реставрация музейной мебели. Отраслевые элементные сметные нормы на ремонтно-реставрационные работы по памятникам истории и культуры
Дата добавления в базу:01.01.2018
Дата актуализации:01.01.2021
Дата введения:31.07.2017
Область применения:Сборником предусмотрена реставрация мебели из ценных пород дерева, представляющих историко-архитектурную и художественную ценность
Утверждён:31.07.2017 Министерство строительства и жилищно-коммунального хозяйства Российской Федерации (1075/пр)
Издан: С сайта: (2017 г. )
Нормативные ссылки: